전기공사기사(2004. 5. 23.) 시험일자 : 2004년 5월 23일
1과목 : 전기응용 및 공사재료
1. 15[℃]의 물 4[ℓ ]을 용기에 넣고 1[kW]의 전열기로 가열하여 90[℃]로 하는데 30분이 소요되었다. 이 장치의 효율은 약 몇[%]인가?
- ① 90
- ② 70
- ③ 50
- ④ 30
등록된 댓글이 없습니다.
2. 넓이 20[m]× 30[m]의 실의 높이 3[m]인 천정 (天井)에 완전 확산성 유리를 펴고 그 배후에 전등을 다수 장치하여 천정에 균일한 휘도 0.004 [㏅/cm2]를 얻었다. 바닥중앙 의 조도[lx]는?
- ① 14
- ② 40
- ③ 125.6
- ④ 0.0126
등록된 댓글이 없습니다.
3. SF6의 특성이 아닌 것은?
- ① 무색, 무취, 가연성이다.
- ② 가볍다.
- ③ 유전손이 적다.
- ④ 기기를 소형화할 수 있다.
등록된 댓글이 없습니다.
4. 다음 중 주로 안개가 많은 지역의 송전선로에 사용되는 애자는?
- ① 라인 포스트 애자
- ② 스테이션 포스트 애자
- ③ 트리 애자
- ④ 스모그 애자
등록된 댓글이 없습니다.
5. 다음 형광 방전관중 색온도가 가장 높은 것은?
- ① 백색
- ② 주광색
- ③ 온백색
- ④ 적색
등록된 댓글이 없습니다.
6. 전자 비임 가열의 특징이 아닌 것은?
- ① 에너지의 밀도나 분포를 자유로이 조절할 수 없다.
- ② 고융점 재료 및 금속박 재료의 용접이 쉽다.
- ③ 진공중에서 가열이 가능하다.
- ④ 가열범위가 극히 국한된 부분에 집중시킬수 있어서 열에 의한 변질이 될 부분을 적게 할수 있다.
등록된 댓글이 없습니다.
7. 올 커버 스위치(Enclosed Switches)의 주된 용도는?
- ① 옥내에서 교류 250V 이하인 전로
- ② 옥내에서 교류 3300V 이하인 전로
- ③ 옥외에서 교류 600V 이하인 전로
- ④ 옥외에서 교류 3300V 이하인 전로
등록된 댓글이 없습니다.
8. 다음 중 고주파 유전가열에 부적당한 것은?
- ① 목재의 건조
- ② 목재의 접착
- ③ 비닐막의 접착
- ④ 금속 표면처리
등록된 댓글이 없습니다.
9. 축전지의 충전방식중 전지의 자기방전을 보충함과 동시에 상용부하에 대한 전력 공급은 충전기가 부담하도록 하되, 충전기가 부담하기 어려운 일시적인 대전류 부하는 축전지로 하여금 부담케 하는 충전방식은?
- ① 보통충전
- ② 과부하충전
- ③ 서류충전
- ④ 부동충전
등록된 댓글이 없습니다.
10. 반사율ρ , 투과율τ , 흡수율δ 일 때 이들의 관계식은?
- ① ρ +τ +δ =1
- ② ρ -τ -δ =1
- ③ (ρ +τ )/δ =1
- ④ ρ /(τ +δ ) = 1
등록된 댓글이 없습니다.
11. COS 설치에서 사용재료가 아닌 것은?
- ① 소켓아이
- ② 브라켓트
- ③ 퓨즈링크
- ④ 내오손결합애자
등록된 댓글이 없습니다.
12. 중량 50[t]의 전동차에 2[Km/h/s]의 가속도를 주는데 필요한 힘은?
- ① 62[Kg]
- ② 100[Kg]
- ③ 310[Kg]
- ④ 3100[Kg]
등록된 댓글이 없습니다.
13. 건전지와 감극제가 잘못 연결된 것은 ?
- ① 망간전지 - MnO2
- ② 산화은전지 - NH4Cl
- ③ 공기전지 - O2
- ④ 수은전지 - HgO
등록된 댓글이 없습니다.
14. 고압,특별고압기의 단락전류의 차단을 목적으로 사용되며 소호방식에 따라 한류형과 비한류형이 있는것은?
- ① 단로기
- ② 선로 개폐기
- ③ 전력퓨즈
- ④ 리크로저
등록된 댓글이 없습니다.
15. 600V 2종 비닐절연전선의 설명 중 틀린 것은?
- ① 절연물이 75℃의 내열성를 갖는 비닐혼합물
- ② 전선의 표시기호는 HIV
- ③ 허용온도는 75℃ 이하
- ④ 평형도체 사용
등록된 댓글이 없습니다.
16. 연쇄노점의 조명시설에 전기를 공급하는 전로에는 무엇을 시설 하여야 하는가?
- ① 단로기
- ② 누전차단기
- ③ 기중차단기
- ④ 배선용차단기
등록된 댓글이 없습니다.
17. 수은 증기압 10-2[㎜Hg]속에서 방전할 경우 발생하는 스펙트럼의 최대 에너지 파장[Å]은?
- ① 5791
- ② 4358
- ③ 3663
- ④ 2537
등록된 댓글이 없습니다.
18. 피뢰기의 주요 구성요소는 어떤 것인가?
- ① 특성요소와 콘덴서
- ② 특성요소와 직렬 캡
- ③ 소호리액터
- ④ 특성요소와 소호 리액터
등록된 댓글이 없습니다.
19. 전선 재료로서 구비조건이 잘못된 것은?
- ① 내식성이 작을 것
- ② 도전율이 클 것
- ③ 가요성이 풍부할 것
- ④ 인장강도가 클 것
등록된 댓글이 없습니다.
20. 다음 중 인버터(inverter)란 어떤 것인가?
- ① 직류를 더 높은 직류로 변환하는 장치
- ② 교류 전원을 낮은 교류 전원으로 변환하는 장치
- ③ 교류 전원을 직류 전원으로 변환하는 장치
- ④ 직류 전원을 교류 전원으로 변환하는 장치
등록된 댓글이 없습니다.
2과목 : 전력공학
21. 비등수형 원자로의 특색에 대한 설명이 틀린 것은?
- ① 열교환기가 필요하다.
- ② 기포에 의한 자기 제어성이 있다.
- ③ 순환펌프로서는 급수펌프뿐이므로 펌프동력이 작다.
- ④ 방사능 때문에 증기는 완전히 기수분리를 해야 한다.
등록된 댓글이 없습니다.
22. 전력용콘덴서를 변전소에 설치할 때 직렬리액터를 설치 코자 한다. 직렬리액터의 용량을 결정하는 식은? (단, fo는 전원의 기본주파수, C 는 역률개선용콘덴서의 용량, L 은 직렬리액터의 용량임)
- ①

- ②

- ③

- ④

등록된 댓글이 없습니다.
23. 중성점 직접 접지방식에 대한 설명으로 옳지 않은 것은?
- ① 1선 지락시 건전상의 전압은 거의 상승하지 않는다.
- ② 변압기의 단절연(段絶緣)이 가능하다.
- ③ 개폐 서지의 값을 저감시킬 수 있으므로 피뢰기의 책무를 경감시키고 그 효과를 증대시킬 수 있다.
- ④ 1선 지락전류가 적어 차단기가 처리해야 할 전류가 적다.
등록된 댓글이 없습니다.
24. 다음 중 전력원선도에서 알 수 없는 것은?
- ① 전력
- ② 역률
- ③ 손실
- ④ 코로나 손실
등록된 댓글이 없습니다.
25. 기력발전소에서 1톤의 석탄으로 발생할 수 있는 전력량은 약 몇 kWh 인가? (단, 석탄의 발열량은 5500kcal/kg이고 발전소 효율을 33%로 한다.)
- ① 1860
- ② 2110
- ③ 2580
- ④ 2840
등록된 댓글이 없습니다.
26. 가공 송전선로에서 이상전압의 내습에 대한 대책으로 틀린 것은?
- ① 철탑의 탑각 접지저항을 작게 한다.
- ② 기기 보호용으로서의 피뢰기를 설치한다.
- ③ 가공지선을 설치한다.
- ④ 차폐각을 크게 한다.
등록된 댓글이 없습니다.
27. 제3조파의 단락전류가 흘러서 일반적으로 사용되지 않는 변압기 결선방식은?
- ① △-Y
- ② Y-△
- ③ Y-Y
- ④ △-△
등록된 댓글이 없습니다.
28. 배전선의 전력손실 경감 대책이 아닌 것은?
- ① Feeder 수를 늘린다.
- ② 역률을 개선한다.
- ③ 배전 전압을 높인다.
- ④ Network 방식을 채택한다.
등록된 댓글이 없습니다.
29. 송전 전력, 부하 역률, 송전 거리, 전력 손실 및 선간 전압이 같을 경우 3상3선식에서 전선 한 가닥에 흐르는 전류는 단상 2선식에서 전선 한 가닥에 흐르는 경우의 몇 배가 되는가?
- ① 1/√3배
- ② 2/3배
- ③ 3/4 배
- ④ 4/9배
등록된 댓글이 없습니다.
30. 6.6kV 고압 배전선로(비접지 선로)에서 지락보호를 위하여 특별히 필요치 않은 것은?
- ① 과전류계전기(OCR)
- ② 선택접지계전기(SGR)
- ③ 영상변류기(ZCT)
- ④ 접지변압기(GPT)
등록된 댓글이 없습니다.
31. 유효낙차 100m, 최대사용수량 20m3/s인 발전소의 최대 출력은 약 몇 kW 인가? (단, 수차 및 발전기의 합성효율은 85% 라 한다.)
- ① 14160
- ② 16660
- ③ 24990
- ④ 33320
등록된 댓글이 없습니다.
32. 온도가 t[℃]상승했을 때의 이도는 약 몇 m 정도 되는가? (단, 온도 변화전의 이도를 D1[m], 경간을 S[m], 전선의 온도계수를 α라 한다.)
- ①

- ②

- ③

- ④

등록된 댓글이 없습니다.
33. 다음 설명 중 옳지 않은 것은?
- ① 저압뱅킹방식은 전압 동요를 경감할 수 있다.
- ② 밸런서는 단상2선식에 필요하다.
- ③ 수용률이란 최대수용전력을 설비용량으로 나눈 값을 퍼센트로 나타낸다.
- ④ 배전선로의 부하율이 F일 때 손실계수는 F와 F2의 사이의 값이다.
등록된 댓글이 없습니다.
34. 보호계전기의 한시 특성 중 정한시에 관한 설명을 바르게 표현한 것은?
- ① 입력 크기에 관계없이 정해진 시간에 동작한다.
- ② 입력이 커질수록 정비례하여 동작한다.
- ③ 입력 150%에서 0.2초 이내에 동작한다.
- ④ 입력 200%에서 0.04초 이내에 동작한다.
등록된 댓글이 없습니다.
35. 역률 개선용 콘덴서를 부하와 병렬로 연결하고자 한다. △결선방식과 Y결선방식을 비교하면 콘덴서의 정전용량 (단위: ㎌)의 크기는 어떠한가?
- ① △결선방식과 Y결선방식은 동일하다.
- ② Y결선방식이 △결선방식의 1/2용량이다.
- ③ △결선방식이 Y결선방식의 1/3용량이다.
- ④ Y결선방식이 △결선방식의 1/√3용량이다.
등록된 댓글이 없습니다.
36. 저압 배전선로의 플리커(fliker) 전압의 억제 대책으로 볼 수 없는 것은?
- ① 내부 임피던스가 작은 대용량의 변압기를 선정한다.
- ② 배전선은 굵은 선으로 한다.
- ③ 저압뱅킹방식 또는 네트워크방식으로 한다.
- ④ 배전선로에 누전차단기를 설치한다.
등록된 댓글이 없습니다.
37. 3상용 차단기의 정격 차단용량은?
- ① √3 ×정격전압×정격차단전류
- ② 3×정격전압×정격차단전류
- ③ √3 ×정격전압×정격전류
- ④ 3×정격전압×정격전류
등록된 댓글이 없습니다.
38. 차단기 절연유를 여과한 후 절연내력을 시험하였을 때 절연내력은 최소 몇 kV 이상이면 양호한 것으로 판단 하는가? (단, 절연유 시험기기는 구직경 12.5mm로 간격 2.5mm에서 내압시험을 하였을 경우이다.)
- ① 15
- ② 30
- ③ 50
- ④ 100
등록된 댓글이 없습니다.
39. 그림과 같이 4단자 정수가 A1, B1, C1, D1인 송전선로의 양단에 Z s , Z r 의 임피던스를 갖는 변압기가 연결된 경우의 합성 4단자정수 중 A 의 값은?

- ① A =C1
- ② A =B1+A1Zr
- ③ A =A1+C1Zs
- ④ A =D1+C1Zr
등록된 댓글이 없습니다.
40. 345kV 2회선 선로의 선로 길이가 220km 이다. 송전용량 계수법에 의하면 송전용량은 약 몇 MW 인가? (단, 345kV의 송전용량 계수는 1200 이다.)
- ① 525
- ② 650
- ③ 1050
- ④ 1300
등록된 댓글이 없습니다.
3과목 : 전기기기
41. 동기 발전기 2대로 병렬운전할 때 일치하지 않아도 되는 것은?
- ① 기전력의 크기
- ② 기전력의 위상
- ③ 부하 전류
- ④ 기전력의 주파수
등록된 댓글이 없습니다.
42. 직류 분권전동기의 단자 전압은 300[V], 정격 전기자전류 50[A], 전기자 저항은 0.05[Ω]이다. 기동전류를 정격전류의 1.5배로 억제하기 위한 기동저항 값[Ω]은?
- ① 3.95
- ② 4.95
- ③ 5.95
- ④ 6.95
등록된 댓글이 없습니다.
43. 동기 전동기에서 단자전압보다 진상이 되는 전류는 어떤 작용을 하는가?
- ① 증자작용
- ② 감자작용
- ③ 교차자화작용
- ④ 아무작용도 없다.
등록된 댓글이 없습니다.
44. 분권 전동기가 120[V] 전원에 접속되어 운전되고 있다. 부하시에는 50[A]가 흐르고 무부하로 하면 4[A]가 흐른다 분권 계자 회로의 저항은 40[Ω], 전기자 회로의 저항은 0.1[Ω]이다. 부하 운전시의 출력은 몇[KW]인가? (단, 브러시의 전압강하는 2[V] 이다.)
- ① 약 5.2
- ② 약 6.4
- ③ 약 7.1
- ④ 약 8.7
등록된 댓글이 없습니다.
45. 단상 유도 전압 조정기의 단락 권선의 역할은?
- ① 철손 경감
- ② 전압 강하 경감
- ③ 절연 보호
- ④ 전압 조정 용이
등록된 댓글이 없습니다.
46. 직류기의 권선을 단중파권으로 감으면?
- ① 내부 병렬회로수가 극수만큼 생긴다.
- ② 균압환을 연결해야 한다.
- ③ 저압 대전류용 권선이다.
- ④ 내부 병렬 회로수가 극수에 관계없이 언제나 2이다.
등록된 댓글이 없습니다.
47. 동기전동기에 설치한 제동권선의 역할에 해당되지 않는 것은?
- ① 난조방지
- ② 불평형 부하시의 전류와 전압 파형 개선
- ③ 송전선의 불평형 부하시 이상전압 방지
- ④ 단상 혹은 3상의 불평형 부하시 역상분에 의한 역회전의 전기자 반작용을 흡수하지 못함
등록된 댓글이 없습니다.
48. 손실중 변압기의 온도상승에 관계가 가장 적은 요소는?
- ① 철손
- ② 동손
- ③ 유전체손
- ④ 와류손
등록된 댓글이 없습니다.
49. 동기 발전기에서 코일 피치와 극간격의 비를 β 라 하고 상수를 m, 1극 1상당 슬롯수를 q라고 할 때 분포권 계수를 나타내는 식은?
- ①

- ②

- ③

- ④

등록된 댓글이 없습니다.
50. 직류 전동기의 속도 제어법이 아닌 것은?
- ① 계자 제어법
- ② 전력 제어법
- ③ 전압 제어법
- ④ 저항 제어법
등록된 댓글이 없습니다.
51. 병렬운전을 하고 있는 두대의 3상 동기발전기 사이에 무효순환 전류가 흐르는 경우는?
- ① 여자전류의 변화
- ② 원동기의 출력변화
- ③ 부하의 증가
- ④ 부하의 감소
등록된 댓글이 없습니다.
52. 정격 출력 P[KW], 역률 0.8, 효율 0.82로 운전되는 3상 유도 전동기에 2대를 V 결선으로 한 변압기로 전력을 공급할때 변압기 1대의 최소용량 [KVA]은?
- ①

- ②

- ③

- ④

등록된 댓글이 없습니다.
53. 3상 유도전동기가 있다. 슬립 S[%]일 때 2차 효율은?
- ① 1-S
- ② 2-S
- ③ 3-S
- ④ 4-S
등록된 댓글이 없습니다.
54. 변압기에 있어서 부하와는 관계 없이 자속만을 발생시키는 전류는?
- ① 1차 전류
- ② 자화 전류
- ③ 여자 전류
- ④ 철손 전류
등록된 댓글이 없습니다.
55. 사이리스터를 이용한 교류전압 제어 방식은?
- ① 위상제어방식
- ② 레오나드방식
- ③ 쵸퍼방식
- ④ TRC(Time Ratio Control)방식
등록된 댓글이 없습니다.
56. 유도 전동기의 회전력은?
- ① 단자 전압에 무관
- ② 단자 전압에 비례
- ③ 단자 전압의 1/2승에 비례
- ④ 단자 전압의 2승에 비례
등록된 댓글이 없습니다.
57. 3상에서 2상을 얻기 위한 변압기의 결선법은?
- ① T결선
- ② Y결선
- ③ V결선
- ④ △결선
등록된 댓글이 없습니다.
58. 직류전동기의 총도체수는 80, 단중중권이며, 극수 2, 자속수 3.14[Wb]이다. 부하를 걸어 전기자에 10[A]가 흐르고 있을 때, 발생 토크[㎏ · m]는?
- ① 38.6
- ② 40.8
- ③ 42.6
- ④ 44.8
등록된 댓글이 없습니다.
59. 3상 권선형 유도전동기의 전부하 슬립이 5[%], 2차1상의 저항 1[Ω]이다. 이 전동기의 기동토크를 전부하 토크와 같도록 하려면 외부에서 2차에 삽입할 저항[Ω]은?
- ① 20
- ② 19
- ③ 18
- ④ 17
등록된 댓글이 없습니다.
60. 브레시레스 DC 서보 모터의 특징이 아닌 것은?
- ① 고정자 전류와 계자가 항상 직교하고 있으므로 단위 전류당 발생 토크가 크고 역기전력에 의해 불필요한 에너지를 귀환하므로 효율이 좋다.
- ② 토크 맥동이 작고 전류 대 토크, 전압 대 속도의 비가 일정하므로 안정된 제어가 용이하다.
- ③ 기계적 시간 상수가 크고 응답이 빠르다.
- ④ 기계적 접점이 없고 신뢰성이 높으므로 보수가 불필요하다.
등록된 댓글이 없습니다.
4과목 : 회로이론 및 제어공학
61. 어떤 제어계에서 입력신호를 가한 다음 출력신호가 정상상태에 도달할 때까지의 응답은?
- ① 정상응답
- ② 선형응답
- ③ 과도응답
- ④ 시간응답
등록된 댓글이 없습니다.
62. z 변환함수 에 대응되는 라플라스 변환함수는? (단, T는 이상적인 샘플러의 샘플 주기이다.)
- ①

- ②

- ③

- ④

등록된 댓글이 없습니다.
63. 다음의 전달함수를 갖는 회로가 진상 보상회로의 특성을 가지려면 그 조건은 어떠한가?

- ① a>b
- ② a<b
- ③ a>1
- ④ b>1
등록된 댓글이 없습니다.
64. 그림과 같은 회로에서 ei를 입력, eo를 출력으로 할 경우 전달함수는?

- ①

- ②

- ③

- ④

등록된 댓글이 없습니다.
65. 그림과 같은 제어계에서 단위계단입력 D가 인가될 때 외란 D에 의한 정상편차는?

- ① 20
- ② 21
- ③ 1/20
- ④ 1/21
등록된 댓글이 없습니다.
66. 함수 f(t)=e-2tcos3t의 라플라스 변환은?
- ①

- ②

- ③

- ④

등록된 댓글이 없습니다.
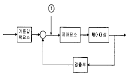
67. 다음 그림 중 림에 알맞는 신호 이름은?

- ① 기준입력
- ② 동작신호
- ③ 조작량
- ④ 제어량
등록된 댓글이 없습니다.
68. 그림과 같은 정현파 교류를 푸리에 급수로 전개할 때 직류분은?

- ① Im
- ②

- ③

- ④

등록된 댓글이 없습니다.
69. 분포정수 전송선로에 대한 서술에서 잘못된 것은?
- ① R/L=G/C인 선로를 무왜형로라 한다.
- ② R = G = 0인 선로를 무손실회로라 한다.
- ③ 무손실선로, 무왜형선로의 감쇠정수는 √RG 이다.
- ④ 무손실선로, 무왜형회로에서의 위상속도는 1/√CL이다.
등록된 댓글이 없습니다.
70. 무접점 릴레이의 장점이 아닌 것은?
- ① 동작속도가 빠르다.
- ② 온도의 변화에 강하다.
- ③ 고빈도 사용에 견디며 수명이 길다.
- ④ 소형이고 가볍다.
등록된 댓글이 없습니다.
71. 다음에서 Fe(t)는 우함수, Fo(t)는 기함수를 나타낸다. 주기함수 f(t)=Fe(t)+Fo(t)에 대한 다음의 서술중 바르지 못한 것은?
- ① Fe(t) Fe(-t
- ② Fo(t)=- Fo(-t)
- ③ Fe(t)=1/2[f(t)-f(-t)]
- ④ Fo(t)=1/2[f(t)-f(-t)]
등록된 댓글이 없습니다.
72. 3상 △부하에서 각 선전류를 Ia, Ib Ic 라 하면 전류의 영상분은?( 단, 회로 평형 상태임)
- ① ∞
- ② -1
- ③ 1
- ④ 0
등록된 댓글이 없습니다.
73. 구동점 임피던스(driving point impedance) Z(s)에 있어서 영점(zero)은?
- ① 전류가 흐르지 않는 상태이다
- ② 회로상태와 관련없다
- ③ 개방회로 상태를 나타낸다
- ④ 단락회로 상태를 나타낸다
등록된 댓글이 없습니다.
74. Δ 결선된 부하를 Y결선으로 바꾸면 소비전력은 어떻게 되는가? (단, 선간전압은 일정하다.)
- ① 3배
- ② 6배
- ③ 1/3배
- ④ 1/6배
등록된 댓글이 없습니다.
75. 어떤 회로에 e(t)=Emsin ωt[V]를 가했을 때, i(t)=Im (sinωt -1/√3sin 3ωt)[A]가 흘렀다고 한다. 이 회로의 역률은?
- ① 0.5
- ② 0.75
- ③ 0.87
- ④ 0.92
등록된 댓글이 없습니다.
76. 3개의 같은 저항 R[Ω ]를 그림과 같이 △결선하고, 기전력 V[V], 내부저항 r[Ω]인 전지를 n개 직렬 접속했다. 이 때 전지내를 흐르는 전류가 I[A]라면 R는 몇[Ω]인가?

- ①

- ②

- ③

- ④

등록된 댓글이 없습니다.
77. 다음의 상태선도에서 가관측성(observability)에 대해 설명한 것 중 옳은 것은?

- ① x1은 관측할 수 없다.
- ② x2은 관측할 수 없다.
- ③ x1, x2모두 관측할 수 없다.
- ④ 이 계통은 완전히 가관측에 있다.
등록된 댓글이 없습니다.
78. 다음의 설명 중 틀린 것은?
- ① 최소위상 함수는 양의 위상여유이면 안정하다.
- ② 최소위상 함수는 위상여유가 0이면 임계안정하다.
- ③ 최소위상 함수의 상대안정도는 위상각의 증가와 함께 작아진다.
- ④ 이득 교차 주파수는 진폭비가 1 이 되는 주파수이다.
등록된 댓글이 없습니다.
79. 특성방정식이 다음과 같이 주어지는 계가 있다. 이 계가 안정되기 위하여서는 K 와 T 사이의 관계는 어떻게 되는 가? (단, K와 T는 정의 실수다)

- ① (1+5KT)>K
- ② (5KT)>K
- ③ (1+5KT)<K
- ④ (5KT)<K
등록된 댓글이 없습니다.
80. 다음 회로의 정상상태에서 저항에서 소비되는 전력 [W]은? (단, R=50[Ω], L=50[H]이다)

- ① 50
- ② 100
- ③ 150
- ④ 200
등록된 댓글이 없습니다.
5과목 : 전기설비기술기준 및 판단기준
81. 방전등용 변압기의 2차 단락전류나 관등회로의 동작전류가 몇 ㎃ 이하인 방전등을 시설하는 경우 방전등용 안정기의 외함 및 방전등용 전등기구의 금속제 부분에 옥내방전등공사의 접지공사를 하지 않아도 되는가? (단, 방전등용 안정기를 외함에 넣고 또한 그 외함과 방전등용 안정기를 넣을 방전등용 전등기구를 전기적으로 접속하지 않도록 시설한다고 한다.)
- ① 25
- ② 50
- ③ 75
- ④ 100
등록된 댓글이 없습니다.
82. 호텔 또는 여관 각 객실의 입구 등에 조명용 백열전등을 시설할 때는 몇 분 이내에 소등되는 타임 스위치를 시설 하여야 하는가?
- ① 1
- ② 3
- ③ 5
- ④ 10
등록된 댓글이 없습니다.
83. 동일 지지물에 고·저압을 병가할 때 저압 가공전선은 어느 위치에 시설하여야 하는가?
- ① 고압 가공전선의 상부에 시설
- ② 동일 완금에 고압 가공전선과 평행되게 시설
- ③ 고압 가공전선의 하부에 시설
- ④ 고압 가공전선의 측면으로 평행되게 시설
등록된 댓글이 없습니다.
84. 사용전압이 35000V이하인 특별고압 가공전선이 건조물과 제2차 접근상태로 시설되는 경우, 특별고압 가공전선로의 보안공사는?
- ① 고압보안공사
- ② 제1종 특별고압보안공사
- ③ 제2종 특별고압보안공사
- ④ 제3종 특별고압보안공사
등록된 댓글이 없습니다.
85. 특별고압 가공전선이 도로 등과 교차하여 도로 상부측에 시설될 경우에 보호망도 같이 시설하려고 한다. 보호망 은 제 몇 종 접지공사로 하여야 하는가?
- ① 제1종 접지공사
- ② 제2종 접지공사
- ③ 제3종 접지공사
- ④ 특별제3종 접지공사
등록된 댓글이 없습니다.
86. 지중에 매설되어 있고 대지와의 전기저항치가 3Ω인 금속 제 수도관로를 접지공사의 접지극으로 사용할 때 접지선과 수도관로의 접속은 안지름 75mm 이상인 수도관의 경우에 몇 m 이내의 부분에서 하여야 하는가?
- ① 3
- ② 5
- ③ 8
- ④ 10
등록된 댓글이 없습니다.
87. 고·저압 혼촉시의 위험을 방지하기 위하여 혼촉방지판이 있는 변압기를 설치할 때 이 혼촉방지판에는 일반적으로 제 몇 종 접지공사를 하는가?
- ① 제1종
- ② 제2종
- ③ 제3종
- ④ 특별제3종
등록된 댓글이 없습니다.
88. 정격전류가 15A를 넘고 20A 이하인 배선용차단기로 보호되는 저압 옥내전로의 콘센트는 정격전류가 몇 A 이하인 것을 사용하여야 하는가?
- ① 15
- ② 20
- ③ 30
- ④ 50
등록된 댓글이 없습니다.
89. 400V가 넘는 저압 옥내배선의 사용 전선으로 단면적이 1mm2 이상의 케이블을 사용할 때 일반적인 경우, 어떤종류의 케이블을 사용하여야 하는가?
- ① 폴리에틸렌 절연 비닐 시이즈케이블
- ② 클로로프렌 외장 케이블
- ③ 미네럴 인슈레이션 케이블
- ④ 부틸고무 절연 폴리에틸렌 시이즈케이블
등록된 댓글이 없습니다.
90. 고압 및 특별고압 가공 전선로로부터 공급을 받는 수용 장소의 인입구에 반드시 시설하여야 하는 것은?
- ① 댐퍼
- ② 아킹혼
- ③ 조상기
- ④ 피뢰기
등록된 댓글이 없습니다.
91. "제2차 접근상태"를 바르게 설명한 것은?
- ① 가공 전선이 전선의 절단 또는 지지물의 도괴 등이 되는 경우에 당해 전선이 다른 시설물에 접속될 우려가 있는 상태를 말한다.
- ② 가공 전선이 다른 시설물과 접근하는 경우에 그 가공 전선이 다른 시설물의 위쪽 또는 옆쪽에서 수평거리로 3m미만인 곳에 시설되는 상태를 말한다.
- ③ 가공 전선이 다른 시설물과 접근하는 경우에 그 가공 전선이 다른 시설물의 위쪽 또는 옆쪽에서 수평거리로 3m이상에 시설되는 것을 말한다.
- ④ 가공 전선로 중 제1차 접근시설로 접근할 수 없는 시설로서 제2차 보호조치나 안전시설을 하여야 접근할수 있는 상태의 시설을 말한다.
등록된 댓글이 없습니다.
92. 특별고압 가공 전선로에 사용되는 B종 철주 중 각도형은 전선로 중 최소 몇 도를 넘는 수평각도를 이루는 곳에 사용되는가?
- ① 3
- ② 5
- ③ 8
- ④ 10
등록된 댓글이 없습니다.
93. 옥내에 시설하는 저압 전선으로 나전선을 사용할 수 있는 배선공사는?
- ① 합성수지관공사
- ② 금속관공사
- ③ 버스덕트공사
- ④ 플로어덕트공사
등록된 댓글이 없습니다.
94. 직류식 전기철도용 전차선로의 절연부분과 대지간의 절연 저항은 가공 직류 전차선인 경우, 사용전압에 대한 누설 전류가 연장 1km 마다 몇 mA 를 넘지 아니하도록 유지하여야 하는가? (단, 강체 조가식은 제외한다.)
- ① 1
- ② 3
- ③ 5
- ④ 10
등록된 댓글이 없습니다.
95. 설계하중 900kg인 철근콘크리트주의 길이가 16m라 한다. 이 지지물을 안전률을 고려하지 않고 시설하려고 하면, 땅에 묻히는 깊이는 몇 m 이상으로 하여야 하는가?
- ① 2. 0
- ② 2.3
- ③ 2.5
- ④ 2.8
등록된 댓글이 없습니다.
96. 사용 전압이 154kV인 가공 송전선의 시설에서 전선과 식물과의 이격거리는 몇 m 이상으로 하여야 하는가?
- ① 2.8
- ② 3.2
- ③ 3.6
- ④ 4.2
등록된 댓글이 없습니다.
97. 저·고압 가공 전선과 가공 약전류전선 등을 동일 지지물에 시설하는 경우로서 옳지 않은 방법은?
- ① 가공 전선을 가공 약전류전선 등의 위로하고 별개의 완금류에 시설할 것
- ② 전선로의 지지물로 사용하는 목주의 풍압하중에 대한 안전율은 1.5 이상일 것
- ③ 가공 전선과 가공 약전류전선 등 사이의 이격거리는 저압과 고압이 모두 75cm 이상일 것
- ④ 가공 전선이 가공 약전류전선에 대하여 유도작용에 의한 통신상의 장해를 줄 우려가 있는 경우에는 가공 전선을 적당한 거리에서 연가할 것
등록된 댓글이 없습니다.
98. 수력발전소의 발전기 내부에 고장이 발생하였을 때 자동적으로 전로로부터 차단하는 장치를 시설하여야 하는 발전기 용량은 몇 kVA 이상인 것인가?
- ① 3000
- ② 5000
- ③ 8000
- ④ 10000
등록된 댓글이 없습니다.
99. 옥내에 시설하는 저압 전선으로 나전선을 사용해서는 안되는 경우는?
- ① 금속덕트공사에 의한 전선
- ② 버스덕트공사에 의한 전선
- ③ 이동 기중기에 사용되는 접촉전선
- ④ 전개된 곳의 애자사용공사에 의한 전기로용 전선
등록된 댓글이 없습니다.
100. 사용전압이 100000V이상인 전력계통에 부속하는 전력보안 통신용 전화설비의 전화 회선 중 적어도 1회선에 하여야 하는 설비에 해당되는 것은?
- ① 무선통신보조설비
- ② 전화선에 전력용 케이블을 사용하는 전화설비
- ③ 전화선에 절연전선을 사용하는 전화설비
- ④ 특별고압 전선에 중첩하는 전력선 반송전화설비
등록된 댓글이 없습니다.