PC정비사 1급(2006. 7. 16.) 시험일자 : 2006년 7월 16일
1과목 : PC운영체제
1. 리눅스 설치에 대한 내용으로 잘못된 것은?
- ① 부트 관리자인 LILO나 GRUB을 가지고 있다.
- ② 설치 과정 중 파티션 작업은 FDISK나 DISK DRUID로 선택하여 할 수 있다.
- ③ 부트용 디스크를 만들 수 있다.
- ④ 모든 리눅스의 설치는 CUI 방식으로만 가능하다.
등록된 댓글이 없습니다.
2. 리눅스에서 사용자의 패스워드와 가장 관련 있는 파일은?
- ① /etc/inittab
- ② /etc/fstab
- ③ /etc/passwd
- ④ /etc/httpd
등록된 댓글이 없습니다.
3. Windows XP의 부팅과 관련된 파일들이다. 부팅 과정에서 사용되는 순서대로 나열된 것은?

- ① a - b - c - d - e
- ② b - c - a - d - e
- ③ b - a - c - e - d
- ④ a - e - c - b - d
등록된 댓글이 없습니다.
4. Windows 환경에서 어느 응용 프로그램을 사용하지 않아서 이를 삭제하려고 할 때 사용하는 것은?
- ① [시작] - [제어판] - [새 하드웨어 추가]
- ② [시작] - [제어판] - [프로그램 추가/제거]
- ③ [시작] - [모든 프로그램] - [보조프로그램] - [프로그램 호환 마법사]
- ④ [시작] - [모든 프로그램] - [시작 프로그램]
등록된 댓글이 없습니다.
5. Windows XP Professional에 제공하는 무인 자동화 설치 CD 제작 과정 중, 컴퓨터 이름이나 TCP/IP 관련 항목은 컴퓨터 마다 다르므로 자동 응답 파일과 이것을 사용하여 컴퓨터 이름에 따른 설정을 자동화 할 수 있는데, 이것의 명칭은?
- ① Volume License Key
- ② Windows Image
- ③ RIS(Remote Installation Service)
- ④ UDF(Uniqueness Database File)
등록된 댓글이 없습니다.
6. 디스크 어레이(Array) 구축 방식 중 Windows XP에서 구축할 수 없는 것은?
- ① 스트라이프 볼륨
- ② 미러 볼륨
- ③ Raid-4 볼륨
- ④ 스팬 볼륨
등록된 댓글이 없습니다.
7. Windows에서 파일의 관리 시 파일의 확장자가 AVI가 나타내는 파일은?
- ① 도움말 파일
- ② 텍스트 파일
- ③ 비디오 재생용 파일
- ④ 소리 파일
등록된 댓글이 없습니다.
8. Windows XP의 빠른 사용자 전환에 대한 설명 중 올바른 것은?
- ① 이전 사용자의 세션을 모두 자동으로 종료하고 새로운 사용자의 로그인을 시작하게 된다.
- ② 실질적으로 Windows 98에서 지원하던 사용자 Log off와 똑같이 동작한다.
- ③ 이전 사용자의 세션을 모두 백그라운드로 돌리고 새로운 작업을 할 수 있게 한다.
- ④ 시스템을 종료한 후 빠르게 다시 부팅하여 로그인 한다.
등록된 댓글이 없습니다.
9. 다음은 Windows XP에서 제공하는 서비스를 말하고 있다. 이에 해당하는 것은?

- ① 인터넷 정보 서비스
- ② 원격 지원 서비스
- ③ FTP 서비스
- ④ DNS 서비스
등록된 댓글이 없습니다.
10. Windows XP의 관리 도구에 대한 설명이다. 각 서비스파일이 올바르게 연결된 것은?
- ① Alerter - 선택된 사용자와 컴퓨터에 관리 경고를 알린다. 서비스가 중지되면 관리 경고를 사용하는 프로그램에서 관리 경고를 받지 않게 된다.
- ② Application Layer Gateway Service - 프로그램을 설치하거나 삭제하는 일을 한다. 이 서비스를 멈추게 하면 응용프로그램을 설치하거나 삭제할 수 없다. 초기 값 수동을 그대로 두어야 하는 서비스다.
- ③ Application Management - 마이크로소프트 Windows 업데이트 사이트에서 업데이트 파일을 내려 받고 설치하는 일을 한다. 서비스를 켜지 않아도 수동으로 업데이트하면 된다.
- ④ Automatic Updates - 인터넷 연결 공유나 인터넷 연결 방화벽을 쓸 때 필요하다. Windows XP가 기본으로 내장한 방화벽 서비스를 쓸 때는 수동이나 자동으로 설정돼 있어야 한다.
등록된 댓글이 없습니다.
11. Windows XP의 레지스트리 구조에 속하지 않은 것은?
- ① HKEY_LOCAL_CONFIG
- ② HKEY_CURRENT_CONFIG
- ③ HKEY_CLASSES_ROOT
- ④ HKEY_USERS
등록된 댓글이 없습니다.
12. Windows XP의 네트워크 로컬 영역 속성에서 네트워크 구성요소를 추가하려고 한다. 이 때 네트워크 구성요소의 유형에 속하지 않는 것은?
- ① 클라이언트
- ② 서비스
- ③ 어댑터
- ④ 프로토콜
등록된 댓글이 없습니다.
13. 이메일 서비스 관련 설명으로 잘못된 것은?
- ① 일반적으로 이메일 주소는 'master@icqa.or.kr'와 같이 ‘계정명@계정이 등록된 도메인명’으로 사용한다.
- ② 이메일 송신 시 사용되는 프로토콜은 SMTP이다.
- ③ 이메일 수신 시 사용되는 프로토콜은 SPX이다.
- ④ Windows XP Professional의 IIS는 SMTP를 지원한다.
등록된 댓글이 없습니다.
14. MS-DOS 상태에서 바로 실행이 가능한 파일의 확장자로 알맞게 짝지어진 것은?
- ① exe, sys, bat
- ② com, aux, pcx
- ③ com, bat, obj
- ④ com, exe, bat
등록된 댓글이 없습니다.
15. 현재 사용되고 있는 컴퓨터에 있는 폴더나 자원이 공유되어 있는지 확인할 수 있는 명령어는?
- ① net share
- ② net start
- ③ net user
- ④ net group
등록된 댓글이 없습니다.
16. 다음에 설명하는 RAM은?

- ① DRAM
- ② RDRAM
- ③ EDO RAM
- ④ DIMM
등록된 댓글이 없습니다.
2과목 : PC주변기기
17. 다음 중 처리속도가 빠른 것부터 느린 순으로 나열한 것은?

- ① a -> b -> c -> d
- ② a -> c -> b -> d
- ③ b -> a -> c -> d
- ④ c -> a -> b -> d
등록된 댓글이 없습니다.
18. CD-R과 CD-RW 매체의 내용 중 잘못된 것은?
- ① CD-RW는 세션을 여러 개로 나누어 기록할 수 있는 멀티세션 기능을 이용할 수 없다.
- ② CD-RW는 기록된 디스크라도 다시 기록할 수 있다.
- ③ CD-R은 한번 사용한 공간은 다시 사용할 수 없다.
- ④ CD-R의 멀티세션 기능을 이용하면 한번 기록한 후 비어 있는 공간을 이용하여 이어서 기록할 수 있다.
등록된 댓글이 없습니다.
19. 스캐너로 입력한 사진을 컴퓨터로 가져 오기 위해 필요한 드라이버는?
- ① IDE
- ② GUI
- ③ CUI
- ④ TWAIN
등록된 댓글이 없습니다.
20. 레이저 프린터에 대한 설명 중 잘못된 것은?
- ① 미국의 HP사가 세계 최초로 개발하였다.
- ② 램과 마이크로프로세서를 내장하고 있다.
- ③ PCL과 PS라고 하는 내장된 프린터 언어를 사용한다.
- ④ 그림이나 문자가 종이 위에 토너가루로 나타나면 레이저의 열을 이용하여 토너가루를 녹여 출력물을 완성한다.
등록된 댓글이 없습니다.
21. 모니터와 본체를 연결하는 D-Sub 케이블 커넥터는 15핀을 사용한다. 다음 중 핀의 번호와 사용 용도가 잘못된 것은?
- ① 1, 2, 3 - R, G, B 선
- ② 6, 7, 8 - 접지
- ③ 4, 5, 9 - 핀 없음
- ④ 13, 14 - 수평, 수직 동기
등록된 댓글이 없습니다.
22. CISC 컴퓨터와 RISC 컴퓨터에 대한 설명 중 잘못된 것은?
- ① CISC : 16~32개의 레지스터 사용
- ② RISC : Reduced Instruction Set Computer
- ③ CISC : 다양한 길이와 형식의 명령어
- ④ RISC : 고정길이의 명령어 제공
등록된 댓글이 없습니다.
23. 다음 중 가장 적은 발열을 나타내는 CPU는?
- ① 펜티엄 M
- ② 애슬론 XP
- ③ 애슬론 MP
- ④ 펜티엄 D
등록된 댓글이 없습니다.
24. 메인보드의 기본적인 구성 요소의 종류로 잘못된 것은?
- ① I/O 칩셋
- ② ActiveX
- ③ 바이오스
- ④ 배터리
등록된 댓글이 없습니다.
25. PS/2 마우스 커넥터의 실제 사용되는 핀의 수는 4개이다. 다음 중 핀의 사용기능이 아닌 것은?
- ① 리셋
- ② 전원(+5V)
- ③ 클럭
- ④ 데이터신호
등록된 댓글이 없습니다.
26. 서로 다른 디스크를 마치 하나의 디스크인 것처럼 인식을 하도록 하는 기능을 표현하는 용어는?
- ① FAT32
- ② RAID
- ③ NTFS
- ④ READ
등록된 댓글이 없습니다.
27. 다음 중 디지털 카메라가 사용하지 않는 인터페이스는?
- ① IEEE 1394
- ② IrDA
- ③ USB
- ④ IDE
등록된 댓글이 없습니다.
28. 무선랜 카드의 형식이 아닌 것은?
- ① CF
- ② SD
- ③ PCMCIA
- ④ NetSpot
등록된 댓글이 없습니다.
29. 펜티엄4 전용 파워서플라이를 보면 일반적인 단자 외에 두개의 단자가 더 추가되어 있다. 4핀 보조전원 단자와 6핀 보조전원단자인데 이중 4핀 보조 전원단자에서 공급하는 전압은?
- ① 5V
- ② 3.3V
- ③ 12V
- ④ 1.5V
등록된 댓글이 없습니다.
30. 컴퓨터의 입출력 장치로 사용되지 않는 것은?
- ① Register
- ② Floppy Disk
- ③ MICR(Magnetic Ink character Recognition)
- ④ Printer
등록된 댓글이 없습니다.
3과목 : 디지털 논리회로
31. 정보의 크기가 작은 것에서부터 큰 순으로 나열된 것은?
- ① Bit - Byte - Word - Item - Field - Record - File
- ② Bit - Byte - Word - Field - Item - Record - File
- ③ Bit - Byte - Item - Word - Field - Record - File
- ④ Bit - Byte - Word - Item - File - Record - Field
등록된 댓글이 없습니다.
32. 16진수 "12DF"를 10진수로 진법변환을 하였을 때 올바른 것은?
- ① 4831
- ② 3830
- ③ 2831
- ④ 1028
등록된 댓글이 없습니다.
33. 아래의 표는 전가산기의 진리표이다. 이를 이용하여 전가산기를 구성하는 과정이 순서대로 나열되어 있다. 이들 중 잘못 기술한 항은?

- ① 출력 B에 대한 부울 함수를 구성한다. B=x'y'z+x'yz'+x'yz+xyzz
- ② 출력 D에 대한 부울 함수를 구성한다. D=x'y'z+x'yz'+xy'z'+xy
- ③ B와 D에 대한 간소화를 수행한다. B=x'z+yz+x'y D=x+y+z+xyz
- ④ B와 D에 대한 논리회로를 실현한다.
등록된 댓글이 없습니다.
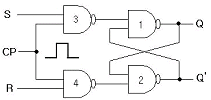
34. 다음 회로의 이름은?

- ① JK 플립플롭
- ② D 플립플롭
- ③ RS 플립플롭
- ④ T 플립플롭
등록된 댓글이 없습니다.
35. 디지털 집적회로에 대한 설명으로 잘못된 것은?
- ① TTL(Transistor-Transistor Logic)은 디지털 집적회로 중의 하나이다.
- ② C-MOS는 디지털 집적회로 중의 하나이다.
- ③ C-MOS는 N형 트랜지스터를 서로 조합해 제작된 집적회로이다.
- ④ 디지털 집적회로는 반도체 구조나 전기적 특성을 고려하여 제작된다.
등록된 댓글이 없습니다.
36. 컴퓨터 조립 시 연결해야 하는 케이블과 커넥터 중에서 극성이나 방향에 관계없이 거꾸로 연결해도 정상적으로 작동하는 것은?
- ① 하드디스크 데이터 연결 케이블
- ② CD-ROM에 연결되는 전원 케이블
- ③ 메인보드에 연결되는 리셋 스위치 연결 케이블
- ④ 플로피디스크 데이터 연결 케이블
등록된 댓글이 없습니다.
4과목 : PC유지보수
37. 스카시 하드디스크를 구입하여 사용하려 할 때 설정해야하는 부분으로 잘못된 것은?
- ① CMOS Setup에서 하드 Type을 설정해준다.
- ② ID점퍼 설정의 번호가 다른 스카시 장치와 겹치지 않도록 한다.
- ③ 테미네이션 설정은 케이블의 맨 끝에 연결된 장치에서 'ON' 으로 설정한다.
- ④ 파티션을 설정한 후 포맷을 해야 사용가능하다.
등록된 댓글이 없습니다.
38. CPU의 원래 속도 보다 더 높게 클록을 설정하여 사용하는 것을 뜻하는 것은?
- ① 오버 클럭킹
- ② 가상 메모리
- ③ 핫 플러킹
- ④ 슈퍼 스칼라
등록된 댓글이 없습니다.
39. 바이러스 침투를 막기 위해 부트섹터와 파티션 테이블에 기록이 되지 않도록 하는 Anti Virus Protection이 포함되어있는 Award BIOS의 메뉴는?
- ① Standard CMOS Setup
- ② BIOS Features Setup
- ③ Chipset Features Setup
- ④ Power Management Setup
등록된 댓글이 없습니다.
40. BIOS에서 제어할 수 없는 것은?
- ① 부트 디스크 설정
- ② 물리적 메모리 용량 설정
- ③ 하드디스크 타입 설정
- ④ IRQ 및 DMA 설정
등록된 댓글이 없습니다.
41. PC가 부팅할 때, 키보드의 Num Lock, Caps Lock, Scroll Lock의 LED가 한번 깜박거린다. 이것이 의미하는 것은?
- ① 키보드에 전원이 공급되었음을 의미한다.
- ② 키보드 제어기와 CPU와 정보를 교환하며 자체 검사하는 과정을 의미한다.
- ③ 키보드가 부팅과정에서 오류가 발생되었다는 것을 의미한다.
- ④ 키보드 드라이버를 설치하여야 한다.
등록된 댓글이 없습니다.
42. 플로피디스크 드라이브가 인식되지 않는 경우에 취해야 하는 사항으로 잘못된 것은?
- ① CMOS Setup의 Standard CMOS Setup항목에서 플로피 설정이 올바른지 확인한다.
- ② 플로피디스크 드라이브 케이블과 전원의 연결 상태가 올바른지 확인한다.
- ③ Integrated Peripherals Setup의 OnBoard Parallel Port 부분이 Enable로 되어 있는지 확인한다.
- ④ 다른 컴퓨터에 연결하여 플로피디스크 드라이브가 제대로 작동하는지 확인한다.
등록된 댓글이 없습니다.
43. Windows와 같은 PnP를 지원하는 운영체제가 PnP를 지원하는 주변장치를 인식하는 방법은?
- ① PnP 장치의 고유한 IP Address
- ② PnP 장치의 고유한 MAC Address
- ③ PnP 장치의 고유한 PnP ID
- ④ PnP 장치의 고유한 Processor Number
등록된 댓글이 없습니다.
44. EMI에 대한 설명 중 잘못된 것은?
- ① EMI는 미국이나 EU각국이 마련한 전자파 관련 규정중의 하나이다.
- ② EMI 인증을 받은 기기는 무선 통신 기능을 사용할 수 없다.
- ③ 국내에서는 90년대 중반부터 각종 전기전자 제품에 대한 EMI검정을 실시하고 있다.
- ④ 전자파에 관한 장애 인증이다.
등록된 댓글이 없습니다.
45. 부팅 과정에 만날 수 있는 에러메시지와 확인해야할 점검 사항이다. 잘못 연결된 것은?
- ① BIOS Rom Checksum Error - CPU의 계산 오류로 나올 수 있으므로 CPU가 제대로 장착되어 있는지 확인한다.
- ② CMOS Memory Size Mismatch - 램을 일부 증설하거나 제거 했을 경우 나타날 수 있으므로 다시 한 번 부팅을 해본다.
- ③ Hard Disk Controller Failure - 하드디스크의 데이터 케이블이 메인보드에 제대로 연결되어 있는지 확인한다.
- ④ Keyboard Error or No Keyboard Present - 컴퓨터 본체에 키보드가 제대로 연결되어 있는지 확인한다.
등록된 댓글이 없습니다.
46. Windows를 사용하던 도중에 치명적인 오류가 불규칙적으로 발생한다. 특정 프로그램을 실행할 때만 아니라 광범위하게 발생한다. 이에 대한 일반적인 원인으로 잘못된 것은?
- ① 파티션 설정이 잘못되었다.
- ② 중요 H/W 또는 S/W와 Windows의 호환성 문제이다.
- ③ Windows의 시스템 정보 파일에 오류가 발생하였다.
- ④ 중요 드라이버 파일에 오류가 발생하였다.
등록된 댓글이 없습니다.
47. Windows를 사용하는 도중 속도가 점점 느려지는 현상이 발생하였다. 문제의 원인으로 잘못된 것은?
- ① 레지스트리가 점점 커지고 불필요한 내용이 쌓이기 때문이다.
- ② Windows에서 사용하는 DLL과 드라이버 파일이 많아지기 때문이다.
- ③ 하드디스크의 단편화가 심해지기 때문이다.
- ④ 주기억 장치(RAM)의 단편화가 심해지기 때문이다.
등록된 댓글이 없습니다.
48. 하드디스크 공간이 부족하여 공간을 확보하려는 방법이다. 실행프로그램에 영향을 주지 않으면서 공간을 확보할 수 있는 방법으로 잘못된 것은?
- ① [시작]->[모든 프로그램]->[보조프로그램]->[시스템도구]->[디스크정리]를 실행시킨다.
- ② C:\WINDOWS\TEMP 폴더의 모든 파일을 삭제한다.
- ③ C:\WINDOWS\FONTS 폴더의 모든 파일을 삭제한다.
- ④ 휴지통 비우기를 실행시킨다.
등록된 댓글이 없습니다.
49. 컴퓨터 조립 후 전원을 켜고 테스트를 하려는데 모니터에 아무런 화면도 나타나지 않는다. 다음 중 이 문제의 원인으로 잘못된 것은?
- ① 전원 공급 장치의 불량이다.
- ② 하드디스크의 불량이다.
- ③ 램이 제대로 장착되어 있지 않은 상태이다.
- ④ 그래픽 카드가 제대로 연결되어 있지 않은 상태이다.
등록된 댓글이 없습니다.
50. 메인보드에 대한 다음 설명 중 잘못된 것은?
- ① 칩셋은 메인보드 상에 납땜으로 고정된 부품으로서 메인보드에서 사용 가능한 CPU 및 메모리 종류 등을 결정하는 중요한 요소이다.
- ② 시스템의 안정성을 위하여 메모리(RAM) 슬롯의 경우 전체 슬롯을 사용하지 말고, 1개 또는 2개의 여유 슬롯을 남겨 두어야 한다.
- ③ 새로운 부품을 추가하고자 할 때 그 부품이 메인보드에서 지원 가능한 형태인지를 확인해야 한다.
- ④ 만약 장착한 CPU의 성능에 비해 실제 동작 속도가 현저히 낮게 동작한다고 판단될 경우 BIOS의 캐쉬 설정 부분이 활성 상태로 되어 있는지 확인하고 비활성으로 되어 있으면 활성으로 설정을 바꾼다.
등록된 댓글이 없습니다.
5과목 : PC네트워크
51. 여러 대의 컴퓨터를 연결할 때 마지막에는 반드시 터미네이터를 연결해야 하는 네트워크 연결 방법은?
- ① BNC 케이블 연결
- ② USB 케이블 연결
- ③ 크로스 케이블 연결
- ④ FX 케이블 연결
등록된 댓글이 없습니다.
52. OSI 계층모델의 물리계층(Physical Layer)에서 사용되는 장비는?
- ① 브리지(Bridge)
- ② 리피터(Repeater)
- ③ 게이트웨이(Gateway)
- ④ 라우터(Router)
등록된 댓글이 없습니다.
53. 스위칭 방법 중 컷스루(Cut-Through) 방법에 대한 설명 중 올바른 것은?
- ① 가상헤더에 목적지의 IP 주소와 송신측의 IP 주소, IP 헤더로 사용되는 TCP프로토콜 유형번호, 헤더 및 사용자 데이터의 길이를 더한 값을 넣는 것이다.
- ② 헤더의 목적지 주소만을 검색해서 프레임을 목적지 포트로 전송하는 방법이다.
- ③ 프레임의 시작인 프리앰블(Preamble)부터 FCS(Frame Check Sequence)까지의 모든 데이터를 확인한 후 목적지 포트로 전송하는 방법이다.
- ④ 전체 프레임을 수신한 후 CRC 코드만을 삽입하여 목적지로 전송한다.
등록된 댓글이 없습니다.
54. 라우터에서 수신 패킷을 전달하기 위해 헤더정보를 검사한다. 패킷의 전달을 위해 참조되는 헤더정보는?
- ① 출발지 네트워크 주소
- ② MAC 주소
- ③ BDC 주소
- ④ 목적지 네트워크 주소
등록된 댓글이 없습니다.
55. 인터넷을 사용하는데 있어 네트워크 보안을 강화하기 위해추가 할 수 있는 일반적인 장치는?
- ① Repeater
- ② Bridge
- ③ Gateway
- ④ Firewall
등록된 댓글이 없습니다.
56. 다음 중 WAN 구간 내에서 라우팅을 지원하는 프로토콜은?
- ① OSPF
- ② NetBIOS
- ③ NetBEUI
- ④ DLC
등록된 댓글이 없습니다.
57. SNMP(Simple Network Management Protocol)에 대한 설명으로 올바른 것은?
- ① 통신 중에 발생하는 오류의 처리와 전송 경로 변경 등을 위한 프로토콜
- ② 패킷 주소를 해석하고 경로를 결정하여 다음 호스트로 전송하는 프로토콜
- ③ 네트워크 정보를 네트워크 관리 시스템에 전송하는 네트워크 관리 프로토콜
- ④ 인터넷 주소(IP)를 물리적 하드웨어(MAC) 주소로 변경해주는 프로토콜
등록된 댓글이 없습니다.
58. 프로토콜의 기능 중 상위계층으로부터 받은 데이터에 자신의 제어정보를 추가하는 기능은?
- ① 캡슐화(Encapsulation)
- ② 조립(Assembly)
- ③ 동기화(Synchronization)
- ④ 다중화(Multiplexing)
등록된 댓글이 없습니다.
59. 아웃룩 익스프레스를 이용하여 전자우편을 사용하기 위한 환경설정의 내용 중 잘못된 것은?
- ① 메일 서버 주소를 설정한다.
- ② 송신하는 메일에 송신자의 이름을 표시하기 위해 사용자 이름을 기입한다.
- ③ SMTP 서버의 주소를 잘못 설정하면 전자우편을 받을 수 없다.
- ④ 외부 서버의 메일을 수신 받기위한 ID와 비밀번호를 입력한다.
등록된 댓글이 없습니다.
60. 정보 보안의 3대 요소라고 볼 수 없는 것은?
- ① 기밀성
- ② 무결성
- ③ 가용성
- ④ 호환성
등록된 댓글이 없습니다.