전기기능사(2007. 9. 16.) 시험일자 : 2007년 9월 16일
1과목 : 전기 이론
1. 다음 중 자기 차폐와 가장 관계가 깊은 것은?
- ① 상 자성체
- ② 강 자성체
- ③ 반 자성체
- ④ 비 투자율이 1인 자성체
등록된 댓글이 없습니다.
2. 4[Ω], 6[Ω], 8[Ω]의 3개 저항을 병렬 접속할 때 합성저항은 약 몇 [Ω]인가?
- ① 1.8
- ② 2.5
- ③ 3.6
- ④ 4.5
등록된 댓글이 없습니다.
3. 전류에 의한 자기장의 방향을 결정하는 법칙은?
- ① 앙페르의 오른나사법칙
- ② 플레밍의 오른손법칙
- ③ 플레밍의 왼손법칙
- ④ 렌쯔의 법칙
등록된 댓글이 없습니다.
4. 구리선의 길이를 2배, 반지름을 1/2로 할 때 저항은 몇 배가 되는가?
- ① 2
- ② 4
- ③ 6
- ④ 8
등록된 댓글이 없습니다.
5. L[H], C[F]를 병렬로 결선하고 전압[V]를 가할 때 전류가 0이 되려면 주파수 f는 몇 [Hz] 이어야 하는가?
- ①

- ②

- ③

- ④

등록된 댓글이 없습니다.
6. 2[C]의 전기량이 두 점 사이를 이동하여 48[J]의 일을 하였다면 이 두 점 사이의 전위차는 몇 [V]인가?
- ① 12
- ② 24
- ③ 48
- ④ 64
등록된 댓글이 없습니다.
7. 강자성체의 투자율에 대한 설명이다. 옳은 것은?
- ① 투자율은 매질의 두께에 비례한다.
- ② 투자율은 자화력에 따라서 크기가 달라진다.
- ③ 투자율이 큰 것은 자속이 통하기 어렵다.
- ④ 투자율은 자속 밀도에 반비례한다.
등록된 댓글이 없습니다.
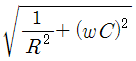
8. 그림과 같은 회로에서 R-C 임피던스는?

- ①

- ②

- ③

- ④

등록된 댓글이 없습니다.
9. 다음은 연 축전지에 대한 설명이다. 옳지 않은 것은?
- ① 전해액은 황산을 물에 섞어서 비중을 1.2~1.3 정도로 하여 사용한다.
- ② 충전시 양극은 PbO로 되고 음극은 PbSO4로 된다.
- ③ 방전전압의 한계는 1.8[V]로 하고 있다.
- ④ 용량은 방전전류 × 방전시간으로 표시하고 있다.
등록된 댓글이 없습니다.
10. 4[Wh]는 몇 [J]인가?
- ① 3600
- ② 4200
- ③ 7200
- ④ 14400
등록된 댓글이 없습니다.
11. R=5[Ω], L=2[H]인 직렬 회로의 시상수는 몇 [sec]인가?
- ① 0.1
- ② 0.2
- ③ 0.3
- ④ 0.4
등록된 댓글이 없습니다.
12. 평형 3상 교류 회로에서 △ 결선 할 때 선전류 Iι과 상전류 Ip와의 관계 중 옳은 것은?
- ① Iι = 3Ip
- ② Iι = 2Ip
- ③ Iι = √3·Ip
- ④ Iι = Ip
등록된 댓글이 없습니다.
13. 다음 중 전자력 작용을 응용한 대표적인 것은?
- ① 전동기
- ② 전열기
- ③ 축전기
- ④ 전등
등록된 댓글이 없습니다.
14. R=10[KΩ], C=5[μF]의 직렬 회로에 110[V]의 직류전압을 인가했을 때 시상수 {τ}는?
- ① 5[ms]
- ② 50[ms]
- ③ 1[sec]
- ④ 2[sec]
등록된 댓글이 없습니다.
15. 최대값 10A인 교류 전류의 평균값은 약 몇 [A]인가?
- ① 0.2
- ② 0.5
- ③ 3.14
- ④ 6.37
등록된 댓글이 없습니다.
16. 두 콘덴서 C1, C2를 직렬접속하고 양단에 V[V]의 전압을 가할 때 C1에 걸리는 전압은?
- ①

- ②

- ③

- ④

등록된 댓글이 없습니다.
17. 전압 1.5[V], 내부저항 0.2[Ω]의 전지 5개를 직렬로 접속하면 전 전압은 몇 [V]인가?
- ① 0.2
- ② 1.0
- ③ 5.7
- ④ 7.5
등록된 댓글이 없습니다.
18. 100[μF]의 콘덴서에 1000[V]의 전압을 가하여 충전한 뒤 저항을 통하여 방전시키면 저항에 발생하는 열량은 몇 [kcal]인가?(오류 신고가 접수된 문제입니다. 반드시 정답과 해설을 확인하시기 바랍니다.)
- ① 3
- ② 5
- ③ 12
- ④ 43
등록된 댓글이 없습니다.
19. 히스테리시스손은 최대 자속 밀도의 몇 승에 비례하는가?
- ① 1.1
- ② 1.6
- ③ 2.6
- ④ 3.2
등록된 댓글이 없습니다.
20. 감은 횟수 200회의 코일 P와 300회의 코일 S를 가까이 놓고 P에 1[A]의 전류를 흘릴 때 S와 쇄교하는 자속이 4×10-4 [wb]이었다면 이들 코일 사이의 상호 인덕턴스는?
- ① 0.12[H]
- ② 0.12[mH]
- ③ 1.2×10⁻4[H]
- ④ 1.2×10⁻4[mH]
등록된 댓글이 없습니다.
2과목 : 전기 기기
21. 부흐홀쯔 계전기의 설치 위치로 가장 적당한 것은?
- ① 변압기 주 탱크 내부
- ② 콘서베이터 내부
- ③ 변압기 고압측 부싱
- ④ 변압기 주 탱크와 콘서베이터 사이
등록된 댓글이 없습니다.
22. 동기기의 자기여자 현상의 방지법이 아닌 것은?
- ① 단락비 증대
- ② 리액턴스 접속
- ③ 발전기 직렬연결
- ④ 변압기 접속
등록된 댓글이 없습니다.
23. 4극 60[Hz], 슬립 5[%]인 유도 전동기의 회전수는 몇 [rpm]인가?
- ① 1836
- ② 1710
- ③ 1540
- ④ 1200
등록된 댓글이 없습니다.
24. 전기자 저항 0.1[Ω], 전기자 전류 104[A], 유도 기전력 110.4[V]인 직류 분권 발전기의 단자 전압은 몇 [V]인가?
- ① 98
- ② 100
- ③ 102
- ④ 105
등록된 댓글이 없습니다.
25. 효율 80[%], 출력 10[Kw] 일 때 입력은 몇 [Kw]인가?
- ① 7.5
- ② 10
- ③ 12.5
- ④ 20
등록된 댓글이 없습니다.
26. 동기발전기의 권선을 분포권으로 하면 어떻게 되는가?
- ① 권선의 리액턴스가 커진다.
- ② 파형이 좋아진다.
- ③ 난조를 방지한다.
- ④ 집중권에 비하여 합성유도 기전력이 높아진다.
등록된 댓글이 없습니다.
27. 일정 전압 및 일정 파형에서 주파수가 상승하면 변압기 철손은 어떻게 변하는가?
- ① 증가한다.
- ② 감소한다.
- ③ 불변이다.
- ④ 어떤 기간 동안 증가한다.
등록된 댓글이 없습니다.
28. 직류기에서 보극을 두는 가장 주된 목적은?
- ① 기동 특성을 좋게 한다.
- ② 전기자 반작용을 크게 한다.
- ③ 정류 작용을 돕고 전기자 반작용을 약화시킨다.
- ④ 전기자 자속을 증가 시킨다.
등록된 댓글이 없습니다.
29. 그림의 기호는?

- ① SCR
- ② TRIAC
- ③ IGBT
- ④ GTO
등록된 댓글이 없습니다.
30. 1차 권수 3000, 2차 권수 100인 변압기에서 이 변압기의 전압비는 얼마인가?
- ① 20
- ② 30
- ③ 40
- ④ 50
등록된 댓글이 없습니다.
31. 변압기유가 구비해야 할 조건은?
- ① 절연 내력이 클 것
- ② 인화점이 낮을 것
- ③ 응고점이 높을 것
- ④ 비열이 작을 것
등록된 댓글이 없습니다.
32. 반도체 사이리스터에 의한 전동기와 속도 제어 중 주파수 제어는?
- ① 초퍼제어
- ② 인버터제어
- ③ 컨버터제어
- ④ 브리지 정류제어
등록된 댓글이 없습니다.
33. 3상 유도 전동기의 회전 방향을 바꾸기 위한 방법으로 가장 옳은 것은?
- ① △-Y 결선
- ② 전원의 주파수를 바꾼다.
- ③ 전동기에 가해지는 3개의 단자 중 어느 2개의 단자를 서로 바꾸어 준다.
- ④ 기동보상기를 사용한다.
등록된 댓글이 없습니다.
34. 전압제어에 의한 속도 제어가 아닌 것은?
- ① 정지형 레너드식
- ② 일그너식
- ③ 직병렬 제어
- ④ 회생제어
등록된 댓글이 없습니다.
35. 동기 발전기의 돌발 단락 전류를 주로 제한하는 것은?
- ① 권선 저항
- ② 동기 리액턴스
- ③ 누설 리액턴스
- ④ 역상 리액턴스
등록된 댓글이 없습니다.
36. 6극 전기자 도체수 400, 매극 자속수 0.01[wb], 회전수 600[rpm]인 파권 직류기의 유기 기전력은 몇 [V]인가?
- ① 120
- ② 140
- ③ 160
- ④ 180
등록된 댓글이 없습니다.
37. 다음 중 옥내에 시설하는 저압 전로와 대지 사이의 절연 저항 측정에 사용되는 계기는?
- ① 코올라시브리지
- ② 메거
- ③ 어스테스터
- ④ 마그넷벨
등록된 댓글이 없습니다.
38. 단락비가 1.2인 동기발전기의 %동기 임피던스는 약 몇 [%]인가?
- ① 68
- ② 83
- ③ 100
- ④ 120
등록된 댓글이 없습니다.
39. 2극 3600[rpm]인 동기발전기와 병렬 운전하려는 12극 발전기의 회전수는 몇 [rpm]인가?
- ① 600
- ② 1200
- ③ 1800
- ④ 3600
등록된 댓글이 없습니다.
40. 다음 중 역률이 가장 좋은 단상 유도 전동기는?
- ① 세이딩 코일형
- ② 분상형 전동기
- ③ 반발형 전동기
- ④ 콘덴서형 전동기
등록된 댓글이 없습니다.
3과목 : 전기 설비
41. 분권 발전기는 잔류 자속에 의해서 잔류 전압을 만들고 이 때 여자 전류가 잔류 자속을 증가시키는 방향으로 흐르면, 여자 전류가 점차 증가하면서 단자 전압이 상승하게 된다. 이 현상을 무엇이라 하는가?
- ① 자기포화
- ② 여자 조절
- ③ 보상 전압
- ④ 전압 확립
등록된 댓글이 없습니다.
42. 작업 면에서 천장까지의 높이가 3[m] 일 때 조명인 경우의 광원의 높이는 몇 [m]인가?
- ① 1
- ② 2
- ③ 3
- ④ 4
등록된 댓글이 없습니다.
43. 금속관 공사에서 관을 박스 내에 고정 시킬 때 사용하는 것은?
- ① 부싱
- ② 로크너트
- ③ 새들
- ④ 커플링
등록된 댓글이 없습니다.
44. 전선로의 종류가 아닌 것은?
- ① 옥측 전선로
- ② 지중 전선로
- ③ 가공 전선로
- ④ 산간 전선로
등록된 댓글이 없습니다.
45. 셀룰로이드, 성냥, 석유류 등 기타 가연성 위험물질을 제조 또는 저장하는 장소에 시설해서는 안 되는 배선은?
- ① 애자사용배선
- ② 케이블배선
- ③ 합성수지관배선
- ④ 금속관배선
등록된 댓글이 없습니다.
46. 홀더용 1종 케이블의 약호는?
- ① WCT
- ② WNCT
- ③ WRCT
- ④ WRNCT
등록된 댓글이 없습니다.
47. 다음 중 단선의 브리타니아 직선 접속에 사용되는 것은?
- ① 조인트선
- ② 파라핀선
- ③ 바인드선
- ④ 에나멜선
등록된 댓글이 없습니다.
48. 배전반 및 분전반의 설치장소로 적합하지 못한 것은?
- ① 전기회로를 쉽게 조작할 수 있는 장소
- ② 개폐기를 쉽게 조작할 수 있는 장소
- ③ 안정된 장소
- ④ 은폐된 장소
등록된 댓글이 없습니다.
49. 다음 중 나전선 상호간 또는 나전선과 절연전선 접속시 접속부분의 전선의 세기는 일반적으로 어느 정도 유지해야 하는가?
- ① 80[%] 이상
- ② 70 [%]이상
- ③ 60[%] 이상
- ④ 50 [%]이상
등록된 댓글이 없습니다.
50. 다음 심벌의 명칭은?

- ① 과전압계전기
- ② 환풍기
- ③ 콘센트
- ④ 룸에어콘
등록된 댓글이 없습니다.
51. 주상 변압기의 고·저압 혼촉 방지를 위해 실시하는 2차측 접지공사는?
- ① 제1종
- ② 제2종
- ③ 제3종
- ④ 특별 제3종
등록된 댓글이 없습니다.
52. 가요 전선관에 사용되는 부속품이 아닌 것은?
- ① 스플릿 커플링
- ② 콤비네이션 커플링
- ③ 앵글박스 커넥터
- ④ 유니온 커플링
등록된 댓글이 없습니다.
53. 2종 접지 공사의 저항값을 결정하는 가장 큰 요인은?
- ① 변압기의 용량
- ② 고압 가공 전선로의 전선 연장
- ③ 변압기 1차측에 넣는 퓨즈 용량
- ④ 변압기 고압 또는 특고압측 전로의 1선 지락 전류의 암페어 수
등록된 댓글이 없습니다.
54. 지선의 중간에 넣는 애자의 명칭은?
- ① 구형애자
- ② 곡핀애자
- ③ 현수애자
- ④ 핀애자
등록된 댓글이 없습니다.
55. 가공 전선로의 지지물에 시설하는 지선의 안전율은 얼마이상이어야 하는가?
- ① 3.5
- ② 3.0
- ③ 2.5
- ④ 1.0
등록된 댓글이 없습니다.
56. 가스 절연 개폐기나 가스 차단기에 사용되는 가스인 SF6의 성질이 아닌 것은?
- ① 연소하지 않는 성질이다.
- ② 색깔, 독성, 냄새가 없다.
- ③ 절연유의 1/140로 가볍지만 공기보다 무겁다.
- ④ 공기의 25배 정도로 절연내력이 낮다.
등록된 댓글이 없습니다.
57. 다음 중 차단기를 시설해야 하는 곳으로 가장 적당한 것은?
- ① 다선식 전로의 중성선
- ② 제2종 접지 공사를 한 저압 가공 전로의 접지측 전선
- ③ 고압에서 저압으로 변성하는 2차측 전압측 전선
- ④ 접지공사의 접지선
등록된 댓글이 없습니다.
58. 플로어 덕트공사의 설명 중 옳지 않은 것은?
- ① 덕트 상호 및 덕트와 박스 또는 인출구와 접속은 견고하고 전기적으로 완전하게 접속하여야 한다.
- ② 덕트의 끝 부분을 막는다.
- ③ 덕트 및 박스 기타 부속품은 물이 고이는 부분이 없도록 시설 하여야 한다.
- ④ 플로어 덕트는 특별 제 3종 접지공사로 하여야 한다.
등록된 댓글이 없습니다.
59. 금속관을 조영재에 따라서 시설하는 경우는 새들 또는 행거 등으로 견고하게 지지하고 그 간격을 몇 [m]이하로 하는 것이 가장 바람직한가?
- ① 2
- ② 3
- ③ 4
- ④ 5
등록된 댓글이 없습니다.
60. 무대 무대마루 밑, 오케스트라 박스, 영사실, 기타 사람이나 무대 도구가 접촉할 우려가 있는 장소에 시설하는 저압옥내 배선, 전구선 또는 이동전선은 최고 사용전압이 몇 [V] 미만 이어야 하는가?
- ① 100
- ② 200
- ③ 400
- ④ 700
등록된 댓글이 없습니다.