전기공사산업기사(2015. 5. 31.) 시험일자 : 2015년 5월 31일
1과목 : 전기응용
1. 광도의 단위는 무엇인가?
- ① 루멘[lm]
- ② 칸델라[cd]
- ③ 스틸브[sb]
- ④ 럭스[lx]
등록된 댓글이 없습니다.
2. 열 절연재료로 사용되지 않는 것은?
- ① 운모
- ② 석면
- ③ 탄화 실리콘
- ④ 자기
등록된 댓글이 없습니다.
3. 다음 중 형광체로 쓰이지 않는 것은?
- ① 텅스텐산 칼슘
- ② 규산 아연
- ③ 붕산 카드뮴
- ④ 황산 나트륨
등록된 댓글이 없습니다.
4. 2차 저항제어를 하는 권선형 유도 전동기의 속도 특성은?
- ① 가감 정속도 특성
- ② 가감 변속도 특성
- ③ 다단 변속도 특성
- ④ 다단 정속도 특성
등록된 댓글이 없습니다.
5. 황산용액에 양극으로 구리막대, 음극으로 은막대를 두고 전기를 통하면, 은막대는 구리색이 난다. 이를 무엇이라고 하는가?
- ① 전기 도금
- ② 이온화 현상
- ③ 전기 분해
- ④ 분극 작용
등록된 댓글이 없습니다.
6. 급전선의 급전 분기장치의 설치 방식이 아닌것은?
- ① 스팬선식
- ② 암식
- ③ 커티너리식
- ④ 브래킷식
등록된 댓글이 없습니다.
7. 방전개시 전압을 나타내는 것은?
- ① 빈의 변위 법칙
- ② 스테판-볼츠만의 법칙
- ③ 톰슨의 법칙
- ④ 파센의 법칙
등록된 댓글이 없습니다.
8. 전기 분해로 제조되는 것은 어느 것인가?
- ① 암모니아
- ② 카바이드
- ③ 알루미늄
- ④ 철
등록된 댓글이 없습니다.
9. 용접용 전원의 특성은 부하가 급히 증가할 때 전압은?
- ① 일정하다
- ② 급히 상승한다.
- ③ 급히 강하한다.
- ④ 서서히 상승한다.
등록된 댓글이 없습니다.
10. 권상하중 1000kg, 권상속도 5m/min의 기중기용 전동기 용량은 약 몇 kW인가? (단, 전동기를 포함한 기중기의 효율은 80%라 한다.)(오류 신고가 접수된 문제입니다. 반드시 정답과 해설을 확인하시기 바랍니다.)
- ① 7.5
- ② 8.3
- ③ 10.2
- ④ 14.3
ㅇㅇ2023. 9. 4. 06:37삭제
문제오류 권상하중 10000kg = 10ton 으로 수정좀요
ㄷㄷㄷ2022. 9. 16. 11:24삭제
1.02
ㅇㅇ2021. 3. 5. 09:19삭제
3
11. 다음 중 토크가 가장 적은 전동기는?
- ① 반발 기동형
- ② 콘덴서 기동형
- ③ 분상 기동형
- ④ 반발 유도형
등록된 댓글이 없습니다.
12. 다음 중 고압 아크로가 아닌 것은?
- ① 에르식 제강로
- ② 쉔흐르로
- ③ 파우링로
- ④ 비르게란드 아이데로
등록된 댓글이 없습니다.
13. 역방향 바이어스 전압에 따라 접합 정전용량이 가변되는 성질을 이용하는 다이오드는?
- ① 제너 다이오드
- ② 버렉터 다이오드
- ③ 터널 다이오드
- ④ 브리지 다이오드
등록된 댓글이 없습니다.
14. 공구, 기계부품, 전기기구 부품 등의 납땜 작업에 널리 사용되는 용접은?
- ① 유도 용접
- ② 심 용접
- ③ 프로젝션 용접
- ④ 점 용접
등록된 댓글이 없습니다.
15. 조절계의 조절요소에서 비례 미분에 관한 기호는?
- ① P
- ② PD
- ③ PI
- ④ PID
등록된 댓글이 없습니다.
16. 전동력 응용기술의 특성으로 틀린 것은?
- ① 동력 전달기구가 간단하고 효율적이다.
- ② 전동력의 집중, 분배가 쉽고 경제적이다.
- ③ 전원의 전압, 주파수 변동에 의한 영향이 없다.
- ④ 동력을 얻기가 쉽다 .
등록된 댓글이 없습니다.
17. 엘리베이터용 전동기에 대한 설명으로 틀린 것은?
- ① 기동토크가 큰 것이 요구된다.
- ② 플라이휠 효과(GD2)가 커야 한다.
- ③ 관성 모멘트가 작아야 한다.
- ④ 유도전동기도 엘리베이터에 사용된다.
등록된 댓글이 없습니다.
18. 눈부심을 일으키는 램프의 휘도 한계는 얼마인가?
- ① 0.5cd/cm2 이하
- ② 1.5cd/cm2 이하
- ③ 2.5cd/cm2 이하
- ④ 3cd/cm2 이하
등록된 댓글이 없습니다.
19. 200W 전구를 우유색 구형 글로브에 넣었을 경우 우유색 유리의 반사율 40%, 투과율은 50%라고 할 때 글로브의 효율은 약 몇 %인가?
- ① 23
- ② 43
- ③ 53
- ④ 83
등록된 댓글이 없습니다.
20. 평균 구면 광도가 90cd인 전구로부터의 총 발산 광속[lm]은?
- ① 1130
- ② 1230
- ③ 1330
- ④ 1440
등록된 댓글이 없습니다.
2과목 : 전력공학
21. 60Hz, 154kV, 길이 200km인 3상 송전선로에서 대지정전용량 Cs=0.008㎌/km, 선간 정전용량 Cm=0.0018㎌/km일 때, 1선에 흐르는 충전 전류는 약 몇 A인가?
- ① 68.9
- ② 78.9
- ③ 89.8
- ④ 97.6
등록된 댓글이 없습니다.
22. 440V 공공시설의 옥내 배선을 금속관 공사로 시설하고자 한다. 금속관에 어떤 접지공사를 해야 하는가?
- ① 제 1종 접지공사
- ② 제 2종 접지공사
- ③ 제 3종 접지공사
- ④ 특별 제 3종 접지공사
등록된 댓글이 없습니다.
23. 조상설비가 있는 1차 변전소에서 주변압기로 주로 사용되는 변압기는?
- ① 승압용 변압기
- ② 단권 변압기
- ③ 단상 변압기
- ④ 3권선 변압기
등록된 댓글이 없습니다.
24. 소수력 발전의 장점이 아닌 것은?
- ① 국내 부존자원 활용
- ② 일단 건설 후에는 운영비가 저렴
- ③ 전력생산 외에 농업용수 공급, 홍수 조절에 기여
- ④ 양수발전과 같이 첨두부하에 대한 기여도가 많음
등록된 댓글이 없습니다.
25. 아킹혼의 설치 목적은?
- ① 코로나손의 방지
- ② 이상전압 제한
- ③ 지지물의 보호
- ④ 섬락사고 시 애자의 보호
등록된 댓글이 없습니다.
26. 유효낙차 400m의 수력발전소에서 펠턴수차의 노즐에서 분출하는 물의 속도를 이론값의 0.95배로 한다면 물의 분출속도는 약 몇 m/s인가?
- ① 42.3
- ② 59.5
- ③ 62.6
- ④ 84.1
등록된 댓글이 없습니다.
27. 초고압 장거리 송전선로에 접속되는 1차 변전소에 병렬 리액터를 설치하는 목적은?
- ① 페란티 효과 방지
- ② 코로나 손실 경감
- ③ 전압강하 경감
- ④ 선로손실 경감
등록된 댓글이 없습니다.
28. SF6 가스 차단기의 설명으로 틀린 것은?
- ① 밀폐구조이므로 개폐시 소음이 적다.
- ② SF6가스는 절연내력이 공기보다 크다.
- ③ 근거리 고장 등 가혹한 재기 전압에 대해서 성능이 우수하다.
- ④ 아크에 의해 SF6 가스는 분해되어 유독가스를 발생시킨다.
등록된 댓글이 없습니다.
29. 송전선로에서 역섬락을 방지하려면?
- ① 가공지선을 설치한다.
- ② 피뢰기를 설치한다.
- ③ 탑각 접지저항을 적게 한다.
- ④ 소호각을 설치한다.
등록된 댓글이 없습니다.
30. 직류 송전방식이 교류 송전 방식에 비하여 유리한 점이 아닌 것은?
- ① 선로의 절연이 용이하다.
- ② 통신선에 대한 유도잡음이 적다.
- ③ 표피효과에 의한 송전손실이 적다.
- ④ 정류가 필요없고 승압 및 강압이 쉽다.
등록된 댓글이 없습니다.
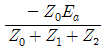
31. 그림과 같은 평형 3상 발전기가 있다. a상이 지락한 경우 지락전류는 어떻게 표현되는가? (단, Z0:영상 임피던스, Z1:정상 임피던스 Z2: 역상 임피던스이다.)

- ①

- ②

- ③

- ④

등록된 댓글이 없습니다.
32. 전력 계통의 안정도 향상 대책으로 볼 수 없는 것은?
- ① 직렬 콘덴서 설치
- ② 병렬 콘덴서 설치
- ③ 중간 개폐소 설치
- ④ 고속차단, 재폐로 방식 채용
등록된 댓글이 없습니다.
33. π형 회로의 일반회로 정수에서 B는 무엇을 의미하는가?
- ① 컨덕턴스
- ② 리액턴스
- ③ 임피던스
- ④ 어드미턴스
등록된 댓글이 없습니다.
34. 전원이 양단에 있는 방사상 송전선로에서 과전류 계전기와 조합하여 단락 보호에 사용하는 계전기는?
- ① 선택지락 계전기
- ② 방향단락 계전기
- ③ 과전압 계전기
- ④ 부족전류 계전기
등록된 댓글이 없습니다.
35. 송전단의 전력원 방정식이 Ps2+(Qs-300)2=250000인 전력계통에서 최대전송 가능한 유효전력은 얼마인가?
- ① 300
- ② 400
- ③ 500
- ④ 600
등록된 댓글이 없습니다.
36. 그림에서 X 부분에 흐르는 전류는 어떤 전류인가?

- ① b상 전류
- ② 정상 전류
- ③ 역상 전류
- ④ 영상 전류
등록된 댓글이 없습니다.
37. 변류기 개방 시 2차측을 단락하는 이유는?
- ① 2차측 절연 보호
- ② 2차측 과전류 보호
- ③ 측정오차 방지
- ④ 1차측 과전류 방지
등록된 댓글이 없습니다.
38. 그림과 같은 배전선이 있다. 부하에 급전 및 정전할 때 조작 방법으로 옳은 것은?

- ① 급전 및 정전할 때는 항상 DS, CB 순으로 한다.
- ② 급전 및 정전할 때는 항상 CB, DS 순으로 한다.
- ③ 급전시는 DS, CB 순이고, 정전시는 CB, DS 순이다.
- ④ 급전시는 CB, DS 순이고, 정전시는 DS, CB순이다.
등록된 댓글이 없습니다.
39. 피괴기가 방전을 개시할 때 단자전압의 순시값을 방전개시 전압이라 한다. 피뢰기 방전 중 단자 전압의 파고값을 무슨 전압이라고 하는가?
- ① 뇌전압
- ② 상용주파 교류전압
- ③ 제한전압
- ④ 충격 절연강도 전압
등록된 댓글이 없습니다.
40. 3상 1회선과 대지간의 충전전류가 1km당 0.25A 일 때 길이가 18km인 선로의 충전전류는 몇 A인가?
- ① 1.5
- ② 4.5
- ③ 13.5
- ④ 40.5
등록된 댓글이 없습니다.
3과목 : 전기기기
41. 직류 분권 전동기가 단자전압 215V, 전기자 전류 50A, 1500rpm으로 운전되고 있을 때 발생 토크는 약 몇 N • m인가? (단, 전기자 저항은 0.1Ω이다.)
- ① 6.8
- ② 33.2
- ③ 46.8
- ④ 66.9
등록된 댓글이 없습니다.
42. 어느 변압기의 1차 권수가 1500인 변압기의 2차측에 접속한 20Ω의 저항은 1차측으로 환산했을 때 8kΩ으로 되었다고 한다. 이 변압기의 2차 권수는?
- ① 400
- ② 250
- ③ 150
- ④ 75
등록된 댓글이 없습니다.
43. SCR의 특징이 아닌것은?
- ① 아크가 생기지 않으므로 열의 발생이 적다.
- ② 열용량이 적어 고온에 약하다.
- ③ 전류가 흐르고 있을때 양극의 전압강하가 작다.
- ④ 과전압에 강하다.
등록된 댓글이 없습니다.
44. 8극과 4극 2개의 유도 전동기를 종속법에 의한 직렬 종속법으로 속도제어를 할 때, 전원주파수가 60Hz인 경우 무부하 속도[rpm]는?
- ① 600
- ② 900
- ③ 1200
- ④ 1800
등록된 댓글이 없습니다.
45. 1차전압 6900V, 1차권선 3000회, 권수비 20의 변압기가 60Hz에 사용할 때 철심의 최대 자속[Wb]은?
- ① 0.76×10-4
- ② 8.63×10-3
- ③ 80×10-3
- ④ 90×10-3
등록된 댓글이 없습니다.
46. 동기 발전기의 병렬운전 시 동기화력은 부하각 δ와 어떠한 관계인가?
- ① tanδ에 비례
- ② cosδ에 비례
- ③ sinδ에 비례
- ④ cosδ에 반비례
등록된 댓글이 없습니다.
47. 30kW의 3상 유도전동기에 전력을 공급할 때 2대의 단상 변압기를 사용하는 경우 변압기의 용량[kVA]은? (단, 전동기의 역률과 효율은 각각 84%, 86%이고 전동기 손실은 무시한다.)
- ① 10
- ② 20
- ③ 24
- ④ 28
등록된 댓글이 없습니다.
48. 동기 주파수 변환기의 주파수 f1및 f2 계통에 접속되는 양 극을 P1, P2라 하면 다음 어떤 관계가 성립되는가?
- ①

- ②

- ③

- ④

등록된 댓글이 없습니다.
49. 유도 전동기 원선도에서 원의 지름은? (단, E는 1차전압, r은 1차로 환산한 저항, x는 1차로 환산한 누설리액턴스라 한다.)
- ① rE에 비례
- ② r×E에 비례
- ③ 에 비례

- ④ 에 비례

등록된 댓글이 없습니다.
50. 유도 전동기의 2차 동손을 Pc, 2차 입력을 P2, 슬립을 s라 할 때, 이들 사이의 관계는?
- ①

- ②

- ③ s=P2•Pc
- ④ s=P2+Pc
등록된 댓글이 없습니다.
51. 슬롯수 36의 고정자 철심이 있다. 여기에 3상 4극의 2층권을 시행할 때, 매극 매상의 슬롯수와 총 코일수는?
- ① 3과 18
- ② 9와 36
- ③ 3과 36
- ④ 9와 18
등록된 댓글이 없습니다.
52. 입력 전압이 220V일 때, 3상 전파제어 정류회로에서 얻을 수 있는 직류 전압은 몇 V인가? (단, 최대 전압은 점호각 α=0일 때이고, 3상에서 선간전압으로 본다.)
- ① 152
- ② 198
- ③ 297
- ④ 317
등록된 댓글이 없습니다.
53. 직류 전동기의 회전수를 1/2로 줄이려면, 계자 자속을 몇 배로 하여야 하는가? (단, 전압과 전류등은 일정하다.)
- ① 1
- ② 2
- ③ 3
- ④ 4
등록된 댓글이 없습니다.
54. 전부하로 운전하고 있는 60Hz, 4극 권선형 유도 전동기의 전부하 속도는 1728rpm, 2차 1상의 저항은 0.02Ω이다. 2차 회로의 저항을 3배로 할 때의 회전수[rpm]는?
- ① 1264
- ② 1356
- ③ 1584
- ④ 1765
등록된 댓글이 없습니다.
55. 단상 변압기 3대를 이용하여 3상 △-△결선을 했을 때, 1차와 2차 전압의 각변위(위상차)는?
- ① 30°
- ② 60°
- ③ 120°
- ④ 180°
등록된 댓글이 없습니다.
56. 변압기의 임피던스 전압이란?
- ① 정격 전류 시 2차측 단자전압이다.
- ② 변압기의 1차를 단락, 1차에 1차 정격전류와 같은 전류를 흐르게 하는데 필요한 1차 전압이다.
- ③ 변압기 내부 임피던스와 정격전류와의 곱인 내부 전압강하이다.
- ④ 변압기 2차를 단락, 2차에 2차 정격전류와 같은 전류를 흐르게 하는데 필요한 2차 전압이다.
등록된 댓글이 없습니다.
57. 3상 유도 전동기를 급속하게 정지시킬 경우에 사용되는 제동법은?
- ① 발전 제동법
- ② 회생 제동법
- ③ 마찰 제동법
- ④ 역상 제동법
등록된 댓글이 없습니다.
58. 동기 전동기의 진상전류에 의한 전기자 반작용은 어떤 작용을 하는가?
- ① 횡축 반작용
- ② 교차 자화작용
- ③ 증자 작용
- ④ 감자 작용
등록된 댓글이 없습니다.
59. 3상 권선형 유도전동기의 2차 회로의 한상이 단선된 경우에 부하가 약간 커지면 슬립이 50%인 곳에서 운전이 되는 것을 무엇이라 하는가?
- ① 차동기 운전
- ② 자기여자
- ③ 게르게스 현상
- ④ 난조
등록된 댓글이 없습니다.
60. 2상 서보모터의 제어방식이 아닌 것은?
- ① 온도제어
- ② 전압제어
- ③ 위상제어
- ④ 전압·위상 혼합 제어
등록된 댓글이 없습니다.
4과목 : 회로이론
61. 의 라플라스 변환 X(s)의 값은? (단, x=0이다.)
- ① s+1
- ② s(s+1)
- ③

- ④

등록된 댓글이 없습니다.
62. 4단자 회로에서 4단자 정수를 A, B, C, D라 할때 전달정수 θ는 어떻게 되는가?ㅌㅋㅋㅌ
- ①

- ②

- ③

- ④

등록된 댓글이 없습니다.
63. 다음 회로에서 10Ω의 저항에 흐르는 전류는 몇 A인가?

- ① 1
- ② 2
- ③ 4
- ④ 5
등록된 댓글이 없습니다.
64. 3상 회로에 △결선된 평형 순저항 부하를 사용하는 경우 선간전압 220V, 상전류가 7.33A라면 1상의 부하저항은 약 몇 Ω인가?
- ① 80
- ② 60
- ③ 45
- ④ 30
등록된 댓글이 없습니다.
65. 그림과 같은 순저항으로 된 회로에 대칭 3상 전압을 가했을 때, 각 선에 흐르는 전류가 같으려면 R[Ω]의 값은?

- ① 20
- ② 25
- ③ 30
- ④ 35
등록된 댓글이 없습니다.
66. 다음 용어에 대한 설명으로 옳은 것은?
- ① 능동소자는 나머지 회로에 에너지를 공급하는 소자이며, 그 값은 양과 음의 값을 갖는다.
- ② 종속전원은 회로 내의 다른 변수에 종속되어 전압 또는 전류를 공급하는 전원이다.
- ③ 선형소자는 중첩의 원리와 비례의 법칙을 만족할 수 있는 다이오드 등을 말한다.
- ④ 개방회로는 두 단자 사이에 흐르는 전류가 양 단자에 전압과 관계없이 무한대 값을 갖는다.
등록된 댓글이 없습니다.
67. 그림과 같은 회로에서 입력을 V1(s), 출력을 V2(s)라 할 때, 전압비 전달함수는?

- ①

- ②

- ③

- ④

등록된 댓글이 없습니다.
68. 어떤 코일에 흐르는 전류를 0.5ms 동안에 5A만큼 변화시킬 때 20V의 전압이 발생한다. 이 코일의 자기 인덕턴스[mH]는?
- ① 2
- ② 4
- ③ 6
- ④ 8
등록된 댓글이 없습니다.
69. 반파대칭 및 정현대칭인 왜형파의 푸리에 급수의 전개에서 옳게 표현된 것은? (단, )
- ① an의 우수항만 존재한다.
- ② an의 기수항만 존재한다.
- ③ bn의 우수항만 존재한다.
- ④ bn의 기수항만 존재한다.
등록된 댓글이 없습니다.
70. 어떤 소자가 60Hz에서 리액턴스 값이 10Ω이었다. 이 소자를 인덕터 또는 커패시터라 할때, 인덕턴스[mH]와 정전용량 [㎌]은 각각 얼마인가?
- ① 26.53 mH, 295.37 ㎌
- ② 18.37 mH, 265.25 ㎌
- ③ 18.37 mH, 295.37 ㎌
- ④ 26.53 mH, 265.25 ㎌
등록된 댓글이 없습니다.
71. 다음과 같은 π형 회로의 4단자 정수 중 D의 값은?

- ① Z2
- ②

- ③

- ④

등록된 댓글이 없습니다.
72. 전기량(전하)의 단위로 알맞은 것은?
- ① C
- ② mA
- ③ nW
- ④ ㎌
등록된 댓글이 없습니다.
73. 저항 60Ω과 유도리액턴스 wL=80Ω인 코일이 직렬로 연결된 회로에 200V의 전압을 인가할 때 전압과 전류의 위상차는?
- ① 48.17°
- ② 50.23°
- ③ 53.13°
- ④ 55.27°
등록된 댓글이 없습니다.
74. 다음 회로에서 t=0일 때 스위치 K를 닫았다. i1(0+), i2(0+)의 값은? (단, t<0에서 C전압과 L전압은 각각 0V이다.)

- ①

- ②

- ③ 0, 0
- ④

등록된 댓글이 없습니다.
75. 그림과 같이 저항 R=3Ω과 용량리액턴스 인 콘덴서가 병렬로 연결된 회로에 100V의 교류 전압을 인가할 때, 합성 임피던스Z[Ω]는?

- ① 1.2
- ② 1.8
- ③ 2.2
- ④ 2.4
등록된 댓글이 없습니다.
76. 전달함수 을 갖는 요소가 있다. 이 요소에 w=2[rad/sec]인 정현파를 주었을 때 |G(jw)|를 구하면?
- ① 8
- ② 6
- ③ 4
- ④ 2
등록된 댓글이 없습니다.
77. 시정수 τ를 갖는 직렬회로에 직류 전압을 가할 때 t=2τ되는 시간에 회로에 흐르는 전류는 최종값의 약 몇%인가?
- ① 98
- ② 95
- ③ 86
- ④ 63
등록된 댓글이 없습니다.
78. 3상 4선식에서 중성선이 필요하지 않아서 중성선을 제거하여 3상 3선식으로 하려고 한다. 이때 중성선의 조건식은 어떻게 되는가? (단, Ia, Ib, Ic는 각상의 전류이다.)
- ① Ia+Ib+Ic=1
- ②

- ③ Ia+Ib+Ic=3
- ④ Ia+Ib+Ic=0
등록된 댓글이 없습니다.
79. 에서 모든 초기값을 0으로 하고 라플라스 변환 할 때 I(s)는? (단, I(s), Ei(s)는 i(t), ei(t)의 라플라스 변환이다.)
- ①

- ②

- ③

- ④

등록된 댓글이 없습니다.
80. 대칭 3상 Y결선 부하에서 각 상의 임피던스가 16+j12Ω이고 부하전류가 10A일 때, 이 부하의 선간전압은 약 몇 V인가?
- ① 152.6
- ② 229.1
- ③ 346.4
- ④ 445.1
등록된 댓글이 없습니다.
5과목 : 전기설비
81. 변압기로서 특고압과 결합되는 고압전로의 혼촉에 의한 위험방지 시설은?
- ① 프아이머리 컷아웃 스위치
- ② 제 2종 접지공사
- ③ 휴즈
- ④ 사용 전압의 3배의 전압에서 방전하는 방전장치
등록된 댓글이 없습니다.
82. 특고압 가공전선로에서 양측의 경간의 차가 큰 곳에 사용하는 철탑의 종류는?
- ① 내장형
- ② 직선형
- ③ 인류형
- ④ 보강형
등록된 댓글이 없습니다.
83. 발전기, 변압기, 조상기, 모선 또는 이를 지지하는 애자는 단락전류에 의하여 생기는 어느 충격에 견디어야 하는가?
- ① 기계적 충격
- ② 철손에 의한 충격
- ③ 동손에 의한 충격
- ④ 표류부하손에 의한 충격
등록된 댓글이 없습니다.
84. 옥내에 시설하는 저압 전선으로 나전선을 사용할 수 있는 배선공사는?
- ① 합성수지관 공사
- ② 금속관 공사
- ③ 버스덕트 공사
- ④ 플로어 덕트 공사
등록된 댓글이 없습니다.
85. 금속제 수도관로 또는 철골, 기타의 금속제를 접지극으로 사용한 제1종 또는 제2종 접지공사의 접지선 시설방법은 어느 것에 준하여 시설하여야 하는가?
- ① 애자 사용 공사
- ② 금속 몰드 공사
- ③ 금속관 공사
- ④ 케이블 공사
등록된 댓글이 없습니다.
86. 22kV 전선로의 절연내력 시험은 전로와 대지간에 시험전압을 연속하여 몇 분간 가하여 시험하게 되는가?
- ① 2
- ② 4
- ③ 8
- ④ 10
등록된 댓글이 없습니다.
87. 저압 옥내배선을 케이블트레이 공사로 시설하려고 한다. 틀린 것은?
- ① 저압 케이블과 고압 케이블은 동일 케이블 트레이 내에 시설하여서는 안된다.
- ② 케이블 트레이 내에서는 전선을 접속하여서는 안된다.
- ③ 수평으로 포설하는 케이블 이외의 케이블은 케이블 트레이 의 가로대에 견고하게 고정시킨다.
- ④ 절연금속을 금속관에 넣으면 케이블트레이 공사에 사용할 수 있다.
등록된 댓글이 없습니다.
88. 건조한 장소에 시설하는 애자사용 공사로서 사용전압이 440V인 경우 전선과 조영재와의 이격거리는 최소 몇 cm 이상이어야 하는가?
- ① 2.5
- ② 3.5
- ③ 4.5
- ④ 5.5
등록된 댓글이 없습니다.
89. 가공전선로의 지지물에 지선을 시설할 때 옳은 방법은?
- ① 지선의 안전율을 2.0으로 하였다.
- ② 소선은 최소 2가닥 이상의 연선을 사용하였다.
- ③ 지중의 부분 및 지표상 20cm까지의 부분은 아연도금 철봉 등 내부식성 재료를 사용하였다.
- ④ 도로를 횡단하는 곳의 지선의 높이는 지표상 5m로 하였다.
등록된 댓글이 없습니다.
90. 교통신호등의 시설공사를 다음과 같이 하였을 때 틀린 것은?
- ① 전선은 450/750V 일반용 단심 비닐 절연전선을 사용하였다.
- ② 신호등의 인하선은 지표상 2.5m로 하였다.
- ③ 사용전압을 300V 이하로 하였다.
- ④ 제어장치의 금속제 외함은 특별 제 3종 접지공사를 하였다.
등록된 댓글이 없습니다.
91. 전로의 절연 원칙에 따라 반드시 절연하여야 하는 것은?
- ① 수용장소의 인입구 접지점
- ② 고압과 특별고압 및 저압과의 혼촉 위험 방지를 한 경우의 접지점
- ③ 저압 가공전선로의 접지측 전선
- ④ 시험용 변압기
등록된 댓글이 없습니다.
92. 발전기의 용량에 관계없이 자동적으로 이를 전로로부터 차단하는 장치를 시설하여야 하는 경우는?
- ① 과전류 인입
- ② 베어링 과열
- ③ 발전기 내부고장
- ④ 유압의 과팽창
등록된 댓글이 없습니다.
93. 방직공장의 구내 도로에 220V 조명등용 가공 전선로를 시설하고자 한다. 전선로의 경간은 몇 m 이하이어야 하는가?
- ① 20
- ② 30
- ③ 40
- ④ 50
등록된 댓글이 없습니다.
94. 옥외 백열전등의 인하선으로 공칭단면적 2.5mm2 이상의 연동선과 동등 이상의 세기 및 굵기의 절연전선을 사용해야 하는 지표상의 높이는 몇 m 미만인가?
- ① 2.5
- ② 3
- ③ 3.5
- ④ 4
등록된 댓글이 없습니다.
95. 345kV 가공 송전선로를 제1종 특고압 보안 공사에 의할 때 사용되는 경동연선의 굵기는 몇 mm2이상이어야 하는가?
- ① 150
- ② 200
- ③ 250
- ④ 300
등록된 댓글이 없습니다.
96. 금속관 공사에 의한 저압옥내배선 시설 방법으로 틀린것은?
- ① 전선은 절연전선일 것
- ② 전선은 연선일 것
- ③ 관의 두께는 콘크리트에 매설시 1.2mm 이상일 것
- ④ 사용전압이 400V 이상인 관에는 제 3종 접지공사를 할 것
등록된 댓글이 없습니다.
97. 한 수용장소의 인입선에서 분기하여 지지물을 거치지 않고 다른 수용장소의 인입구에 이르는 부분의 전선을 무엇이라 하는가?
- ① 가공 인입선
- ② 인입선
- ③ 연접 인입선
- ④ 옥측배선
등록된 댓글이 없습니다.
98. 중량물이 통과하는 장소에 비닐외장 케이블을 직접 매설식으로 시설하는 경우 매설 깊이는 몇 m 이상이어야 하는가?
- ① 0.8
- ② 1.0
- ③ 1.2
- ④ 1.5
등록된 댓글이 없습니다.
99. 특고압 가공전선이 다른 특고압 가공전선과 교차하여 시설하는 경우는 제 몇 종 특고압 보안 공사에 의하여야 하는가?
- ① 1종
- ② 2종
- ③ 3종
- ④ 4종
등록된 댓글이 없습니다.
100. 특고압 전로와 저압 전로를 결합하는 변압기 저압측의 중성점에 제 2종 접지공사를 토지의 상황 때문에 변압기의 시설장소마다 하기 어려워서 가공 접지선을 시설하려고 한다. 이 때 가공 접지선으로 경동선을 사용한다면 그 최소 굵기는 몇 mm인가?
- ① 3.2
- ② 4
- ③ 4.5
- ④ 5
등록된 댓글이 없습니다.