전산응용기계제도기능사(2004. 2. 1.) 시험일자 : 2004년 2월 1일
1과목 : 기계재료 및 요소
1. 18-4-1형의 고속도강에서 18-4-1에 해당하는 원소로 맞는 것은?
- ① W-Cr-Co
- ② W-Ni-V
- ③ W-Cr-V
- ④ W-Si-Co
등록된 댓글이 없습니다.
2. 유체가 나사의 접촉면 사이의 틈새나 볼트의 구멍으로 흘러오는 것을 방지할 필요가 있을 때 사용하는 너트는?
- ① 캡너트
- ② 홈붙이너트
- ③ 플랜지너트
- ④ 슬리브너트
등록된 댓글이 없습니다.
3. 다음 그림과 같이 스프링을 연결하는 경우 직렬접속은 어느 것인가? (단, W는 하중이고 K1, K2, K3 는 스프링 상수이다.)
- ①  
- ②  
- ③  
- ④  
등록된 댓글이 없습니다.
4. 인장 코일 스프링에 3㎏f의 하중을 걸었을 때 변위가 30㎜이었다면, 이 스프링의 상수는 얼마인가?
- ① 1/10 ㎏f/㎜
- ② 1/5 ㎏f/㎜
- ③ 5 ㎏f/㎜
- ④ 10 ㎏f/㎜
등록된 댓글이 없습니다.
5. 피치원의 지름이 일정한 기어에서 모듈의 값이 커지면 잇수는?
- ① 많아진다.
- ② 적어진다.
- ③ 같다.
- ④ 이것만으로는 알 수 없다.
등록된 댓글이 없습니다.
6. 하중의 크기와 방향이 동시에 변화하면서 작용하는 하중은?
- ① 반복하중
- ② 교번하중
- ③ 충격하중
- ④ 정하중
등록된 댓글이 없습니다.
7. 못을 뺄 때의 못에 작용하는 하중상태는 무슨 하중에 속하는가?
- ① 인장하중
- ② 압축하중
- ③ 비틀림하중
- ④ 전단하중
등록된 댓글이 없습니다.
8. 다음 경도 시험 중 압입자를 이용한 방법이 아닌 것은?
- ① 브리넬 경도
- ② 로크웰 경도
- ③ 비커스 경도
- ④ 쇼어 경도
등록된 댓글이 없습니다.
9. 탄소강에서 탄소량이 증가할 경우 경도와 연성에 미치는 영향을 가장 잘 설명한 것은?
- ① 경도증가, 연성감소
- ② 경도감소, 연성감소
- ③ 경도감소, 연성증가
- ④ 경도증가, 연성증가
등록된 댓글이 없습니다.
10. 합금강에서 소량의 Cr이나 Ni를 첨가하는 이유로 가장 중요한 것은?
- ① 경화능을 증가시키기 위해
- ② 내식성을 증가시키기 위해
- ③ 마모성을 증가시키기 위해
- ④ 담금질 후 마텐자이트 조직의 경도를 증가시키기 위해
등록된 댓글이 없습니다.
2과목 : 기계가공법 및 안전관리
11. 구름베어링 기본구성요소 중 회전체 사이에 적절한 간격을 유지해 주는 구성요소를 무엇이라 하는가?
- ① 리테이너
- ② 내륜
- ③ 외륜
- ④ 회전체
등록된 댓글이 없습니다.
12. 다이캐스팅용 알루미늄(Al)합금이 갖추어야 할 성질로 틀린 것은?
- ① 유동성이 좋을 것
- ② 응고수축에 대한 용탕 보급성이 좋을 것
- ③ 금형에 대한 점착성이 좋을 것
- ④ 열간취성이 적을 것
등록된 댓글이 없습니다.
13. 피치 3 ㎜인 2줄 나사의 리드(lead)는 얼마인가?
- ① 1.5 ㎜
- ② 6 ㎜
- ③ 2 ㎜
- ④ 0.66 ㎜
등록된 댓글이 없습니다.
14. 금속재료에 비해 구리의 일반적 성질을 설명한 것 중 다른 것은?
- ① 전기 및 열의 전도성이 우수하다.
- ② 비자성체이다.
- ③ 화학적 저항력이 커서 부식되지 않는다.
- ④ Zn, Sn, Ni, Ag등과는 합금이 안된다.
등록된 댓글이 없습니다.
15. 온도가 변화될 때 재료의 길이 변화에 영향을 주는 인자가 아닌 것은?
- ① 선팽창계수
- ② 단면적
- ③ 재료 길이
- ④ 온도차
등록된 댓글이 없습니다.
16. 절삭유를 사용할 때의 설명으로 틀린 것은?
- ① 공구날의 경도 저하를 방지하며 공구 수명을 연장시킨다.
- ② 일감의 열팽창에 의한 정밀도의 저하를 방지한다.
- ③ 마찰을 증가 시키나 가공면은 매끈하다.
- ④ 칩으로 인한 다듬질면에 상처를 주지 않는다.
등록된 댓글이 없습니다.
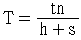
17. 드릴이 1회전 하는 동안에 이송거리를 s[㎜] 라 하고 드릴 끝 원뿔의 높이를 h[㎜] , 구멍의 깊이를 t[㎜] 라 하면 이 구멍을 뚫는데 소요되는 시간 T[min]로 알맞는 것은? (단, ν : 절삭속도 [m/min], d : 드릴의 지름 [㎜] 이다.)
- ①  
- ②  
- ③  
- ④  
등록된 댓글이 없습니다.
18. 선반에서 절삭속도 157m/min로서 지름 100㎜의 재료를 깎을 때 적당한 회전수(rpm)는 얼마인가?
- ① 약 250
- ② 약 300
- ③ 약 500
- ④ 약 750
등록된 댓글이 없습니다.
19. 공작기계에서 주축의 회전을 정지시키는 방법으로 가장 옳은 것은?
- ① 스스로 멈추게 한다.
- ② 역회전시켜 멈추게 한다.
- ③ 손으로 잡아 정지시킨다.
- ④ 수공구를 사용하여 정지시킨다.
등록된 댓글이 없습니다.
20. 선반 절삭작업 중 열단형 칩(chip)이 형성되는 때는?
- ① 일감의 재질이 유연하고 인성이 많을 때
- ② 절삭깊이가 작고 절삭속도가 클 때
- ③ 점성이 큰 재질을 작은 경사각의 공구로 절삭할 때
- ④ 주철과 같은 메진 재료를 저속으로 절삭할 때
등록된 댓글이 없습니다.
21. 셰이퍼에서 할 수 있는 작업 중 관계가 없는 것은?
- ① 평면작업
- ② 곡면작업
- ③ 더브테일가공작업
- ④ 보링작업
등록된 댓글이 없습니다.
22. 방전가공시 전극으로 사용되지 않는 것은?
- ① 흑연
- ② 구리
- ③ 황동
- ④ 연강
등록된 댓글이 없습니다.
23. 다음 중 직접측정기에 속하는 것은?
- ① 옵티미터
- ② 다이얼게이지
- ③ 미니미터
- ④ 마이크로미터
등록된 댓글이 없습니다.
24. 밀링가공에서, 하향 절삭의 장점이 아닌 것은?
- ① 일감의 고정이 간편하다.
- ② 가공면이 깨끗하다.
- ③ 이송기구의 백래시가 자연히 제거된다.
- ④ 커터의 수명이 길다.
등록된 댓글이 없습니다.
25. 원통연삭기중에서 일감을 설치한 테이블을 왕복시키는 형식으로 소형일감의 연삭에 적합한 형태는?
- ① 테이블왕복형
- ② 숫돌대왕복형
- ③ 플런지컷형
- ④ 센터리스형
등록된 댓글이 없습니다.
26. 대칭형의 물체를 1/4 절단하여 내부와 외부의 모습을 동시에 보여주는 단면법은?
- ① 전 단면도
- ② 한쪽 단면도
- ③ 부분 단면도
- ④ 회전도시 단면도
등록된 댓글이 없습니다.
3과목 : 기계제도
27. 도면에 두 종류 이상의 선이 같은 장소에 겹치는 경우 우선순위가 맞는 것은?
- ① 외형선 → 절단선 → 중심선 → 치수보조선
- ② 외형선 → 중심선 → 절단선 → 무게중심선
- ③ 숨은선 → 중심선 → 절단선 → 치수보조선
- ④ 외형선 → 중심선 → 절단선 → 치수보조선
등록된 댓글이 없습니다.
28. 스프링의 종류와 모양만을 도시할 때에는 재료의 중심선을 어떤 선으로 표시하는가?
- ① 굵은 실선
- ② 가는 실선
- ③ 굵은 1점쇄선
- ④ 가는 1점쇄선
등록된 댓글이 없습니다.
29. 축의 치수 φ100+0.01+0.02 와 구멍의 치수 φ100-0.02-0.01 의 최대 죔새와 최소 죔새값은?
- ① 최대죔새 : 0.05, 최소죔새 : 0.02
- ② 최대죔새 : 0.04, 최소죔새 : 0.02
- ③ 최대죔새 : 0.04, 최소죔새 : 0.00
- ④ 최대죔새 : 0.05, 최소죔새 : 0.00
등록된 댓글이 없습니다.
30. 다음 기하공차 기호 중 원통도 공차의 기호는?
- ①  
- ②  
- ③  
- ④  
등록된 댓글이 없습니다.
31. 일반적인 CAD시스템에서 해칭(hatching)할 도형을 지정한 후에 수정해야 할 파라미터가 아닌 것은?
- ① 해칭선의 종류
- ② 해칭선의 굵기
- ③ 해칭선의 각도
- ④ 해칭선의 간격
등록된 댓글이 없습니다.
32. 다음 중에서 도면에 반드시 마련해야 하는 사항은?
- ① 비교눈금
- ② 도면의 구역
- ③ 중심 마크
- ④ 재단 마크
등록된 댓글이 없습니다.
33. 그림과 같은 정원뿔을 단면선을 따라 평면으로 교차시킨 경우 구성되는 단면 형태는?

- ① 쌍곡선
- ② 포물선
- ③ 타원
- ④ 원
등록된 댓글이 없습니다.
34. 다음 중 CAD system 사용시 장점이 아닌 것은?
- ① 설계시간의 단축
- ② 설계비용의 증가
- ③ 설계의 정확도 향상
- ④ 도면 수정 용이
등록된 댓글이 없습니다.
35. 화면 표시 장치 각각의 영역에서 판독 위치, 입력 가능 위치 및 입력 상태 등을 표현하여 주는 표식은?
- ① 좌표 원점(origin point)
- ② 도면 요소(entity)
- ③ 커서(cursor)
- ④ 대화 상자(dialogue box)
등록된 댓글이 없습니다.
36. 길이 방향으로 절단해서 단면도를 그리지 않아야 하는 부품은?
- ① 축
- ② 보스
- ③ 베어링
- ④ 커버
등록된 댓글이 없습니다.
37. 둥근(원형)면에서 어느 부분 면이 평면인 것을 나타낼 필요가 있을 경우에 대각선을 그려 사용하는데 이때 사용되는 선으로 옳은 것은?
- ① 굵은 실선
- ② 가는 실선
- ③ 굵은 1점 쇄선
- ④ 가는 1점 쇄선
등록된 댓글이 없습니다.
38. 다음 중 구멍용 게이지 제작 공차로 맞는 IT공차 등급은?
- ① IT 01 - IT 5
- ② IT 6 - IT 10
- ③ IT 10 - IT 18
- ④ IT 11 - IT 18
등록된 댓글이 없습니다.
39. 나사의 종류 중 미터 사다리꼴나사를 나타내는 것은?
- ① M
- ② Rc
- ③ Tr
- ④ PF
등록된 댓글이 없습니다.
40. 표면 거칠기의 표시법에서 산술 평균 거칠기를 표시하는 기호는?
- ① Ry
- ② Ra
- ③ Rz
- ④ Sm
등록된 댓글이 없습니다.
41. 끼워 맞춤에서 최대 죔새를 구하는 방법은?
- ① 축의 최대 허용 치수 - 구멍의 최소 허용 치수
- ② 구멍의 최소 허용치수 - 축의 최대 허용 치수
- ③ 구멍의 최대 허용 치수 - 축의 최소 허용 치수
- ④ 축의 최소 허용 치수 - 구멍의 최대 허용 치수
등록된 댓글이 없습니다.
42. ISO규격에 있는 관용 테이퍼 나사로 테이퍼 수나사를 표시하는 기호는?
- ① R
- ② Rc
- ③ PS
- ④ Tr
등록된 댓글이 없습니다.
43. 다음 중 치수 기입의 원칙으로 맞는 것은?
- ① 어느 정도의 중복 기입은 상관없다.
- ② 치수는 되도록 평면도에 집중하여 기입한다.
- ③ 치수는 치수선이 만나는 곳에 기입한다.
- ④ 치수는 선에 겹치게 기입해서는 안 된다.
등록된 댓글이 없습니다.
44. 스프로킷 휠의 도시법으로 적절한 것은?
- ① 바깥지름 - 굵은 실선
- ② 피치원 - 가는 실선
- ③ 이뿌리원 - 가는 1점 쇄선
- ④ 축직각 단면으로 도시할 때 이뿌리선 - 굵은 파선
등록된 댓글이 없습니다.
45. 그래픽 디스플레이 장치 중에서 음극선관 디스플레이에 해당하는 것은?
- ① 액정형(LCD)
- ② 플라즈마 가스 방출형(plasma-gas discharge)
- ③ 랜덤 스캔형(random scan)
- ④ 전자 발광판형(EL)
등록된 댓글이 없습니다.
46. 일반적인 CAD 시스템에서 직선의 작성 방법이 아닌 것은?
- ① 임의의 두 점을 지정하는 방법
- ② 두 요소의 끝점을 연결하는 방법
- ③ 절대좌표값의 입력에 의한 방법
- ④ 두 평면의 교차에 의한 방법
등록된 댓글이 없습니다.
47. 구멍의 최소치수가 축의 최대치수보다 큰 경우는 무슨 끼워맞춤인가?
- ① 헐거운 끼워맞춤
- ② 중간 끼워맞춤
- ③ 억지 끼워맞춤
- ④ 강한 억지 끼워맞춤
등록된 댓글이 없습니다.
48. 도면상에 구멍, 축 등의 호칭치수를 의미하며 치수 허용한계의 기준이 되는 치수는?
- ① IT치수
- ② 실치수
- ③ 허용한계치수
- ④ 기준치수
등록된 댓글이 없습니다.
49. 축과 보스의 키홈에 KS 규격으로 치수를 기입하려고 할 때 적용 기준이 되는 것은?
- ① 보스 구멍의 지름
- ② 축의 지름
- ③ 키의 두께
- ④ 키의 폭
등록된 댓글이 없습니다.
50. 다음 스프링에 관한 제도 설명 중 틀린 것은?
- ① 코일 스프링에서 코일 부분의 중간 부분을 생략하는 경우에는 생략하는 부분의 선지름의 중심선을 가는 1점 쇄선으로 나타낸다.
- ② 하중 또는 처짐 등을 표시할 필요가 있을 때에는 선도 또는 항목표로 나타낸다.
- ③ 도면에서 특별한 지시가 없는 한 모두 오른쪽 감기로 도시한다.
- ④ 벌류트 스프링은 원칙적으로 하중이 가해진 상태에서 그리는 것을 원칙으로 한다.
등록된 댓글이 없습니다.
51. 한 쌍의 기어가 맞물려 있을 때 모듈을 m이라 하고 각각의 잇수를 Z1, Z2 라 할 때, 두 기어의 중심거리(C)를 구하는 식은?
- ①  
- ②  
- ③  
- ④  
등록된 댓글이 없습니다.
52. 삼각법으로 그린 3면도 투상도 중 잘못 그려진 투상이 있는 것은?
- ①  
- ②  
- ③  
- ④  
등록된 댓글이 없습니다.
53. 다음 베어링 중 축과 직각 방향으로 하중이 작용하는 베어링은?
- ① 칼라 베어링
- ② 드러스트 베어링
- ③ 레이디얼 베어링
- ④ 원뿔 베어링
등록된 댓글이 없습니다.
54. 볼베어링의 호칭번호가 62/22 이면 안지름은 몇 ㎜ 인가?
- ① 22
- ② 110
- ③ 55
- ④ 100
등록된 댓글이 없습니다.
55. 평행 키의 크기를 나타낸 것 중 옳은 것은?
- ① 나비 × 길이 × 높이,재료
- ② 나비 × 높이 × 길이,재료
- ③ 재료,나비 × 높이 × 길이
- ④ 나비 × 높이 × 재료 × 길이
등록된 댓글이 없습니다.
56. 3각법에 의한 보기와 같은 정면도와 우측면도에 평면도로 가장 적합한 투상는?

- ①  
- ②  
- ③  
- ④  
등록된 댓글이 없습니다.
57. 스퍼기어 제도시 축방향에서 본 도면의 이뿌리원은 어느 선으로 나타내는가?
- ① 가는실선
- ② 굵은 1점쇄선
- ③ 가는 1점쇄선
- ④ 가는 2점쇄선
등록된 댓글이 없습니다.
58. 화상이나 모양을 부호화하여 디지털 데이터로 변환시키는 입력 장치는?
- ① 디지타이저(digitizer)
- ② 라이트 펜(light pen)
- ③ 음극선관(CRT)
- ④ 플로터(plotter)
등록된 댓글이 없습니다.
59. V 벨트 풀리의 도시 방법 중 호칭지름(D)의 설명으로 맞는 것은?
- ① V 벨트를 걸지 않은 상태에서 풀리의 바깥지름
- ② V 벨트를 걸었을 때 풀리의 바깥지름
- ③ V 벨트를 걸지 않은 상태에서 풀리의 피치원 지름
- ④ V 벨트를 걸었을 때 V 벨트 단면의 중앙을 지나는 가상원의 지름
등록된 댓글이 없습니다.
60. 다음 중에서 가는 실선을 사용하지 않는 것은?
- ① 지시선
- ② 치수 보조선
- ③ 해칭선
- ④ 피치선
등록된 댓글이 없습니다.