자동차정비기사(2013. 3. 10.) 시험일자 : 2013년 3월 10일
1과목 : 일반기계공학
1. 주조품을 제조하기 위한 모형(Pattern) 중 코어 모형을 사용해야 하는 주물로 적합한 것은?
- ① 속이 빈 주물
- ② 크기가 작은 주물
- ③ 크기가 큰 주물
- ④ 외형이 복잡한 주물
등록된 댓글이 없습니다.
2. 하중의 종류를 구분하는데 있어서 부하속도에 따라 분류된 하중의 종류가 아닌 것은?
- ① 변동하중
- ② 충격하중
- ③ 전단하중
- ④ 반복하중
등록된 댓글이 없습니다.
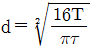
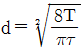
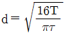
3. 비틀림 모멘트 T를 받는 중심축의 원형 단면에서 발생하는 전단응력이 τ일 때 이 중심축의 지름 d를 구하는 식으로 옳은 것은?
- ①

- ②

- ③

- ④

등록된 댓글이 없습니다.
4. 나사 조립부에 진동과 충격을 받으면 순간적으로 접촉압력이 감소하여 마찰력이 거의 없어지며, 이런 현상이 반복되면 나사가 풀리는 원인이 된다. 이러한 나사의 풀림을 방지하는 방법으로 거리가 먼 것은?
- ① 스프링 와셔를 이용하여 조립한다.
- ② 로크너트를 사용 한다.
- ③ 멈춤 나사를 사용한다.
- ④ 캡 너트를 사용한다.
등록된 댓글이 없습니다.
5. 미터 보통 나사에서 나사의 크기를 나타내는 호칭 지름(nominal diameter)은?
- ① 바깥지름
- ② 골지름
- ③ 유효지름
- ④ 리드
등록된 댓글이 없습니다.
6. 슬라이드 밸브 등에서 밸브가 중립점에 있을 때 포트는 닫혀있고, 밸브가 조금이라도 변위하면 포트가 열리고 유체가 흐르도록 중복된 상태를 의미하는 유압 용어는?
- ① 램
- ② 제로 랩
- ③ 오버 랩
- ④ 언더 랩
등록된 댓글이 없습니다.
7. 축(shaft)의 종류 중 전동축의 특수한 형태로 축의 지름에 비하여 길이가 짧은 축을 의미하는 것으로 형상과 치수가 정밀하고 변형량이 극히 작아야 하는 것은?
- ① 스핀들
- ② 차축
- ③ 크랭크축
- ④ 중공축
등록된 댓글이 없습니다.
8. 보의 재료가 선형 탄성적이고, 후크의 법칙을 따른다고 할 때 보의 처짐에 관한 설명으로 옳은 것은?
- ① 곡률반경과 굽힘모멘트는 비례한다.
- ② 곡률은 탄성계수에 비례한다.
- ③ 곡률이 클수록 굽힘모멘트는 커진다.
- ④ 굽힘강성(EI)잉 클수록 곡률반경이 작아진다.
등록된 댓글이 없습니다.
9. 선반가공에서 지름 10㎜인 연강을 20m/min로 가공할 때 분당 회전수는 약 몇 rpm인가?
- ① 318
- ② 636
- ③ 999
- ④ 1998
등록된 댓글이 없습니다.
10. 담금질한 강을 변태점 이하 온도로 가열하여 인성을 증가시키는 열처리는?
- ① 풀림(annealing)
- ② 불림(normalizing)
- ③ 뜨임(tempering)
- ④ 서브제로(subzero) 처리
등록된 댓글이 없습니다.
11. 용접법 중 하나인 납땜에 관한 설명으로 틀린 것은?
- ① 동일한 종류의 금속 또는 이종의 금속을 접합하려할 때 접합할 모재는 용융시키지 않고 모재보다 용융점이 낮은 용가재를 사용하여 접합하는 방법이다.
- ② 사용하는 용가재의 종류에 따라 크게 연납과 경납으로 구분된다.
- ③ 융점이 450℃ 이상인 용가재를 사용하여 납땜하는 것을 연납땜이라고 하고 450℃ 이하인 용가재를 사용하여 납땜하는 것을 경납땜이라고 한다.
- ④ 납땜의 성패는 용접 모재인 고체와 땜납인 액체가 어느 만큼의 친화력을 갖고 서로 접촉할 수 있느냐에 달려 있다.
등록된 댓글이 없습니다.
12. 파이프 유동에서 Reynolds 수(Re)가 약 몇 이하일 경우 층류 유동으로 볼 수 있는가?
- ① Re=600
- ② Re=2100
- ③ Re=5200
- ④ Re =14000
등록된 댓글이 없습니다.
13. 코일 스프링에서 스프링상수(k)에 대한 설명으로 틀린 것은?
- ① 스프링상수는 스프링 소재의 전단탄성계수에 비례한다.
- ② 스프링상수는 스프링 소재의 지름의 4승에 비례한다.
- ③ 스프링상수는 코일의 평균지름 3승에 반비례한다.
- ④ 스프링상수는 스프링의 유효감김수에 비례한다.
등록된 댓글이 없습니다.
14. 황동에서 주로 발생하는 화학적 변형에 속하지 않는 것은?
- ① 탈아연 부식(dezincification corrosion)
- ② 자연균열(seasoning cracking)
- ③ 청열취성(blue short ness)
- ④ 고온 탈아연(dezincing)
등록된 댓글이 없습니다.
15. 유압기기의 제어밸브를 기능면에서 크게 3가지로 구분할 때 이에 속하지 않는 것은?
- ① 압력제어 밸브
- ② 방향제어 밸브
- ③ 유량제어 밸브
- ④ 온도제어 밸브
등록된 댓글이 없습니다.
16. 축의 휨, 원통의 진원도 측정에 가장 적합한 측정기는?
- ① 다이얼 게이지
- ② 하이트 게이지
- ③ 버니어캘리퍼스
- ④ 각도 게이지
등록된 댓글이 없습니다.
17. 탄소강에서 상온취성을 일으키는데 가장 큰 영향을 주는 원소는?
- ① Si(규소)
- ② S(황)
- ③ Mn(망간)
- ④ P(인)
등록된 댓글이 없습니다.
18. 판금 공작법 중 지름이 같은 두 원통을 서로 겹쳐 끼우기 위하여 원통의 끝 부분에 주름을 잡아 지름을 약간 감소시키는 작업을 무엇이라고 하는가?
- ① 크림핑
- ② 비딩
- ③ 터닝
- ④ 스피닝
등록된 댓글이 없습니다.
19. 기어 잇수가 각각 19개, 56개 이고, 기어의 모듈은 4, 입력각이 20°인 한 쌍의 표준 스퍼기어 장치의 기어 중심 간 거리는 약 몇 ㎜인가?
- ① 79.81
- ② 75
- ③ 159.62
- ④ 150
등록된 댓글이 없습니다.
20. 강철봉을 기온이 3060℃인 상태에서 240N/cm2의 인장응력을 발생시켜 놓고 양단을 고정하였다. 이봉을 60℃로 기온을 상승시키면 강철봉에 발생하는 응력은 어떻게 되는가? (단, 세로탄성계수는 E=2×10⁶N/cm2, 선팽창계수는 α=1×10-5/℃이다.)
- ① 840N/cm2의 인장응력이 발생한다.
- ② 360N/cm2의 압축응력이 발생한다.
- ③ 600N/cm2의 인장응력이 발생한다.
- ④ 600N/cm2의 압축응력이 발생한다.
등록된 댓글이 없습니다.
2과목 : 기계열역학
21. 기체가 0.3MPa로 일정한 압력 하에서 8m3에서 4m3까지 마찰 없이 압축도면서 동시에 500kJ의 열을 외부에 방출하였다면, 내부에너지(kJ)의 변화는 얼마나 되겠는가?
- ① 약 700
- ② 약 1700
- ③ 약 1200
- ④ 약1300
등록된 댓글이 없습니다.
22. 어떤 가스의 비내부에너지 u(kJ/Kg), 온도 t(℃), 압력 P(kPa), 비체적 v(m3/kg)사이에는 다음의 관계식이 성립한다. 이 가스의 정압비열은 얼마 정도이겠는가?

- ① 0.84kJ/Kg℃
- ② 0.68kJ/Kg℃
- ③ 0.50kJ/Kg℃
- ④ 0.28kJ/Kg℃
등록된 댓글이 없습니다.
23. 잘 단열된 노즐에서 공기가 0.45MPa에서 0.15MPa로 팽창한다. 노즐 입구에서 공기의 속도는 50m/s, 온도는 150이며 출구에서의 온도는 45이다. 출구에서의 공기 속도는?
- ① 약 350m/s
- ② 약 363m/s
- ③ 약 445m/s
- ④ 약 462m/s
등록된 댓글이 없습니다.
24. 다음 사항은 기계열역학에서 일과 열에 대한 설명이다. 이 중 틀린 것은?
- ① 일과 열은 전달되는 에너지이지 열역학적 상태량은 아니다.
- ② 일의 단위는 J(Joule)이다.
- ③ 일(work)의 크기는 힘과 그 힘이 작용하여 이동한 거리를 곱한 값이다.
- ④ 일과 열은 점함수이다.
등록된 댓글이 없습니다.
25. 10kg의 증기가 온도 50℃, 압력 38MPa, 체적 7.5m3일 때, 총 내부에너지는 6700kJ이다. 이와 같은 상태의 증기가 가지고 있는 엔탈피(enthalpy)는 몇 kJ인가?
- ① 1606
- ② 1794
- ③ 2305
- ④ 6985
등록된 댓글이 없습니다.
26. 227의 증기가 500kJ/kg의 열을 받으면서 가역등온팽창한다. 이때 증기의 엔트로피 변화는 약 얼마인가?
- ① 1.0 kJ/kg·k
- ② 1.5kJ/kg·k
- ③ 2.5kJ/kg·k
- ④ 2.8kJ/kg·k
등록된 댓글이 없습니다.
27. 가역 단열펌프에 100kPa, 50의 물이 2kg/s로 들어가 4MPa로 압축된다. 이 펌프의 소요동력은? (단, 50에서 포화액체(saturated liquid)의 비체적은 0.001/kg이다.)
- ① 3.9kW
- ② 4.0kW
- ③ 7.8kW
- ④ 8.0kW
등록된 댓글이 없습니다.
28. 증기터빈 발전소에서 터빈 입·출구의 엔탈피 차이는 130kJ/kg이고, 터빈에서의 열손실은 10kJ/Kg이었다. 이 터빈에서 얻을 수 있는 최대 일은 얼마인가?
- ① 10kJ/kg
- ② 12kJ/kg
- ③ 130kJ/kg
- ④ 140kJ/kg
등록된 댓글이 없습니다.
29. 어떤 냉장고의 소비전력이 200W이다. 이 냉장고가 부엌으로 배출하는 열이 500W라면, 이때 냉장고의 성능계수는 얼마인가?
- ① 1
- ② 2
- ③ 0.5
- ④ 1.5
등록된 댓글이 없습니다.
30. 시스템의 온도가 가열과정에서 10℃에서 30℃로 상승하였다. 이 과정에서 절대온도는 얼마나 상승하였는가?
- ① 11K
- ② 20 k
- ③ 293K
- ④ 303K
등록된 댓글이 없습니다.
31. 열펌프의 성능계수를 높이는 방법이 아닌 것은?
- ① 응축 온도를 낮춘다.
- ② 증발온도를 낮춘다.
- ③ 손실 일을 줄인다.
- ④ 생성엔트로피를 줄인다.
등록된 댓글이 없습니다.
32. 매시간 20kg의 연료를 소비하는 100PS인 가솔린 기관의 열효율은 약 얼마인가? (단, 1PS=750W이고, 가솔린의 저위발열량은 43470kJ/kg이다.)
- ① 18%
- ② 22%
- ③ 31%
- ④ 43%
등록된 댓글이 없습니다.
33. 공기 10kg이 압력 200kPa 체척 5m3인 상태에서 압력 400kPa 온도 300℃인 상태로 변했다면 체적의 변화는? (단, 공기의 기체상수 R=0.287kJ/kg·K이다.)
- ① 약 +0.6m3
- ② 약 +0.9m3
- ③ 약 -0.6m3
- ④ 약 -0.9m3
등록된 댓글이 없습니다.
34. 이상기체의 가역단열 변화에서는 압력 P, 체적 V, 절대온도 T사이에 어떤 관계가 성립하는가? (단, 비열비 k=Cp/Cv이다.)
- ① PV=일정
- ② PVk-1=일정
- ③ PTk=일정
- ④ PVK-1=일정
등록된 댓글이 없습니다.
35. 증기동력 사이클에 대한 다음의 언급 중 옳은 것은?
- ① 이상적인 보일러에서는 등온 가열 과정이 진행된다.
- ② 재열 사이클은 주로 사이클 효율을 낮추기 위해 적용한다.
- ③ 터빈의 토출압력을 낮추면 사이클 효율도 낮아진다.
- ④ 최고 압력을 높이면 사이클 효율이 높아진다.
등록된 댓글이 없습니다.
36. 압력 5kPa, 체적이 0.3m3인 기체가 일정한 압력 하에서 압축되어 0.2m3로 되었을 때 이 기체가 한 일은? (단, +는 외부로 기체가 일 한 경우이고, -는 기체가 외부로부터 일을 받은 경우)
- ① 500J
- ② –500J
- ③ 1000J
- ④ -1000J
등록된 댓글이 없습니다.
37. 이상기체 1kg이 가역등온 과정에 따라 P1=2kPa, V1=0.1m3로부터 V2=0.3m3로 변화했을 때 기체가 한 일은 몇 주울(J)인가?
- ① 9540
- ② 2200
- ③ 954
- ④ 220
등록된 댓글이 없습니다.
38. 다음 그림은 오토 사이클의 P-V선도이다. 그림에서 3-4가 나타내는 과정은?

- ① 단열 압축과정
- ② 단열 팽창과정
- ③ 정적 가열과정
- ④ 정적 방열과정
등록된 댓글이 없습니다.
39. 공기표준 Carnot 열기관 사이클에서 최저 온도는 280K이고, 열효율은 60%이다. 압축 전 압력과 열을 방출한 후 압력은 100kPa이다. 열을 공급하기 전의 온도와 압력은? (단, 공기의 비열비는 1.4이다.)
- ① 700K, 2470kPa
- ② 700K, 2200kPa
- ③ 600K, 2470kPa
- ④ 600K, 2200kPa
등록된 댓글이 없습니다.
40. 400k의 물 1.0kg/s와 350k의 물 0.5kg/s가 정상과정으로 혼합되어 나온다. 이 과정 중에 300kJ/s의 열손실이 있다. 출구에서 물의 온도는 약 얼마인가?
- ① 369.2K
- ② 350.1K
- ③ 335.5K
- ④ 320.3K
등록된 댓글이 없습니다.
3과목 : 자동차기관
41. LPG 연료장치에서 연료 계통을 바르게 나열한 것은?
- ① LPG탱크 → LPG솔레노이드밸브 → 믹서 → 베이퍼라이저 → LPG역과기 → 실린더
- ② LPG탱크 → 베이퍼라이저 → 믹서 → LPG솔레노이드밸브 → LPG여과기 → 실린더
- ③ 베이퍼라이저 → LPG탱크 → 믹서 → LPG솔레노이드밸브 → 실린더
- ④ LPG탱크 → LPG여과기 → LPG솔레노이드밸브 → 베이퍼라이저 → 믹서 → 실린더
등록된 댓글이 없습니다.
42. 디젤기관의 기계식 연료분사장치에서 연소과정에 영향을 주는 변수와 가장 거리가 먼 것은?
- ① 연료 분사 시기
- ② 분사지속 시간과 분사율
- ③ 무효분사 시간
- ④ 분사방향
등록된 댓글이 없습니다.
43. 피스톤 링의 역할로 틀린 것은?
- ① 피스톤의 상하운동 시 균형을 잡는다.
- ② 피스톤과 실린더 사이를 밀봉시킨다.
- ③ 실린더 벽면의 윤활유를 긁어내린다.
- ④ 피스톤의 열을 실린더에 전달한다.
등록된 댓글이 없습니다.
44. 전자제어 CRDI(Common Rail Direct Injection) 디젤엔진에서 저속 시 연소실에서의 공기 유동인 소용돌이 현상을 일으켜 매연을 저감하기 위한 장치는?
- ① 가변 용량제어 터보차저(VGT)
- ② 에어 콘트롤 밸브 (ACV)
- ③ 슈퍼차저(SCG)
- ④ 가변 스월 장치 (SCV)
등록된 댓글이 없습니다.
45. 복합사이클에서 압축비 15:1, 체적비 ρ=2, 단절비 σ=1.3, 비열비 k=1.4일 때 이 엔진의 이론 열효율은?
- ① 35%
- ② 56%
- ③ 65%
- ④ 69%
등록된 댓글이 없습니다.
46. 디젤 기관의 연소실 구비 조건으로 맞지 않는 것은?
- ① 분사된 연료를 짧은 시간에 완전 연소시켜야 한다.
- ② 평균 유효압력이 낮으며, 연료소비율이 적어야 한다.
- ③ 고속 회전시의 연소 상태가 좋아야 한다.
- ④ 시동이 용이하고 디젤 노크가 적어야 한다.
등록된 댓글이 없습니다.
47. 기관은 운전 중에 여러 가지 불평형력(unbalance force)이 발생한다. 이것은 소음, 진동문제를 발생시키므로 가능한 제거하여 평형이 되도록 해야 한다. 기관의 평형에 영향을 미치는 부품만으로 나열된 것은?
- ① 크랭크축, 플라이 휠, 피스톤, 크랭크 축 풀리
- ② 크랭크축, 플라이 휠, 피스톤, 실린더 헤드
- ③ 크랭크축, 플라이 휠, 피스톤, 실린더 블록
- ④ 크랭크축, 실린더 헤드, 피스톤, 크랭크축 풀리
등록된 댓글이 없습니다.
48. 유해 배기가스의 청정화 시스템 중 실린더 내에서의 생성억제(전처리방식)에 해당되지 않는 것은?
- ① 연소실 형상, 압축비, 밸브타이밍
- ② 2차 공기 분사장치
- ③ 배기가스 재순환 장치
- ④ 연비, 점화시기, 냉각수 온도의 매칭
등록된 댓글이 없습니다.
49. 전자제어 가솔린 엔진의 연료분사장치에서 엔진부하와 rpm에 따라 신호전압이 급격히 변화하는 센서는?
- ① 차속센서
- ② 크랭크 포지션 센서
- ③ 캠 포지션 센서
- ④ MAP센서
등록된 댓글이 없습니다.
50. DOHC 엔진의 특징이 아닌 것은?
- ① 구조가 간단한다.
- ② 응답성이 좋다.
- ③ 최고 회전수가 향상된다.
- ④ 흡입효율이 향상된다.
등록된 댓글이 없습니다.
51. 자동차 기관에 오일을 공급하는 방식에서 압송식의 장점이 아닌 것은?
- ① 베어링 면의 유압이 높아 항상 완전한 급유가 가능
- ② 크랭크케이스 내의 오일이 약간 부족해도 급유가능
- ③ 각 주유부의 오일 공급을 골고루 할 수 있다.
- ④ 배유관의 고장이나 오일 통로가 막혀도 오일 공급을 할 수 있다.
등록된 댓글이 없습니다.
52. 과급장치에서 인터쿨러의 필요성을 바르게 설명한 것은?
- ① 과급공기의 냉각을 통한 정미열효율의 향상
- ② 흡입공기의 예열을 통한 연소효율 향상
- ③ 공기밀도의 증가를 통한 충전효율의 향상
- ④ 과급장치의 냉각을 통한 기계효율의 향상
등록된 댓글이 없습니다.
53. 어떤 기관에서 비중 0.75 저위발열량 10500kcal/kg의 연료를 사용하여 0.5시간 시험하였더니 연료 소비량은 5L이었다. 이 기관의 연료 마력은?
- ① 100PS
- ② 125PS
- ③ 1500PS
- ④ 7500PS
등록된 댓글이 없습니다.
54. 디젤(압축착화-CIE) 기관에서의 노킹(knocking)의 방지책이 아닌 것은?
- ① 분사 초기에 연료 분사량을 증가시킨다.
- ② 흡입공기에 와류를 형성시켜 준다.
- ③ 압축비를 증가시켜 압축압력과 온도를 높인다.
- ④ 연료의 착화지연시간을 짧게 한다.
등록된 댓글이 없습니다.
55. 전자제어 디젤연료분사장치에 대한 설명으로 틀린 것은?
- ① 스로틀 센서는 가속 시 증량보정과 비동기 분사제어를 수행한다.
- ② 연료 압력센서는 커먼레일 압력을 측정하여 연료분사량과 분사시기를 조절 한다.
- ③ 연료온도 센서는 연료온도를 측정하여 보정하는 역할을 한다.
- ④ 공기유량 센서는 EGR피드백 컨트롤 제어에 사용된다.
등록된 댓글이 없습니다.
56. 평균 유효압력에 대한 설명으로 틀린 것은?
- ① 평균 유효압력이란 1사이클의 일을 행정 체적으로 나눈 것
- ② 도시평균유효압력 = 이론평균유효압력 × 선도계수
- ③ 제동평균 유효압력 = 도시평균유효압력 × 체적효율
- ④ 마찰평균유효압력 = 도시평균유효압력 - 제동평균유효압력
등록된 댓글이 없습니다.
57. 전자제어 연료분사장치의 인젝터에서 연료분사량을 결정하는 요인이 아닌 것은?
- ① 노즐의 지름
- ② 연료의 압력
- ③ 니들밸브가 열려 있는 시간
- ④ 인젝터 재질
등록된 댓글이 없습니다.
58. 가솔린 기관의 인젝터 작동 시 분사량에 가장 영향을 주는 것은?
- ① 니들밸브의 유효 행정
- ② 인젝터 솔레노이드 코일의 통전 전류
- ③ 인젝터 솔레노이드 코일의 통전 시간
- ④ 니들 밸브의 지름
등록된 댓글이 없습니다.
59. 운행차 배출가스 정기검사에서 휘발유사용 자동차의 배출가스를 측정할 때 시료 채취관을 배기관내에 얼마 이상 삽입하여야 하는가?
- ① 15㎝
- ② 20㎝
- ③ 25㎝
- ④ 30㎝
등록된 댓글이 없습니다.
60. 전자제어 가솔린 기관에서 크랭킹은 되지만 시동이 안 되는 원인으로 틀린 것은?
- ① 시동모터 불량
- ② 파워 TR 불량
- ③ 점화코일의 배선 연결 상태가 불량
- ④ 점화 계통의 퓨즈 단선
등록된 댓글이 없습니다.
4과목 : 자동차새시
61. 공기 저항에 대한 설명 중 틀린 것은?
- ① 차체의 앞부분에서의 압력과 뒷부분에서 생기는 부압과의 압력 차이로 발생되는 현상 또 압력저항
- ② 자동차가 속도를 증가시킬 때에 발생되는 관성에 의한 저항
- ③ 자동차 고속 주행할 때 양력의 발생으로 생기는 저항인 유도 저항
- ④ 자동차 표면에 흐르는 공기와의 마찰
등록된 댓글이 없습니다.
62. 전자제어 현가장치의 입·출력 요소에서 출력에 해당하는 것은?
- ① 쇼크업소버의 감쇠력을 변화시키는 액추에이터
- ② 차량의 높이를 감지하는 차고 센서
- ③ 제동 시 다이브(dive)제어의 기준 신호가 되는 브레이크 스위치
- ④ 주행 중 전조등의 점등을 알려주는 전조등 스위치
등록된 댓글이 없습니다.
63. 슬립률이란 제동 시 차량의 속도와 타이어의 회전속도와의 관계를 나타내는 것으로 타이어와 노면 사이의 마찰력을 슬립률에 따라 변한다. 다음 중 슬립률을 구하는 공식은? (여기서 λ은 슬립률, V는 차속, Vw는 휠의 속도이다.)
- ① λ = (V-Vw)/V × 100
- ② λ = V/Vw × 100
- ③ λ = (Vw-V)/Vw × 100
- ④ λ = (Vw+V)/V × 100
등록된 댓글이 없습니다.
64. 자동차 섀시 스프링 중 스프링 상수가 자동적으로 조정되는 것은?
- ① 판스프링
- ② 공기 스프링
- ③ 코일 스프링
- ④ 토션바 스프링
등록된 댓글이 없습니다.
65. 차실의 통로에 대한 안전기준이 아닌 것은?
- ① 통로의 유효너비는 60㎝ 이상이다.
- ② 통로는 승차정원 16인승 이상 자동차에 설치하여야 한다.
- ③ 2층 대형승합자동차에는 위층과 연결되는 계단식 통로를 설치하여야 한다.
- ④ 통로에 접이식 좌석을 설치한 자동차에 있어서 좌석을 접을 경우 유효너비를 확보한 경우에는 설치하지 않아도 된다.
등록된 댓글이 없습니다.
66. 수동변속기에서 싱크로메시 기구가 작용하는 시기는?
- ① 기어 변속기 클러치 페달을 뗄 때 작용한다.
- ② 기어 변속기 기어가 물릴 때 작용한다.
- ③ 기어 변속기 클러치 페달을 밟을 때 작용한다.
- ④ 기어변속이 해제될 때 작용한다.
등록된 댓글이 없습니다.
67. 고속도로를 100km/h의 속도로 주행하는 자동차의 중량이 3500kgf이며, 회전관성중량이 차량중량의 10%일 때 정지거리는 얼마인가? (단, 제동력은 전류 3000kgf, 320kgf, 후륜 400kgf, 420kgf이고, 공주시간은 0.1초이다.)
- ① 108m
- ② 100m
- ③ 95m
- ④ 90m
등록된 댓글이 없습니다.
68. 전자제어 자동변속기에서 차속 센서에 대한 내용으로 가장 알맞은 것은?
- ① 반드시 마그네트 방식이어야 한다.
- ② 펄스제네레이터와 스로틀 센서를 보정하여 변속시기를 결정한다.
- ③ 거버너 밸브가 고장 시 작동하여 변속을 원활하게 한다.
- ④ 유온센서 고장 시 변속을 원활하게 한다.
등록된 댓글이 없습니다.
69. 자동차 현가장치의 스프링 위 질량 진동에서 Z축을 중심으로 회전운동을 하는 고유진동은?

- ① 와인드업(wind up)
- ② 피칭(pitching)
- ③ 휠 트램프(wheel tramp)
- ④ 요잉(yawing)
등록된 댓글이 없습니다.
70. 추진축의 자재이음을 사용하는 이유는?
- ① 추진축의 길이 변화에 대응하기 위하여
- ② 추진축의 강한 회전력을 흡수화기 위하여
- ③ 교차하는 두 축의 자유로운 동력전달을 위하여
- ④ 추진축의 소음을 줄이기 위하여
등록된 댓글이 없습니다.
71. 유압식 디스크 브레이크의 특징이 아닌 것은?
- ① 패드에 누르는 힘을 크게 할 필요가 있다.
- ② 주행 시 반복 사용하여도 제동력 변화가 적다.
- ③ 열변형에 의한 제동력 변화가 많다.
- ④ 자기 작동이 발생하지 않는다.
등록된 댓글이 없습니다.
72. 자동차용 자동변속기 유체 클러치에서 스톨 포인트에 대한 설명으로 틀린 것은?
- ① 펌프는 회전하나 터빈이 회전하지 않는 점이다.
- ② 스톨 포인트에서 회전력비가 최대가 된다.
- ③ 속도비가 '0'인 점이다.
- ④ 소톨 포인트에서 효율이 최대가 된다.
등록된 댓글이 없습니다.
73. 자동차의 조향 핸들 조작을 가볍게 하기 위한 방법으로 거리가 먼 것은?
- ① 저속으로 주행 한다.
- ② 앞바퀴 정렬을 정확히 한다.
- ③ 자동차의 하중을 작게 한다.
- ④ 타이어의 공기압을 높인다.
등록된 댓글이 없습니다.
74. 전자제어 동력조향장치(ECPS : Electronic Control Power Steering)에서 솔레노이드 밸브이 작동과 관계가 먼 것은?
- ① 엔진 회전수
- ② 차량 속도
- ③ 조향기어의 유량
- ④ 솔레노이드밸브의 전류량
등록된 댓글이 없습니다.
75. 동력 조향장치에서 오일 리저버 탱크에 공기가 혼입되는 현상이 생기는 원인으로 가장 적합한 것은?
- ① 파워핸들 기어박스의 불량
- ② 저압 파이프에서의 누설
- ③ 오일 순환통로의 막힘
- ④ 오일펌프 구동벨트의 슬립
등록된 댓글이 없습니다.
76. 자동차 타이어의 편평비란?
- ① 타이어 내경을 타이어 폭으로 나눈 백분율
- ② 타이어 폭을 타이어 단면 높이로 나눈 백분율
- ③ 타이어 단면 높이를 타이어 폭으로 나눈 백분율
- ④ 타이어 단면 둘레를 타이어 높이로 나눈 백분율
등록된 댓글이 없습니다.
77. 자동차용 수동변속기 클러치판에서 비틀림 코일 스프링의 역할은?
- ① 클러치면이 미끄러지는 것을 방비
- ② 클러치스프링의 장력 보완
- ③ 클러치 접속 시의 회전충격 흡수
- ④ 클러치판의 파손방지
등록된 댓글이 없습니다.
78. 단순 유성기어 장치에서 링기어가 출력축이고 선기어가 구동, 캐리어가 고정되었다면 링기어의 회전력은?
- ① 증속
- ② 감속
- ③ 역전증속
- ④ 역전감속
등록된 댓글이 없습니다.
79. ABS제어에서 출력 요소가 아닌 것은?
- ① 모터 릴레이
- ② 휠 스피드 센서
- ③ 밸브 솔레노이드
- ④ 경고등
등록된 댓글이 없습니다.
80. ESP(Electronic Stability Program)제어에서 요 컨트롤 기능을 수행하기 위한 센서가 아닌 것은?
- ① 임팩트 센서
- ② 횡 가속도 센서
- ③ 마스터실린더 압력센서
- ④ 조향각 센서
등록된 댓글이 없습니다.
5과목 : 자동차전기
81. 자동차 전조등의 1등 당 광도는 주행빔의 경우 최대 몇 칸델라 이하인가?
- ① 75000칸델라
- ② 95000칸델라
- ③ 112500칸델라
- ④ 211500칸델라
등록된 댓글이 없습니다.
82. 전기자 전류가 20A일 때 10m·kgf의 토크를 내는 직권전동기가 있다. 이 전동기의 전기자 전류가 40A일 때의 토크(Torque)는?
- ① 20m·kgf
- ② 30m·kgf
- ③ 40m·kgf
- ④ 50m·kgf
등록된 댓글이 없습니다.
83. 다음 그림은 4행정 가솔린 기관에서 배전기 축이 1회전 하는 동안의 파형 변화이다. 이 파형은 어떤 센서의 출력 파형인가?

- ① 1번 실린더 TDC센서
- ② 산소센서
- ③ 대기압 센서
- ④ 수온센서
등록된 댓글이 없습니다.
84. 공기조화 장치에서 차 실내 공기온도를 제어하기 위한 센서가 아닌 것은?
- ① 차량 실내온도 센서
- ② 차량실외 온도 센서
- ③ 일사센서
- ④ 압축기 온도 센서
등록된 댓글이 없습니다.
85. 가솔린기관의 점화장치에서 점화코일의 1차 코일저항이 무한대로 측정될 때의 원인으로 적합한 것은?
- ① 코일 단선
- ② 코일단락
- ③ 절연 불량
- ④ 코일 접지
등록된 댓글이 없습니다.
86. 자동차의 충전장치회로에서 아날로그형 멀티미터로 트리오 다이오드를 점검하는 내용으로 알맞은 것은?

- ① 시험기의 적색, 흑색단자를 교대해서 다이오드(+), (-) 단자에 점검했을 때 한쪽방향만 통전되면 단락된 것이다.
- ② 시험기의 적색, 흑색단자를 교대해서 다이오드(+), (-) 단자에 점검했을 때 한쪽방향만 통전되면 단선된 것이다.
- ③ 시험기의 적색, 흑색단자를 교대해서 다이오드(+), (-) 단자에 점검했을 때 양방향 모두 비통전 되면 정상이다.
- ④ 시험기의 적색, 흑색단자를 교대해서 다이오드(+), (-) 단자에 점검했을 때 양방향 모두 통전되면 단락된 것이다.
등록된 댓글이 없습니다.
87. 기동전동기의 구비 조건이 아닌 것은?
- ① 소형경량이며 출력이 커야 한다.
- ② 주행 시 발생하는 진동에 견딜 수 있어야 한다.
- ③ 시동 전동기는 시동 토크가 큰 교류, 직권 전동기를 사용한다.
- ④ 전원용량이 적어도 작동이 잘되고 먼지나 물이 들어가지 않는 구조이어야 한다.
등록된 댓글이 없습니다.
88. 냉방장치에서 에어컨을 작동 시킨 후 압력게이지로 압력을 측정한 결과 고압이나 저압의 차이가 많지 않고, 고압은 정상보다 낮게, 저압은 높게 측정 되었다면 결함사항 중 가장 적합한 것은?
- ① 냉매 충전량이 너무 많다.
- ② 에어컨 시스템에 공기가 혼입되었다.
- ③ 에어컨 시스템에 수분이 혼입되었다.
- ④ 압축기의 압축불량이다.
등록된 댓글이 없습니다.
89. 1차 쪽에 발생된 전압 E1, 1차 코일의 권수 N1, 2차 쪽에 발생된 전압 E2, 2차 코일의 권수 N2일 경우, 상호유도작용 관계식은?
- ①

- ②

- ③

- ④

등록된 댓글이 없습니다.
90. 전조등의 자동 점등 및 소등 장치를 작동시키기 위하여 설치하는 조명도 센서로 사용되는 것은?
- ① 사이리스터(thyristor
- ② 서미스터(thermistor)
- ③ 제너 다이오드(zener diode)
- ④ 포토 다이오드 (photo diode)
등록된 댓글이 없습니다.
91. 축전기의 종류가 아닌 것은?
- ① 종이 축전기
- ② 전해 축전기
- ③ 세라믹 축전기
- ④ 석면 축전기
등록된 댓글이 없습니다.
92. 전자배전 점화방식(DLI) 또는 독립 점화방식에서 점화 순서를 결정하는 입력 신호로 맞는 것은?
- ① TDC센서
- ② 노킹 센서
- ③ 산소센서(O2)
- ④ 흡기온도 센서(ATS)
등록된 댓글이 없습니다.
93. 자동차 소음 측정에 관한 설명으로 옳은 것은?
- ① 암소음의 크기는 10dB 이하이어야 한다.
- ② 풍속이 5m/sec 이상일 때에는 측정을 삼간다.
- ③ 주변소음에 영향을 받지 않는 옥내에서 측정한다.
- ④ 마이크로폰 설치중심으로부터 반경 5m 이내에는 돌출 장애물이 없어야 한다.
등록된 댓글이 없습니다.
94. 디젤기관에서 코일식 예열 플러그에 대한 설명으로 틀린 것은?
- ① 히트 코일이 노출되어 있어 적열 시간이 짧다.
- ② 저항값이 작아 직렬로 결선 한다.
- ③ 예열 플러그 저항기를 두어야 한다.
- ④ 저항값이 커서 병렬로 결선 한다.
등록된 댓글이 없습니다.
95. 자동차용 에어백장치에서 에너지 공급 장치란?
- ① 에어백 인플레이터에 직접 공급되는 배터리 전원장치를 말한다.
- ② 전원 차단 시에도 일정시간 ECU내부의 콘덴서에 의해 에어백이 작동하도록 하는 장치이다.
- ③ 충돌 시 에어백 작동을 위한 승압장치를 말한다.
- ④ 에어백 시스템의 고장 발생 시 경고를 하기 위한 전원장치이다.
등록된 댓글이 없습니다.
96. 조명 장치 중에서 HID(High Intensity Discharge)램프에 대한 특징으로 틀린 것은?
- ① 할로겐전구에 비해 소비저력이 40% 이상 적다.
- ② 할로겐전구에 비해 발광량이 3배에 달한다.
- ③ 할로겐전구에 비해 가격이 저렴하다.
- ④ 할로겐전구에 비해 거의 4배나 수명이 길다.
등록된 댓글이 없습니다.
97. 교류 발전기의 내부구조에서 계절의 역할은?
- ① 전류의 손실방지
- ② 자력의 손실방지
- ③ 형태의 변화방지
- ④ 전압 강하방지
등록된 댓글이 없습니다.
98. 신 냉매(R134a)의 특성으로 틀린 것은?
- ① 역화 및 증발이 용이 하다.
- ② 화학적으로 안정적이고 내열성이 좋다.
- ③ 온난화 계수가 R-12보다 낮으며 오존파괴 계수가 10을 넘지 않는다.
- ④ 압축기 오일은 합성유를 사용해야 한다.
등록된 댓글이 없습니다.
99. 코일의 권수 150회의 코일이 5[A]의 전류를 흐르게 하였을 때, 6×10-2[wb]의 자속이 교체하였다면 이 코일의 자기 인덕턴스는?
- ① 1.5[H]
- ② 1.8[H]
- ③ 2.2[H]
- ④ 3.8[H]
등록된 댓글이 없습니다.
100. 자동차용 축전지의 사이클링(cycling) 쇠약이란?
- ① 과충전 된 현상
- ② 전해액이 줄어지는 현상
- ③ 극판이 황산화 되는 현상
- ④ 충·방전을 계속하면 노쇠현상이 일어나는 현상
등록된 댓글이 없습니다.