자기비파괴검사산업기사(구)(2010. 7. 25.) 시험일자 : 2010년 7월 25일
1과목 : 자기탐상시험원리
1. 자분탐상시험의 잔류법을 이용하여 검사하기가 부적당한 제품은?
- ① 보자성이 높은 제품
- ② 탄소함량이 적은 제품
- ③ 소형으로서 다량인 제품
- ④ 탈자가 어려운 제품
등록된 댓글이 없습니다.
2. 프로드법에 대한 설명으로 틀린 것은?
- ① 자속의 분포는 전류분포에 직각으로 교차한다.
- ② 자속의 분포는 판두께와 프로드 간격에 영향을 받는다.
- ③ 프로드는 극간법과 상호 대치하는 성격의 것이다.
- ④ 프로드의 전극주위에는 결함에 자분모양이 형성되지 않는 영역이 있다.
등록된 댓글이 없습니다.
3. 막대형 영구자석을 구부려 환형 고리로 녹여 용접하면 어떻게 되는가?
- ① 자계가 외부에만 골고루 퍼진다.
- ② 자계가 모두 내부에만 있게 된다.
- ③ 자계가 내부 및 외부에 모두 흐른다.
- ④ 자계가 전혀 발생하지 않는다.
등록된 댓글이 없습니다.
4. 길이 230mm(9인치), 외경 75mm(3인치)인 파이프(Pipe)형태의 철강제품을 코일법(Coil)으로 탐상할 때 코일의 권수를 5회로 한다면 필요한 자화전류는?
- ① 300A
- ② 900A
- ③ 1500A
- ④ 3000A
등록된 댓글이 없습니다.
5. 자분탐상시험의 잔류법에서 자화가 끝난 시험체에 다른 시험체나 강자성체를 접촉시켰을 때 나타나는 의사지시 모양은?
- ① 자기펜 흔적
- ② 자극지시
- ③ 단면급변지시
- ④ 오염지시
등록된 댓글이 없습니다.
6. 강자성체의 투과율에 영향을 미치는 요인이 아닌 것은?
- ① 가공 상태
- ② 표면 상태
- ③ 열처리 상태
- ④ 작용시킨 자계의 세기
등록된 댓글이 없습니다.
7. 방사선투과시험에서 표준 정착액의 주기능이 아닌 것은?
- ① 정착
- ② 환원
- ③ 촉진
- ④ 보항
등록된 댓글이 없습니다.
8. 누설검사법 중 대형 용기나 저장조 검사에 이용되지만 누설위치의 측정에는 적합하지 않은 검사법은?
- ① 기포누설시험
- ② 헬륨누설시험
- ③ 할로겐누설시험
- ④ 압력변화누설시험
등록된 댓글이 없습니다.
9. 자분탐상시험에서 결함을 검출하기 위하여 갖추어야 할 특성과 거리가 먼 것은?
- ① 결함의 위치
- ② 결함의 방향
- ③ 시험체의 크기
- ④ 시험체의 자기적 특성
등록된 댓글이 없습니다.
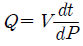
10. 누설율을 구하는 식으로 옳은 것은? (단, P : 기체의 압력, Q : 누설율, V : 상자의 부피, t : 기체를 모으는 시간이다.
- ①

- ②

- ③

- ④

등록된 댓글이 없습니다.
11. 비파괴검사의 필요성으로 보기 어려운 것은?
- ① 제작공정 과정을 개선
- ② 제작공정 중 물량을 제거
- ③ 구조물의 파괴를 미연에 방지
- ④ 결함이 검출되지 않는 무결함 제품을 생산
등록된 댓글이 없습니다.
12. 여과입자법(Filtered Particle Test)의 설명으로 틀린 것은?
- ① 검사 후 소립자의 제거가 쉽다.
- ② 반드시 형광법으로 검사를 하여야 한다.
- ③ 콘크리트, 내화물, 석물(돌)등 다공성 재료에 적용한다.
- ④ 무색의 액체에 색이 있는 소립자나 형광입자를 현탁하여서
등록된 댓글이 없습니다.
13. 시험체의 온도가 0℃ 일 때 검사하기 가장 어려운 비파괴검사법은?
- ① 방사선투과시험
- ② 초음파탐상시험
- ③ 자분탐상시험
- ④ 침투탐상시험
등록된 댓글이 없습니다.
14. 결함부와 이에 적합한 비파괴검사법의 연결이 틀린 것은?
- ① 강재의 표면결함 - 자분탐상시험법
- ② 경금속의 표면결함 - 침투탐상시험법
- ③ 용접내부의 기공 - 와전류탐상시험법
- ④ 단조품의 내부결함 - 초음파탐상시험법
등록된 댓글이 없습니다.
15. 침투탐상시험법과 비교한 자분탐상시험법의 장점으로 틀린것은?
- ① 표면직하의 결함 검출이 가능하다.
- ② 검사 후 탈자를 실시하지 않는 장점이 있다.
- ③ 침투탐상보다는 정밀한 전처리가 요구되지 않는다.
- ④ 얇은 도장 및 도금된 시험체에도 검사가 가능하다.
등록된 댓글이 없습니다.
16. 비파괴검사(NDT)의 종류가 아닌 것은?
- ① 육안검사(Visual Test)
- ② 부식시험(Etching Test)
- ③ 와전류탐상시험(Eddy Current Test)
- ④ 음향방출시험(Acoustic Emission Test)
등록된 댓글이 없습니다.
17. 와전류탐상시험과 비교할 때 침투탐상시험시 신뢰성이 떨어지는 것은?
- ① 결함의 길이 측정
- ② 결함의 종류 판별
- ③ 선형결함의 형상 파악
- ④ 선형결함의 깊이 측정
등록된 댓글이 없습니다.
18. 초음파의 성질을 옳게 설명한 것은?
- ① 물체내부에서 X선 보다도 전달되기 어렵다.
- ② 파장이 가청음 보다 길어 직진성을 갖는다.
- ③ 광파보다 파장이 길고 전파보다 파장이 짧다.
- ④ 고체내부에서는 종파만 전달되고 횡파는 전달되기 어렵다.
등록된 댓글이 없습니다.
19. 방사선투과시험으로 불연속의 깊이를 알고자 할 때 사용되는 검사법은?
- ① 자동 방사선투과시험(Auto Radiography)
- ② 미세 방사선투과시험(Micro Radiography)
- ③ 중성자 방사선투과시험(Neutron Radiography)
- ④ 파라렉스 방사선투과시험(Parallax Radiography)
등록된 댓글이 없습니다.
20. 압연 강판에 존재하는 라미네이션의 불연속을 검출하는데 가장 효과적인 비파괴검사법은?
- ① 방사선투과시험
- ② 자기탐상시험
- ③ 초음파탐상시험
- ④ 침투탐상시험
등록된 댓글이 없습니다.
2과목 : 자기탐상검사
21. 직경 2인치, 길이 10인치 인 환봉을 코일로 5회 감아 선형자화할 때 필요한 전류(A)는?
- ① 1000
- ② 1800
- ③ 3000
- ④ 3500
등록된 댓글이 없습니다.
22. 강괴(Ingot)에 들어있는 파이프, 기공, 개재물 등이 압연과정에서 외면과 평행하고 널찍하게 되어 판재에 존재하는 불연속은?
- ① 심(Seam)
- ② 균열(Crack)
- ③ 라미네이션(Lamination)
- ④ 라멜라 테어(Lamellar Tear)
등록된 댓글이 없습니다.
23. 자분탐상검사법 중 코일 속에서 시험체를 자화시킬 경우 발생되는 자계는?
- ① 원형자계
- ② 선형자계
- ③ 벡터자계
- ④ 잔류자계
등록된 댓글이 없습니다.
24. 자분탐상검사에서 판독 후에 하는 후처리 사항이 아닌 것은?
- ① 탈자를 한다.
- ② 자분을 제거한다.
- ③ 자분의 농도를 측정한다.
- ④ 시험을 위해 분해했던 것이 있으면 원위치로 조립해 놓는다.
등록된 댓글이 없습니다.
25. 자분탐상검사에서 시험체의 구멍으로 통과한 강자성체에 교류자속을 가함으로써 시험체에 유도전류를 흐르게 하는 자화방법은?
- ① 축통전법
- ② 직각통전법
- ③ 전류관통법
- ④ 자속관통법
등록된 댓글이 없습니다.
26. 자분탐상검사의 자화조작 단계에 해당하지 않는 것은?
- ① 통전시간의 결정
- ② 자화방법의 선정
- ③ 전처리방법의 선정
- ④ 자화전류의 종류와 전류값의 선정
등록된 댓글이 없습니다.
27. 휴대형 교류 극간식 탐상기를 이용하여 강용접부를 탐상하는 경우 적절한 탐상 피치는?
- ① 1인치
- ② 3인치
- ③ 자극 폭과 동일 길이
- ④ 자극 폭의 약 2배 길이
등록된 댓글이 없습니다.
28. 자분탐상검사 후 시험체의 탈자상태를 점검할 때 사용할 수있는 기구는?
- ① 코일
- ② 전력계
- ③ 말굽자석
- ④ 소형 나침판
등록된 댓글이 없습니다.
29. 자화방법과 검출 가능한 결함의 위치가 옳게 설명된 것은?
- ① 코일법은 봉제품의 원주방향 결함 검출에 효과적이다.
- ② 전류관통법은 내면 원주방향 결함 검출에 효과적이다.
- ③ 프로드법은 비드 방향과 평행인 결함 검출에 효과적이다.
- ④ 극간법은 두 자극 사이에 평행한 결함 검출에 효과적이다.
등록된 댓글이 없습니다.
30. 외경 150mm, 내경 130mm 인 실린더형 시험체를 직경 20mm구리봉으로 전류관통법을 사용하여 검사하려 한다. 이 때 시험체의 외부 표면 전체를 검사하기 위해서는 최소한 몇회 이상으로 나누어 검사해야 하는가?
- ① 3회
- ② 4회
- ③ 5회
- ④ 6회
등록된 댓글이 없습니다.
31. 표면 미세결함 검출에 우수한 자분탐상검사법의 조합은?
- ① 건식-직류
- ② 습식-직류
- ③ 건식-교류
- ④ 습식-교류
등록된 댓글이 없습니다.
32. 다음 중 투자율이 가장 낮은 시험체는?
- ① 철(Fe)
- ② 니켈(Ni)
- ③ 코발트(Co)
- ④ 알루미늄(Al)
등록된 댓글이 없습니다.
33. 같은 지점에 극을 설정하여 탐상시 프로드 방식과 요크 방식에서 검출하기 용이한 결함 방향을 옳게 설명한 것은?
- ① 요크 극의 연장선에 평행 방향의 결함
- ② 프로드 극의 연장선에 평행 방향의 결함
- ③ 프로드와 요크 모두 극의 연장선에 직각 방향의 결함
- ④ 프로드와 요크 모두 극의 연장선에 평행 방향의 결함
등록된 댓글이 없습니다.
34. 실린더형 튜브와 같이 속이 빈 환봉의 시험체에 원형 자계를 발생시키는 방법으로 가장 적합한 방법은?
- ① 프로드법
- ② 시험체에 직접 전류를 흘리는 축통전법
- ③ 시험체 내부에 도체를 관통시키는 전류관통법
- ④ 솔레노이드 코일내에 시험체를 삽입시키는 코일법
등록된 댓글이 없습니다.
35. 영구자석을 이용한 요크 장비에 관한 설명 중 틀린 것은?
- ① 전원이 없는 곳에서도 사용할 수 있다.
- ② 아크로 인한 시험체의 손상이 우려되지 않는다.
- ③ 시험체를 자화시킨 후 시험체에서 떼어내기가 어렵다.
- ④ 인상력(Lifting Power)이 작을수록 탐상에 유리하다.
등록된 댓글이 없습니다.
36. 자분탐상검사법 중 시험체의 손상에 대한 우려가 가장 적은 것은?
- ① 극간법
- ② 프로드법
- ③ 전류관통법
- ④ 직접접촉법
등록된 댓글이 없습니다.
37. 코일법으로 직경 50mm, 길이 125mm 인 환봉을 자분탐상검사법으로 검사할 때 요구되는 자화전류가 3600A 라면 시험체에 코일을 몇 회 감아야 하는가?
- ① 3회
- ② 4회
- ③ 5회
- ④ 6회
등록된 댓글이 없습니다.
38. 자분탐상검사시 극이나 전류 방향이 주기적으로 바뀌는 전류는?
- ① 직류
- ② 반파전류
- ③ 교류
- ④ 전파정류
등록된 댓글이 없습니다.
39. 실린더를 전류관통법으로 자분탐상검사할 때 자계의 세기가 가장 강한 부분은?
- ① 실린더의 양 끝단
- ② 실린더의 바깥표면
- ③ 실린더 두께 중앙부위
- ④ 실린더의 내부표면
등록된 댓글이 없습니다.
40. 시험체의 자기특성, 탈자의 정도 등을 측정하는 계측기가 아닌 것은?
- ① 자속계
- ② 가우스미터
- ③ 자기컴퍼스
- ④ 사이리스터
등록된 댓글이 없습니다.
3과목 : 자기탐상관련규격및컴퓨터활용
41. 철강 재료의 자분탐상 시험방법 및 자분모양의 분류(KS D0213)에서 자화전류의 설정시 시험체의 외경 또는 두께가 미치는 영향이 가장 작은 자화 방법은?
- ① 축통전법
- ② 프로드법
- ③ 직각통전법
- ④ 전류관통법
등록된 댓글이 없습니다.
42. 철강 재료의 자분탐상 시험방법 및 자분모양의 분류(KS D0213)에 의한 자분모양의 분류에서 선상의 자분모양 및 원형상의 자분모양은 어떤 분류에 속하는가?
- ① 연속한 자분모양
- ② 독립한 자분모양
- ③ 분산한 자분모양
- ④ 균열에 의한 자분모양
등록된 댓글이 없습니다.
43. 철강 재료의 자분탐상 시험방법 및 자분모양의 분류(KS D0213)에서 자분의 현탁성을 나타내는 철강속도 분포를 구하는 방법으로 적당한 것은?
- ① 천칭법
- ② 대조법
- ③ 침전법
- ④ 블로법
등록된 댓글이 없습니다.
44. 보일러 및 압력용기에 대한 표준자분탐상검사(ASME Sec.V Art.25 SE-709)에 따라 탐상 후 탈자를 했을 때 별도의 규정이 없다면 탈자 후 제품은 자장계로 측정하여 몇 가우스(G)를 넘지 않아야 하는가?
- ① 1
- ② 3
- ③ 10
- ④ 30
등록된 댓글이 없습니다.
45. 보일러 및 압력용기에 대한 자분탐상검사(ASME Sec.V Art.7)에 따라 탐상을 실시할 때 시험체의 길이 9인치, 직경 3인치 인 강봉을 5회 감아 선형자화법으로 자화할 때 요구되는 자화전류는?
- ① 1000A
- ② 3000A
- ③ 5000A
- ④ 9000A
등록된 댓글이 없습니다.
46. 철강 재료의 자분탐상 시험방법 및 자분모양의 분류(KS D 0213)와 보일러 및 압력용기에 대한 자분탐상검사(ASME Sec.V Art.7)에 따른 자분모양의 관찰에서 형광자분을 사용할 경우 시험체 관찰 면에서 최소 자외선강도를 각각 어떻게 규정하고 있는가?
- ① KS : 800μW/cm2, ASME : 800μW/cm2
- ② KS : 800μW/cm2, ASME : 1000μW/cm2
- ③ KS : 1000μW/cm2, ASME : 800μW/cm2
- ④ KS : 1000μW/cm2, ASME : 1000μW/cm2
등록된 댓글이 없습니다.
47. 보일러 및 압력용기에 대한 자분탐상검사(ASME Sec.V Art.7)에 따른 자화 장치의 교정주기와 장치 계기의 허용오차 범위를 옳게 나타낸 것은?
- ① 교정 주기 : 2년, 허용 오차 : ±5%
- ② 교정 주기 : 1년, 허용 오차 : ±10%
- ③ 교정 주기 : 1년, 허용 오차 : ±15%
- ④ 교정 주기 : 2년, 허용 오차 : ±15%
등록된 댓글이 없습니다.
48. 보일러 및 압력용기에 대한 자분탐상검사(ASME Sec.VArt.7)에서 다음과 같은 식을 사용하는 자화방법은? (암페어턴 A.T= )
- ① 원형자화
- ② 선형자화
- ③ 평행자화
- ④ 벡터자화
등록된 댓글이 없습니다.
49. 철강 재료의 자분탐상 시험방법 및 자분모양의 분류(KS D0213)에 따른 자화방법과 그 부호가 잘못 연결된 것은?
- ① 코일법 : C
- ② 극간법 : N
- ③ 자속관통법 : I
- ④ 직각통전법 : EA
등록된 댓글이 없습니다.
50. 보일러 및 압력용기에 대한 자분탐상검사(ASME Sec.V Art.7)에 따라 백색광 및 형광의 측정을 위한 조도계는 수리되었을 때마다 교정을 실시하여야 하며 또한 최대 얼마의 기간마다 교정을 실시하여야 하는가?
- ① 1개월
- ② 6개월
- ③ 1년
- ④ 2년
등록된 댓글이 없습니다.
51. ASME Sec.V Art.7 '자분탐상검사' 에 따라 습식자분의 농도를 측정할 때 물베이스 현탁액 침전시간의 규정으로 옳은 것은?
- ① 5분
- ② 10분
- ③ 1년
- ④ 2년
등록된 댓글이 없습니다.
52. 철강 재료의 자분탐상 시험방법 및 자분모양의 분류(KS D0213)에 따른 자화방법의 설명 중 틀린 것은?
- ① 축통전법 : 시험체의 축방향으로 직접 전류를 흐르게 한다.
- ② 코일법 : 시험체를 코일 속에 넣어 코일에 전류를 흐르게 한다.
- ③ 전류관통법:시험체의 축에 대하여 직각 방향으로 직접 전류를 흐르게 한다.
- ④ 자속관통법 : 시험체의 구멍 등에 통과시킨 자성체에 교류자속을 가해 시험체에 유도전류를 흐르게 한다.
등록된 댓글이 없습니다.
53. 항공 우주용 자기탐상 검사방법(KS W 4041)의 원형자화에 대한 다음 설명 중 ( )안에 알맞은 수치로 옳은 것은?

- ① A : 2 B : 50
- ② A : 4 B : 10
- ③ A : 1 B : 30
- ④ A : 3 B : 20
등록된 댓글이 없습니다.
54. 보일러 및 압력용기에 대한 자분탐상검사(ASME Sec.V Art.7)에 따라 교류를 이용하는 극간법의 경우 최대 극간거리에서 최소 몇 파운드의 인상력을 가져야 하는가?
- ① 5
- ② 10
- ③ 18
- ④ 40
등록된 댓글이 없습니다.
55. 배관용접부의 비파괴시험 방법(KS B 0888)에 따라 관용접부를 탐상시험할 때 전처리 범위는 용접선 양끝에서 모재쪽 바깥면으로 얼마나 넓게 잡아야 하는가?
- ① 6mm
- ② 12mm
- ③ 18mm
- ④ 25mm
등록된 댓글이 없습니다.
56. 다음이 설명하고 있는 웹 페이지 검색엔진의 유형으로 옳은 것은?

- ① 주제별 검색
- ② 메뉴 검색
- ③ 웹 인덱스 검색
- ④ 지능형 검색
등록된 댓글이 없습니다.
57. 제어프로그램(Control Program)은 운영체제의 중심이 되는 프로그램으로 시스템 전체의 작동상태를 관리하는 소프트웨어이다. 다음 중 제어프로그램에 해당하지 않는 것은?
- ① 언어번역기(Language Translator)
- ② 데이터 관리 프로그램(Data Management Program)
- ③ 감독자 프로그램(Supervisor Program)
- ④ 작업관리 프로그램(Job Management Program)
등록된 댓글이 없습니다.
58. E-mail의 송수신에 관련된 프로토콜이 아닌 것은?
- ① POP3
- ② IMAP
- ③ PPP
- ④ SMPT
등록된 댓글이 없습니다.
59. 인터넷의 표준 주소 방식인 URL에 포함되지 않는 정보는?
- ① 통신 포트 번호
- ② 프로토콜
- ③ 접속할 호스트 이름
- ④ 전송 속도
등록된 댓글이 없습니다.
60. 중앙 처리 장치의 기능이 아닌 것은?
- ① 기억
- ② 전달
- ③ 제어
- ④ 입출력
등록된 댓글이 없습니다.
4과목 : 금속재료 및 용접일반
61. 실용되고 있는 형상 기억 합금계가 아닌 것은?
- ① Cu-Zn-Al계
- ② Cu-Al-Ni계
- ③ Co-Mn계
- ④ Ti-Ni계
등록된 댓글이 없습니다.
62. 마그네슘 합금의 특징을 설명한 것 중 틀린 것은?
- ① 감쇠능이 주철보다 커서 소음방지 구조재로서 우수하다.
- ② 소성가공성이 높아 상온변형이 쉽다.
- ③ 주조용 합금은 Mg-Al 및 Mg-Zn 합금 등이 있다.
- ④ 가공용 합금은 Mg-Mn 및 Mg-Al-Zn 합금 등이 있다.
등록된 댓글이 없습니다.
63. 오스테나이트계 스테인리스강의 공식을 방지하기 위한 대책이 아닌 것은?
- ① 할로겐 이온의 고농도를 피한다.
- ② 액의 산화성을 감소시키거나 공기의 투입을 많게 한다.
- ③ 질산염, 크롬산염 등의 부동태화제를 첨가한다.
- ④ 재료 중의 탄소를 적게 하거나 Ni, Cr, Mo 등을 많게 한다.
등록된 댓글이 없습니다.
64. 다음 중 주철의 성장 원인이 아닌 것은?
- ① 페라이트 조직 중의 Si의 산화
- ② 펄라이트 조직 중의 Fe3C 분해에 따른 흑연화
- ③ A1 변태의 반복과정에서 오는 체적변화에 기인되는 미세한 균열의 발생
- ④ 흡수된 가스의 수축에 따른 부피감소
등록된 댓글이 없습니다.
65. 열팽창계수가 상온부근에서 매우 작아 샤도우마스크, IC 기판 등에 사용되는 Ni계 합금은?
- ① 하스텔로이(Hastelloy)
- ② 인바(Invar)
- ③ 알루멜(Alumell)
- ④ 인코넬(Inconell)
등록된 댓글이 없습니다.
66. Fe-C 상태도에서 나타내는 변태점과 그 온도가 틀리게 짝지어진 것은?
- ① A0점 : 약 210℃
- ② A1점 : 약 723℃
- ③ A2점 : 약 868℃
- ④ A3점 : 약 910℃
등록된 댓글이 없습니다.
67. 상온에서 알루미늄합금의 결정구조는?
- ① 단순입방격자
- ② 체심입방격자
- ③ 면심입방격자
- ④ 조밀육방격자
등록된 댓글이 없습니다.
68. 금속간 화합물인 Fe3C에서 Fe와 C의 원자비(%)는?
- ① Fe : 25%, C : 75%
- ② Fe : 30%, C : 70%
- ③ Fe : 70%, C : 30%
- ④ Fe : 75%, C : 25%
등록된 댓글이 없습니다.
69. 냉간가공에 비해 열간가공하였을 때의 장범이 아닌 것은?
- ① 강괴 중의 기포가 압착된다.
- ② 적은 힘으로도 많은 변형을 가져온다.
- ③ 가공 중에 고온유지로 편석이 경감된다.
- ④ 제품의 표면이 아주 미려하고 치수가 정밀하다.
등록된 댓글이 없습니다.
70. 소성가공한 금속을 가열하였을 때 결정립의 모양과 결정방향이 변하지 않고, 기계적 성질, 물리적 성질만 변화하는 과정을 무엇이라고 하는가?
- ① 연화
- ② 회복
- ③ 재결정
- ④ 다각화
등록된 댓글이 없습니다.
71. 각 변형의 방지 대책으로 틀린 것은?
- ① 개선 각도는 작업에 지장이 없는 한도 내에서 작게 하는 것이 좋다.
- ② 판 두께가 얇을수록 첫 패스 측의 개선깊이를 작게 하는 것이 좋다.
- ③ 용접속도가 빠른 용접법을 이용한다.
- ④ 역변형의 시공법을 사용한다.
등록된 댓글이 없습니다.
72. 전격으로 인한 감전사고 시 약 몇 mA 이상의 전류가 흐르는 경우 사망의 위험이 있는가?
- ① 50
- ② 15
- ③ 20
- ④ 30
등록된 댓글이 없습니다.
73. 용접법 중 저항용접에 속하는 것은?
- ① 프로젝션 용접
- ② 전자빔 용접
- ③ 테르밋 용접
- ④ 초음파 용접
등록된 댓글이 없습니다.
74. 가스용접에 사용되는 가스 중 불꽃온도가 가장 높은 것은?
- ① 메탄
- ② 프로판
- ③ 수소
- ④ 아세틸렌
등록된 댓글이 없습니다.
75. 용접부의 잔류응력 완화법 중 응력 제거 풀림 처리를 했을 때의 효과에 대한 설명으로 틀린 것은?
- ① 응력 부식에 대한 저항력의 증대
- ② 강도의 증대
- ③ 열영향부의 뜨임 연화
- ④ 충격저항의 감소
등록된 댓글이 없습니다.
76. 교류 용접기 아크 출력이 6kW이고 내부 손실이 4kW일 때 용접기 효율은 몇 % 인가?
- ① 40%
- ② 50%
- ③ 60%
- ④ 80%
등록된 댓글이 없습니다.
77. 구조상의 결함인 기공을 검사하는 방법이 아닌 것은?
- ① 방사선 투과 검사
- ② 와류 탐상 검사
- ③ 초음파 탐상 검사
- ④ 외관 검사
등록된 댓글이 없습니다.
78. 직류아크 용접에서 정극성에 대한 설명으로 틀린 것은?
- ① 비드 폭이 좁다.
- ② 모재의 용입이 얕다.
- ③ 용접봉의 녹음이 느리다.
- ④ 모재에(+)극 용접봉에(-)극을 연결한다.
등록된 댓글이 없습니다.
79. 플래시 버트 용접의 특징을 설명한 것으로 틀린 것은?
- ① 신뢰도가 높고 이음강도가 크다.
- ② 가열부의 열영향부가 좁으며, 용접시간이 짧다.
- ③ 이종 재료의 용접은 불가능하다.
- ④ 전기 용량이 동일한 큰 물건의 용접이 가능하다.
등록된 댓글이 없습니다.
80. 테르밋(Thermit)반응이란 금속 산화물이 어떤 금속에 의하여 산소를 빼앗기는 반응을 말하는 것인가?
- ① Pb
- ② Sn
- ③ Al
- ④ Zn
등록된 댓글이 없습니다.