소음진동기사(2015. 3. 8.) 시험일자 : 2015년 3월 8일
1과목 : 소음진동개론
1. 반자유공간에 있는 0.45W의 소형 점음원(point source)으로부터 10m떨어진 지점의 음의 세기(w/m2)는?
- ① 7.16 × 10-4
- ② 3.58 × 10-4
- ③ 7.16 × 10-3
- ④ 1.43 × 10-2
등록된 댓글이 없습니다.
2. 음파에 대한 일반적인 성질로 옳지 않은 것은?
- ① 대기의 온도차에 의한 경우 주간(지표부근의 온도가 상공보다 고온)에는 보통 지표 쪽으로 굴절한다.
- ② 음원보다 상공의 풍속이 클 때 풍하 측에서는 지면 쪽으로 굴절한다.
- ③ 낮은 주파수의 음은 고주파수 음에 비해 회절하기 쉽다.
- ④ 음의 굴절현상은 Snell의 법칙으로 설명될 수 있다.
등록된 댓글이 없습니다.
3. 소음성 난청의 특성에 관한 다음 설명 중 가장 거리가 먼 것은?
- ① 장기가 큰 소음을 유발하는 직장에서 일한 사람은 특히 4000H 부근에서의 청력 손실이 현저하다.
- ② 난청이 진행되면서 C5의 양측 주파수에서 청력손실이 커서 노화됨에 따라 낮은 주파수의 청력손실이 커지고 C5부근에 집중되어 dip은 점점 분명해진다.
- ③ C5 dip은 약의 부작용 등의 원인에 의해서도 일어나는 수가 있다.
- ④ 소음성 난청은 내이의 세포변성이 주요한 원인이며, 이 경우 음이 강해짐에 따라 정상인에 비해 음이 급격하게 크게 들리게 된다.
등록된 댓글이 없습니다.
4. 다음 중 진동가속도레벨과 인체, 건물 등의 피해 사항의 연결로 가장 거리가 먼 것은?
- ① 20±5dB - 인체가 약간 느낌
- ② 70±5dB - 인체가 대부분 느끼며, 창문이 약간 흔들림
- ③ 90±5dB - 기물이 넘어지고 물이 넘침
- ④ 110dB 이상 - 가옥파괴 현상, 산사태 발생
등록된 댓글이 없습니다.
5. x1>=cos6t와 x2=cos6.1t 를 합성하면 울림현상이 발생하는데 이 때 울림진동수는?
- ① 0.016cps
- ② 0.032cps
- ③ 31.5cps
- ④ 62.8cps
등록된 댓글이 없습니다.
6. 횡파에 관한 설명으로 거리가 먼 것은?
- ① 매질이 없어도 전파된다.
- ② 파동의 진행방향과 매질의 진동방향이 수직한 파동이다.
- ③ 소밀파, 압력파라고도 한다.
- ④ 물결파(수면파), 전자기파(광파,전파) 등이 해당한다.
등록된 댓글이 없습니다.
7. 다음은 음의 전달매질에 관한 설명이다. ( )안에 알맞은 것은?

- ① ① 기체, ② 액체, ③ 고체
- ② ① 기체, ② 고체, ③ 액체
- ③ ① 기체, ② 액체, ③ 액체
- ④ ① 기체, ② 고체, ③ 고체
등록된 댓글이 없습니다.
8. 공해진동에 관한 설명으로 옳지 않은 것은?
- ① 진동수의 범위는 1~90Hz 이다.
- ② 진동레벨은 80~130dB 정도가 많다.
- ③ 사람의 건강 및 건물에 피해를 주는 진동이다.
- ④ 사람이 느끼는 최소진동역치는 55±5dB 정도이다.
등록된 댓글이 없습니다.
9. 수직보정곡선의 주파수 범위(f, Hz)가 4≤ f ≤ 8 일 때, 주파수 대역별 보정치의 물리량(m/s2)으로 옳은 것은?
- ①

- ② 10-5
- ③ 1.25 × 10-5
- ④ 2× 10-5 × f
등록된 댓글이 없습니다.
10. A공장 내 소음원에 대하여 소음도를 측정한 결과 각각 L1=88dB, L2=96dB, L3=100dB 이었다. 이 소음원을 동시에 가동시킬 때의 합성소음도는?
- ① 95dB
- ② 96dB
- ③ 102dB
- ④ 108dB
등록된 댓글이 없습니다.
11. 음향출력 50W의 점음원으로부터 구형파가 전파될 때 이음원으로부터 8m지점의 음 세기레벨은?
- ① 108dB
- ② 111dB
- ③ 120dB
- ④ 123dB
등록된 댓글이 없습니다.
12. 가로, 세로, 높이가 각각 5m인 실내의 1차원 모드의 고유진동수는? (단, 실내의 벽체는 모두 강벽이고, 공기의 온도는 20℃이다.)
- ① 17.2 Hz
- ② 21.5 Hz
- ③ 34.3 Hz
- ④ 42.9 Hz
등록된 댓글이 없습니다.
13. 청력손실에 관한 설명으로 옳지 않은 것은?
- ① 청력손실이 옥타브밴드 중심주파수 500Hz ~ 2000Hz 범위에서 25dB이상이면 난청이라 한다.
- ② 청력이 정상인 사람의 최소가청치와 피검자의 최대 가청치와의 비를 dB로 나타낸 것이다.
- ③ 영구적 청력손실은 4000Hz정도에서부터 진행된다.
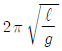
- ④ 평균청력손실은 로 나타낼 수 있다. 여기서, a : 옥타브밴드 500Hz에서의 청력손실(dB), b : 옥타브밴드 1000Hz에서의 청력손실(dB), c : 옥타브밴드 2000Hz에서의 청력손실(dB)이다.

등록된 댓글이 없습니다.
14. 잔향시간이란 실내에서 음원을 끈 순간부터 음압레벨이 얼마 감쇠되는데 소요되는 시간을 의미하는가?
- ① 40dB
- ② 60dB
- ③ 80dB
- ④ 100dB
등록된 댓글이 없습니다.
15. 음과 관련한 법칙 및 용어설명으로 옳지 않은 것은?
- ① 백색잡음은 모든 주파수의 음압레벨이 일정한 음을 말한다.
- ② 옴-헬므홀츠법칙은 인간의 귀는 순음이 아니니 여러 가지 복잡한 파형의 소리도 각기의 순음의 성분으로 분해하여 들을 수 있다는 음색에 관한 법칙이다.
- ③ 스넬의 법칙은 음의 회절과 관련한 법칙으로 장애물이 클수록 회절량이 크다.
- ④ 웨버-훼이너법칙은 감각량은 자극의 대수에 비례한다는 법칙이다.
등록된 댓글이 없습니다.
16. 벽체에 음파가 입사하면 음압의 강약에 의해 소밀파가 발생하는데, 이 때 입사파와 소밀파의 파장이 일치하면 벽체의 굴곡운동과 진폭은 입사파의 진폭과 같은 크기로 진동함으로써 차음성능이 현저하게 저하되는 현상을 일컫는 용어는?
- ① 질량효과
- ② 공명효과
- ③ 일치효과
- ④ 마스킹효과
등록된 댓글이 없습니다.
17. 중심주파수가 500Hz일 때 1/1 옥타브밴드 분석기(정비형 필터)의 상한 주파수는?
- ① 약 710 Hz
- ② 약 760 Hz
- ③ 약 810 Hz
- ④ 약 860 Hz
등록된 댓글이 없습니다.
18. 실내온도가 20℃, 가로 × 세로 × 높이가 5.7 × 7.8 × 5.2(m3)인 잔향실이 있다. 이 잔향실 내부에 아무것도 없는 상태에서 측정한 잔향시간이 9.5초이었다. 이 방에 3.1 × 3.7(m2)의 흡음재를 바닥에 설치한 후 잔향시간을 측정하니 2.7초 이었다. 이 흡음재의 흡음률은?
- ① 약 0.55
- ② 약 0.69
- ③ 약 0.78
- ④ 약 0.88
등록된 댓글이 없습니다.
19. 음에 관한 걸명 중 가장 적합한 것은?
- ① 맥놀이는 주파수가 비슷한 두 소리가 간섭을 일으켜 보강간섭과 소멸간섭을 교대로 일으켜 주기적으로 소리의 강약이 반복되는 현상을 말한다.
- ② 각 음파들의 주파수가 같은 경우 위상차가 π/2보다 큰 경우 서로 보강되나, π/2보다 작은 경우에는 서로 상쇄되어, 음의 회절현상을 나타낸다.
- ③ 정재파는 음압의 진폭이 최대점인 절(node)과 최소점인 복(loop)의 위치가 위상차이에 따라 유동적으로 변하는 경우를 뜻하며, 정상파라고도 한다.
- ④ 음원이 반사면에 있는 공간에 놓이는 경우 입사파와 반사파의 회절작용으로 정재파가 나타나며 벽면 가까이에서는 음압의 절(node)이 나타난다.
등록된 댓글이 없습니다.
20. 진동수 10Hz, 진동속도의 진폭이 5×10-3m/s인 정현진동의 진동가속도레벨(VAL)은? (단, 기준 10-5m/s2)
- ① 81dB
- ② 84dB
- ③ 87dB
- ④ 90dB
등록된 댓글이 없습니다.
2과목 : 소음방지기술
21. 팽창형 소음기에 관한 설명으로 가장 적합한 것은?
- ① 전파경로 상에 두 음의 간섭에 의해 소음을 저감시키는 원리를 이용한다.
- ② 고주파 대역에서 감음효과가 뛰어나다.
- ③ 단면 불연속부의 음에너지 반사에 의해 감음된다.
- ④ 감음주파수는 팽창부 단면적비에 의해 결정된다.
등록된 댓글이 없습니다.
22. 다음 중 음향투과등급(STC)에 관한 설명으로 옳은 것은?
- ① 어떤 벽체의 STC값이 작다면 그 벽체의 차음성능은 우수하다.
- ② 모든 중심주파수에서의 음향투과손실과 STC 기준선 사이의 dB차이의 합이 32dB를 초과하면 안된다.
- ③ 중심주파수 1KHz와 STC 기준선과 만나는 교점에서의 음향투과손실값이 피시험체의 STC값이 된다.
- ④ 1/3 옥타브대역 중심주파수에 해당하는 음향투과손실중에서 하나의 값이라도 STC 기준선과 비교하여 최대차이가 5dB를 초과하면 안된다.
등록된 댓글이 없습니다.
23. 다공질 재료의 흡음율에 관한 설명으로 옳지 않은 것은?
- ① 배후 공기층의 두께가 크게 되는 만큼 저주파수 영역의 흡음율이 높게 된다.
- ② 동일재료의 두께 증가와 더불어 중저음역의 흡음율이 크게 된다.
- ③ 폴리에틸렌, 비닐 등 얇은 막 다공질 재료의 표면처리는 두께 0.03㎜ 정도로, 팽팽하지 않게 하여 붙인다.
- ④ 동일 조건에서 주파수와 두께가 증가하면 흡읍율은 일반적으로 직선적으로 낮아지는 경향을 나타낸다.
등록된 댓글이 없습니다.
24. 면밀도가 각각 10㎏/m2, 20㎏/m2으로 되어 있는 중공이중벽이 있다. 저음역 공명 주파수가 100Hz가 되도록 할 때 공기층의 간격은 얼마인가? (단, 두 벽의 면밀도가 다를 경우의 실용식을 이용하여 계산)
- ① 약 54㎜
- ② 약 75㎜
- ③ 약 85㎜
- ④ 약 96㎜
등록된 댓글이 없습니다.
25. 20℃ 공기중의 음원 S에서 발생한 소리가 콘크리트벽(밀도ρ=2,300kg/m3, 영률 E=2.7×1010N/m2)에 수직입사 할 때, 이 벽체의 투과손실은?
- ① 29dB
- ② 37dB
- ③ 51dB
- ④ 59dB
등록된 댓글이 없습니다.
26. 실내의 잔향시간 T, 실부피 V, 내부표면적 S, 평균흡음율 α와의 관계로 옳은 것은?
- ①

- ②

- ③

- ④

등록된 댓글이 없습니다.
27. 단일벽에서 음파가 벽면에 수직입사 하고 있다. 벽체의 면밀도는 80kg/m2, 입사되는 주파수는 500Hz일 경우 벽면의 투과손실은? (단, ωm⨠ 2ρc인 경우)
- ① 39dB
- ② 49dB
- ③ 54dB
- ④ 69dB
등록된 댓글이 없습니다.
28. 균질인 단일벽의 두께를 4배로 할 경우일치효과의 한계주파수의 변화로 옳은 것은? (단, 기타 조건은 일정)
- ① 원래의 1/4
- ② 원래의 1/2
- ③ 원래의 2배
- ④ 원래의 4배
등록된 댓글이 없습니다.
29. 공장 내 두 벽과 바닥이 만나는 모서리에 90 dB의 소음을 유발하는 공기압축기가 있다. 이 공장의 내부체적은 200m3, 실내 전표면적은 220m2, 실내 평균흡음율은 0.4 일 때 공장 내에서 직접음과 잔향음이 같은 지점은 공기압축기로부터 얼마나 떨어져 있는가? (단, 공장 내 소음원은 공기압축기 1대로 가정한다.)
- ① 2.1m
- ② 4.8m
- ③ 9.0m
- ④ 11.5m
등록된 댓글이 없습니다.
30. 방음벽 설계시 고려사항으로 가장 거리가 먼 것은?
- ① 점음원의 경우 방음벽의 길이가 높이의 5배 이상이면 길이의 영향은 고려하지 않아도 된다.
- ② 음원측 벽면은 될 수 있는 한 흡음처리하여 반사음을 방지하는 것이 좋다.
- ③ 방음벽의 모든 도장은 전광택으로 반사율이 30 % 이하여야 하고, 방음벽의 높이가 일정할 때 음원과 수음점의 중간위치에 세우는 경우가 가장 효과적이다.
- ④ 방음벽에 의한 현실적 최대 회절감쇠치는 점음원의 경우 24dB, 선음원의 경우 22dB 정도로 본다.
등록된 댓글이 없습니다.
31. 산업기계에서 기류음에 의한 소음 방지대책으로 가장 거리가 먼 것은?
- ① 밸브를 다단화한다.
- ② 관의 곡률부위를 완화시킨다.
- ③ 분출유속을 저감시킨다.
- ④ 가진력을 억제시킨다.
등록된 댓글이 없습니다.
32. 공장 실내의 총 표면적이 330m2, 평균 흡음율이 0.28이라면 실정수는?
- ① 116.3m2
- ② 128.3m2
- ③ 143.8m2
- ④ 152.5m2
등록된 댓글이 없습니다.
33. 옥외에 있는 소음원에 대한 소음방지 대책으로 그다지 효과가 없는 것은 다음 중 어느 것인가?
- ① 소음원과 수음지점 사이의 거리를 멀리한다.
- ② 음원에 방향성이 있는 경우에는 그 방향을 바꾼다.
- ③ 음원에 방음커버를 설치한다.
- ④ 수음지점 바로 주위에 몇 그루의 나무를 심어서 차폐한다.
등록된 댓글이 없습니다.
34. 크기가 5m × 3m인 창 외부로부터 음압레벨 100dB의 음이 입사되고 있다. 이 벽면의 투과손실이 25dB이고, 실내의 흡음력이 30m2일 때, 실내의 음맙레벨(dB)은?
- ① 70dB
- ② 74dB
- ③ 78dB
- ④ 82dB
등록된 댓글이 없습니다.
35. 다음 중 흡음 덕트형 소음기에서 최대 감음 주파수의 범위로 가장 적합한 것은? (단, λ : 대상음 파장, D : 덕트 내경)
- ① λ/4 < D < 2λ
- ② λ/2 < D < λ
- ③ 2λ < D < 4λ
- ④ 4λ < D < 8λ
등록된 댓글이 없습니다.
36. 단일벽의 일치 효과에 대한 설명으로 옳지 않은 것은?
- ① 벽체의 굴곡운동에 의해 발생한다.
- ② 벽체의 두께가 상승하면 일치효과 주파수는 상승한다.
- ③ 벽체의 밀도가 상승하면 일치효과 주파수는 상승한다.
- ④ 일치효과 주파수는 벽체에 대한 입사음의 각도에 따라 변동한다.
등록된 댓글이 없습니다.
37. 소음 등의 제어를 위한 자재류의 기능에 관한 설명으로 가장 거리가 먼 것은?
- ① 소음기 : 기체의 비정상흐름에서 정상흐름으로 전환
- ② 차진재 : 구조적 진동과 진동 전달력 저감
- ③ 흡음재 : 음에너지의 전환(음에너지가 적기 때문에 소량의 열에너지로 변환)
- ④ 차음재 : 음에너지 감쇠
등록된 댓글이 없습니다.
38. 소음기 성능표시방법 중 소음원에 소음기를 부착하기 전과 후의 공간상의 어떤 특정위치에서 측정한 음압레벨의 차와 그 측정위치로 정의되는 것은?
- ① 삽입손실치(IL)
- ② 감음량(NR)
- ③ 투과손실치(TL)
- ④ 감음계수(NRC)
등록된 댓글이 없습니다.
39. 입구 및 팽창부의 직격이 각각 50㎝, 120㎝인 팽창형 소음기에 의해 기대할 수 있는 대략적인 최대투과손실치는? (단, 대상주파수는 한계주파수보다 작다.(f < fc 범위))
- ① 약 10dB
- ② 약 20dB
- ③ 약 30dB
- ④ 약 40dB
등록된 댓글이 없습니다.
40. 다음 중 실내 평균 흡음율을 구하는 방법에 해당하는 것은?
- ① 잔향시간 측정에 의한 방법
- ② 관내법
- ③ TL 산출법
- ④ 정재파법
등록된 댓글이 없습니다.
3과목 : 소음진동 공정시험 기준
41. 환경기준 중 소음 측정방법으로 가장 거리가 먼 것은?
- ① 소음계의 마이크로폰은 측정위치에 받침장치를 설치하지 않고 측정하는 것을 원칙으로 한다.
- ② 소음계의 마이크로폰은 주소음원 방향으로 향하도록 하여야 한다.
- ③ 풍속이 2㎧이상일 때에는 반드시 마이크로폰에 방풍망을 부착하여야 한다.
- ④ 진동이 많은 장소 또는 전자장(대형 전기기계, 고압선 근처 등)의 영향을 받는 곳에서는 적절한 방지책(방진, 차폐 등)을 강구하여야 한다.
등록된 댓글이 없습니다.
42. 규제기준 중 생활진동 측정방법으로 옳지 않은 것은?
- ① 진동레벨계의 감각보정회로는 별도 규정이 없는 한 V특성(수직)에 고정하여 측정하여야 한다.
- ② 측정점은 피해가 예상되는 자의 부지경계선 중 진동레벨이 높을 것으로 예상되는 지점을 택하여야 한다.
- ③ 진동픽업(Pick-up)의 설치장소는 옥외지표를 원칙으로 하고, 완충물이 없고, 충분히 다져서 단단히 굳은 장소로 하며, 수평면을 충분히 확보할 수 있는 장소로 한다.
- ④ 측정시간 및 측정지점수는 피해가 예상되는 적절한 측정시각에서 1개의 측정지점을 선택하여 측정한 진동레벨을 측정진동레벨로 한다.
등록된 댓글이 없습니다.
43. 소음계를 기본구조와 부속장치로 구분할 때 다음 중 기본구조에 해당되지 않는 것은?
- ① 동특성 조절기
- ② 지시계기
- ③ 레벨레인지 변환기
- ④ 표준음 발생기
등록된 댓글이 없습니다.
44. 1일 동안의 평균 최고소음도가 92dB(A)이고, N1, N2, N3, N4 항공기 통과횟수가 각각 50, 300, 40, 10대 일 때, 1일 단위의 WECPNL은?
- ① 86
- ② 88
- ③ 91
- ④ 95
등록된 댓글이 없습니다.
45. 다음 중 각 기준(한도)이 명시되어 있는 법령의 연결로 옳지 않은 것은?
- ① 소음환경기준 : 환경정책기본법 시행령
- ② 공장소음배출허용기준 : 소음진동관리법 시행규칙
- ③ 도로교통진동한도 : 환경정책기본법 시행령
- ④ 생활소음규제기준 : 소음진동관리법 시행규칙
등록된 댓글이 없습니다.
46. 진동레벨계의 성능기준으로 옳은 것은?
- ① 진동픽업의 횡감도는 규정주파수에서 수감축 감도에 대한 차이가 15dB 이상이어야 한다.(연직특성)
- ② 레벨레인지 변환기가 있는 기기에 있어서 레벨레인지 변환기의 전환오차가 1dB 이내이어야 한다.
- ③ 지시계기의 눈금오차는 1dB 이내이어야 한다.
- ④ 측정가능 주파수 범위는 20~20000Hz 이상이어야 한다.
등록된 댓글이 없습니다.
47. 진동레벨기록기를 사용하여 측정할 경우 기록지상의 지시치의 변동폭이 5dB 이내일 때 측정자료 분석이 다른 기준 또는 한도는?
- ① 도로교통진동한도
- ② 철도진동한도
- ③ 생활진동규제기준
- ④ 진동배출허용기준
등록된 댓글이 없습니다.
48. 소음·진동공정시험기준상 “정상소음”의 정의로 옳은 것은?
- ① 시간적으로 변동폭이 일정한 소음을 말한다.
- ② 시간적으로 변동하지 아니하거나 또는 변동폭이 작은 소음을 말한다.
- ③ 장애물 등 소음에 영향을 미치는 요소 없이 발생되는 소음을 말한다.
- ④ 충격소음, 연속소음 외에 소음원으로부터 발생되는 소음을 말한다.
등록된 댓글이 없습니다.
49. 다음은 소음도 기록기 또는 소음계만을 사용하여 측정할 경우 등가소음도 계산방법이다. ( )안에 알맞은 것은?

- ① 5초 간격으로 60회
- ② 10초 간격으로 30회
- ③ 15초 간격으로 20회
- ④ 20초 간격으로 10회
등록된 댓글이 없습니다.
50. 다음은 규제기준 중 생활진동 측정방법 중 측정자료 분석방법이다. ( )안에 알맞은 것은?

- ① 80% 범위의 상단치인 L10 값
- ② 80% 범위의 하단치인 L10 값
- ③ 90% 범위의 상단치인 L10 값
- ④ 90% 범위의 상단치인 L10 값
등록된 댓글이 없습니다.
51. 규제기준 중 발파진동 평가를 위한 보정 시 보정값으로 옳은 것은? (단, N은 시간대별 보정발파횟수이다.
- ① (+5 log N : N >1)
- ② (+10 log N : N >1)
- ③ (+20 log N : N >1)
- ④ (+50 log N : N >1)
등록된 댓글이 없습니다.
52. 진동 측정기기 중 지시계기의 눈금오차는 얼마 이내이어야 하는가?
- ① 0.5dB 이내
- ② 1dB 이내
- ③ 5dB 이내
- ④ 15dB 이내
등록된 댓글이 없습니다.
53. 다음은 진동레벨계의 부속장치에 관한 설명이다. ( )안에 알맞은 것은?

- ① ① 표준진동 발생기, ② ±1
- ② ① 표준진동 발생기, ② ±10
- ③ ① 레벨레인지변환기, ② ±1
- ④ ① 레벨레인지변환기, ② ±10
등록된 댓글이 없습니다.
54. 철도소음한도 측정방법으로 옳지 않은 것은?
- ① 밤 시간대는 1회 1시간 동안 측정한다.
- ② 손으로 소음계를 잡고 측정할 경우 소음계는 측정자의 몸으로부터 0.5m 이상 떨어져야 한다.
- ③ 소음계의 청감보정회로는 C특성에 고정하여 측정한다.
- ④ 소음계의 동측성은 원칙적으로 빠름(fast)모드를 하여 측정한다.
등록된 댓글이 없습니다.
55. 철도진동한도 측정자료 분석방법으로 가장 거리가 먼 것은?
- ① 열차통과시마다 최고진동레벨이 배경진동레벨보다 최소 5dB이상 큰것에 한하여 기록한다.
- ② 연속 10개 열차(상하행 포함)이상을 대상으로 최고진동레벨을 측정·기록한다.
- ③ 열차의 운행횟수가 밤ㆍ낮 시간대별로 1일 50회 미만인 경우에는 측정열차수를 줄여 그 중 중앙값 이상을 산술평균한 값을 철도진동레벨로 할 수 있다.
- ④ 기상조건, 열차의 운행횟수 및 속도 등을 고려하여 당해지역의 1시간 평균 철도 통행량 이상인 시간대에 측정한다.
등록된 댓글이 없습니다.
56. 진동레벨계만으로 측정시 진동레벨을 읽는 순간에 지시침이 지시판 범위 위를 벗어날 때 그 발생빈도가 5회이었다. L10이 75dB(V)이라면 보정후 L10은?
- ① 75dB(V)
- ② 77dB(V)
- ③ 78dB(V)
- ④ 80dB(V)
등록된 댓글이 없습니다.
57. 다음은 소음측정기기 중 지시계기에 관한 성능기준이다. ( )안에 들어갈 내용으로 가장 적합한 것은?

- ① ① 15dB이상, ② 0.5dB 이하
- ② ① 15dB이상, ② 1dB 이하
- ③ ① 20dB이상, ② 0.5dB 이하
- ④ ① 20dB이상, ② 1dB 이하
등록된 댓글이 없습니다.
58. 다음은 배경소음 보정에 관한 내용이다. ( )안에 가장 적합한 것은?

- ① 0.1 ~ 9.9 dB
- ② 1.0 ~ 9.9 dB
- ③ 2.0 ~ 9.9 dB
- ④ 3.0 ~ 9.9 dB
등록된 댓글이 없습니다.
59. 진동레벨계만으로 측정할 경우 진동레벨을 읽는 순간에 지시침이 지시판 범위 위를 벗어날 때 그 발생빈도와 보정치 기준으로 옳은 것은?
- ① 발생빈도가 5회 이상이면 L10값에 2dB를 더해준다.
- ② 발생빈도가 6회 이상이면 L10값에 2dB를 더해준다.
- ③ 발생빈도가 5회 이상이면 L10값에 3dB를 더해준다.
- ④ 발생빈도가 6회 이상이면 L10값에 3dB를 더해준다.
등록된 댓글이 없습니다.
60. 다음 중 발파진동 측정자료 평가표 서식에 명시되어 있지 않은 것은?
- ① 폭약의 종류
- ② 측정자의 소속, 성명
- ③ 도로구조 및 교통특성
- ④ 사업주 성명
등록된 댓글이 없습니다.
4과목 : 진동방지기술
61. 스프링정수 K1 = 80 N/m, K2 = 120 N/m인 두 스프링을 그림과 같이 직렬로 연결하고 질량 m = 3kg을 매달았을 때, 수직방향 진동의 고유 진동수는?

- ① 1/π Hz
- ② 2/π Hz
- ③ 3/π Hz
- ④ 4/π Hz
등록된 댓글이 없습니다.
62. 지반진동 차단 구조물에 관한 설명으로 가장 거리가 먼 것은?
- ① 수동차단은 진동원에서 비교적 멀리 떨어져 문제가 되는 특정 수진 구조물 가까이 설치되는 경우를 말한다.
- ② 개방식 방진구는 굴착벽의 함몰로 시공깊이에 제약이 따른다.
- ③ 공기층을 이용하는 개방식 방진구가 충진식 방진벽에 비해 파 에너지 차단(반사)특성이 크게 떨어진다.
- ④ 방진구에서 가장 중요한 설계인자는 트랜치의 깊이로서 트랜치의 폭, 형상, 위치 등의 영향은 경미한 편이다.
등록된 댓글이 없습니다.
63. 점성감쇠를 갖는 강제 진동계에서 최대진폭이 생기는 진동수비는? (단, ξ는 감쇠비이다.)
- ①

- ②

- ③

- ④

등록된 댓글이 없습니다.
64. 발생메카니즘에 의한 분류 중 계수여진진동에 관한 설명으로 가장 적합한 것은?
- ① 대표적인 예는 바이올린 현의 진동이다.
- ② 회전하는 편평축의 진동, 왕복운동 기계의 크랭크축계의 진동도 계수여진진동에 해당한다.
- ③ 단조기나 프레스 등에서 발생하는 진동으로 물체의 힘이나 충격에 의한 진동이다.
- ④ 이 진동의 대책으로는 감쇠력을 제거하고, 강제진동수가 고유진동수의 2배로 되게 한다.
등록된 댓글이 없습니다.
65. 기계 중량 1000N, 평균 코일직경 100㎜, 소선의 지름 20㎜, 재료의 전단 탄성율 80×103 N/mm2, 유효 권선의 수는 100 일 때, 이 코일스프링의 정적 수축량은?
- ① 55.5㎜
- ② 59.5㎜
- ③ 62.5㎜
- ④ 67.5㎜
등록된 댓글이 없습니다.
66. 진동수의 크기가 ω2≤ωn2일 경우 응답진폭의 크기(x(ω))로 옳은 것은? (단, Ce 감쇠계수, ω강제각진동수, ωn고유각진동수)
- ① F0/k
- ② F0/mω2
- ③ F0/Ceω
- ④ F0/Ceω2
등록된 댓글이 없습니다.
67. 금속스프링의 특징에 관한 설명으로 옳지 않은 것은?
- ① 환경요소에 대한 저항성이 큰 편이다.
- ② 로킹(roking)이 일어나지 않도록 주의해야 한다.
- ③ 최대변위가 허용되며 저주파 차진에 좋다.
- ④ 감쇠능력이 현저하여 공진시 전달율을 최소화 할 수 있다.
등록된 댓글이 없습니다.
68. 전달력이 항상 외력보다 작기 때문에 차진이 유효한 영역으로 옳은 것은? (단, f: 외부에서 가해지는 강제진동수, fn : 고유진동수)
- ① f/fnh<√2
- ② f/fnh>√2
- ③ f/fnh=√2
- ④ f/fnh=1
등록된 댓글이 없습니다.
69. 진동방지대책을 발생원대책, 전파경로대책, 수진대상대책으로 구분할 때, 다음 중 일반적으로 전파경로대책에 해당하는 것은?
- ① 완충지역 설치
- ② 진동전달감소장치 사용
- ③ 기초의 질량 및 강성증가
- ④ 건물구조 개조
등록된 댓글이 없습니다.
70. 임계감쇠계수 Cc를 옳게 표시한 것은? (단, 감쇠비는 1, m: 질량, k: 스프링 정수, ωn: 고유각진동수)
- ①

- ② Cc=2ωnㆍm
- ③ Cc=2ωnㆍmk
- ④

등록된 댓글이 없습니다.
71. 비감쇠강제진동에서 일 때의 정상상태의 진폭을 X1이라하면, 일 때의 정상상태 진폭 X2은?
- ①

- ②

- ③

- ④ X2=2X1
등록된 댓글이 없습니다.
72. 다음은 감쇠비(ξ)가 어떤 조건을 만족할 때의 그림인가?

- ① ξ= 0
- ② 0 < ξ< 1
- ③ ξ= 1
- ④ ξ> 1
등록된 댓글이 없습니다.
73. 진동하는 금속면을 고무로 진동절연하여 진동의 감쇠량이 27dB가 되도록 하였다. 이 때 진동의 반사율은?
- ① 0.991
- ② 0.995
- ③ 0.998
- ④ 0.999
등록된 댓글이 없습니다.
74. 그림과 같은 U자관내의 유체 운동은 자유진동으로 해석할 수 있다. 다음 중 유체운동의 주기는? (단, ℓ은 유체기둥의 길이이다.)

- ①

- ②

- ③

- ④

등록된 댓글이 없습니다.
75. 진동원에서 1m 떨어진 지점의 진동레벨을 150dB라고 하면 10m 떨어진 지점의 진동레벨은? (단, 이 진동파는 표면파(n=0.5)이고, 지반전파의 감쇠정수 λ=0.05 이다.)
- ① 136dB
- ② 105dB
- ③ 92dB
- ④ 87dB
등록된 댓글이 없습니다.
76. 다음은 어떤 감쇠에 관한 설명인가?

- ① 건마찰감쇠
- ② 점성감쇠
- ③ 쿨롱감쇠
- ④ 구조감쇠
등록된 댓글이 없습니다.
77. 방진고무에 관한 설명으로 옳지 않은 것은?
- ① 내부감쇠저항이 적으므로 추가로 감쇠장치가 필요하다.
- ② 역학적 성질은 천연고무가 우수하지만 용도에 따라 합성고무도 사용된다.
- ③ 내유성을 필요로 할 때에는 천연고무보다는 합성고무를 선정해야 한다.
- ④ 설계 및 부착이 비교적 간결하고 금속과도 견고하게 접착할 수 있다.
등록된 댓글이 없습니다.
78. 그림과 같이 단진자가 진동할 때 단진자의 고유진동수와의 관계로 옳은 것은? (단, 단진자의 길이는 l, 질량은 m, θ의 각도로 회전한다.)

- ① 고유진동수는 m에 비례
- ② 고유진동수는 m에 반비례
- ③ 고유진동수는 l의 제곱근에 반비례
- ④ 고유진동수는 l에 반비례
등록된 댓글이 없습니다.
79. 진동원에서 발생하는 가진력은 특성에 따라 기계회전부의 질량 불평형, 기계의 왕복운동 및 충격에 의한 가진력 등으로 대별되는데 다음 중 발생 가진력이 주로 충격에 의해 발생하는 것은?
- ① 단조기
- ② 전동기
- ③ 송풍기
- ④ 펌프
등록된 댓글이 없습니다.
80. 비감쇠 강제진동의 전달율을 표시한 식으로 옳은 것은? (단, γ= 진동수비)
- ①

- ②

- ③

- ④

등록된 댓글이 없습니다.
5과목 : 소음진동 관계 법규
81. 소음진동관리법규상 환경기술인을 두어야 하는 경우 환경정책기본법에 따른 환경기술인의 교육기관으로 옳은 것은?
- ① 국립환경과학원
- ② 환경보전협회
- ③ 국립환경인력개발원
- ④ 환경관리인협회
등록된 댓글이 없습니다.
82. 다음은 소음진동관리법규상 교육대상자의 선발 및 등록에 관한 사항이다. ( )안에 가장 적합한 것은?

- ① ① 매년 11월 30일, ② 15일 전
- ② ① 매년 11월 30일, ② 30일 전
- ③ ① 매년 1월 31일, ② 15일 전
- ④ ① 매년 1월 31일, ② 30일 전
등록된 댓글이 없습니다.
83. 소음진동관리법규상 소음발생건설기계의 소음도 검사성적서에 기재되는 인정내용으로 가장 거리가 먼 것은?
- ① 제작사
- ② 최소출력
- ③ 제작국
- ④ 음향파워레벨
등록된 댓글이 없습니다.
84. 소음진동관리법규상 제작자동차의 배기소음허용기준(dB(A))으로 옳지 않은 것은? (단, 2006년 1월 1일 이후에 제작되는 자동차 기준)
- ① 소형 승용자동차 : 100 이하
- ② 대형 승용자동차(원동기출력 195마력 초과) : 105 이하
- ③ 대형 화물자동차(원동기출력 97.5마력 이하) : 112 이하
- ④ 이륜자동차(총배기량 80cc 이하) : 102 이하
등록된 댓글이 없습니다.
85. 소음진동관리법규상 준공업지역의 시간대별 공장진동배출허용기준은?
- ① 낮 시간대 65dB(V) 이하
- ② 밤 시간대 65dB(V) 이하
- ③ 낮 시간대 60dB(V) 이하
- ④ 밤 시간대 60dB(V) 이하
등록된 댓글이 없습니다.
86. 환경정책기본법령상 소음의 환경기준으로 옳은 것은?
- ① 낮 시간대 일반지역의 녹지지역 : 50 LeqdB(A)
- ② 낮 시간대 도로변지역의 녹지지역 : 50LeqdB(A)
- ③ 밤 시간대 일반지역의 녹지지역 : 50LeqdB(A)
- ④ 밤 시간대 도로변지역의 녹지지역 : 50LeqdB(A)
등록된 댓글이 없습니다.
87. 소음진동관리법령상 인증을 면제할 수 있는 자동차에 해당하는 것은?
- ① 방송용 등 특수한 용도로 사용되는 자동차로서 환경부장관이 정하여 고시하는 자동차
- ② 외국에서 1년 이상 거주한 내국인이 주거를 이전하기 위하여 이주물품으로 반입하는 1대의 자동차
- ③ 관세법 규정에 따라 공매되는 자동차로서 환경부장관이 정하여 고시하는 자동차
- ④ 주한 외국군인 또는 그 가족이 사용하기 위하여 반입하는 자동차
등록된 댓글이 없습니다.
88. 소음진동관리법규상 생활진동 규제기준 중 발파진동의 경우 보정기준으로 옳은 것은?
- ① 주간에만 규제기준치에 +5dB을 보정한다.
- ② 주간에만 규제기준치에 +10dB을 보정한다.
- ③ 야간에만 규제기준치에 +5dB을 보정한다.
- ④ 야간에만 규제기준치에 +10dB을 보정한다.
등록된 댓글이 없습니다.
89. 소음진동관리법규상 자동차제작자의 권리·의무의 승계를 신고하고자 하는 자는 그 신고사유가 발생한 날부터 최대 며칠 이내에 인증서 원본과 그 승계 사실을 증명하는 서류 등을 환경부장관에게 제출하여야 하는가?
- ① 10일 이내
- ② 15일 이내
- ③ 30일 이내
- ④ 60일 이내
등록된 댓글이 없습니다.
90. 소음진동관리법상 환경부장관은 법에 의한 인증을 받아 제작한 자동차의 소음이 제작차 소음허용기준에 적합한지의 여부를 확인하기 위하여 대통령령으로 정하는 바에 따라 검사를 실시하여야 하는데, 이 때 검사에 드는 비용은 누가 부담하는가?
- ① 국가
- ② 지방자치단체
- ③ 자동차제작자
- ④ 검사기관
등록된 댓글이 없습니다.
91. 소음진동관리법규상 소음배출시설기준으로 옳비 않은 것은? (단, 마력기준시설 및 기계·기구)
- ① 10마력 이상의 압축기(나사식 압축기는 50마력 이상으로 한다.)
- ② 10마력 이상의 연탄제조용 윤전기
- ③ 20마력 이상의 목재가공기계
- ④ 20마력 이상의 공작기계
등록된 댓글이 없습니다.
92. 소음진동관리법규상 운행자동차의 경적소음허용기준으로 옳은 것은? (단, 2006년 1월 1일 이후에 제작되는 자동차로서 경자동차 기준)
- ① 100dB(C) 이하
- ② 105dB(C) 이하
- ③ 110dB(C) 이하
- ④ 112dB(C) 이하
등록된 댓글이 없습니다.
93. 소음진동관리법규상 특별시장 등이 점검결과 운행차의 소음덮개를 떼어버린 경우로서 그 자동차 소유자에게 운행차 개선명령을 하려는 경우, 그 개선에 필요한 기간은 개선명령일부터 며칠로 하는가?
- ① 5일
- ② 7일
- ③ 10일
- ④ 14일
등록된 댓글이 없습니다.
94. 소음진동관리법상 사용되는 용어의 뜻으로 옳지 않은 것은?
- ① 교통기관 : 기차·자동차·전차·도로 및 철도 등을 말한다. 다만, 항공기와 선박은 제외
- ② 진동 : 기계·기구·시설, 그 밖의 물체의 사용으로 인하여 발생하는 강한 흔들림
- ③ 방진시설 : 소음·진동배출시설이 아닌 물체로부터 발생하는 진동을 없애거나 줄이는 시설로서 환경부령으로 정하는 것
- ④ 소음발생건설기계 : 건설공사에 사용하는 기계 중 소음이 발생하는 기계로서 국토교통부령으로 정하는 것
등록된 댓글이 없습니다.
95. 소음진동관리법규상 자동차의 종류기준에 관한 사항으로 옳지 않은 것은? (단, 2006년 1월 1일부터 제작되는 자동차 기준)
- ① 경자동차는 주로 적은 수의 사람 또는 화물을 운송하기에 적합하게 제작된 것으로서 엔진배기량 1,000cc 미만이다.
- ② 이륜자동차에는 옆 차붙이 이륜자동차 및 이륜차에서 파생된 3륜 이상의 최고속도 50km/h를 초과하는 이륜자동차를 포함한다.
- ③ 전기를 주동력으로 사용하는 자동차는 차량총중량이 1.5톤 미만에 해당되는 경우에는 경자동차로 구분한다.
- ④ 이륜자동차는 주로 1명 또는 2명 정도의 사람을 운송하기에 적합하게 제작된 것으로서 엔진배기량 100cc 이상 및 빈 차 중량 1톤 미만을 말한다.
등록된 댓글이 없습니다.
96. 소음진동관리법규상 생활소음의 규제기준 중 아침시간대의 기준으로 옳은 것은?
- ① 05:00 ~ 07:00
- ② 05:00 ~ 08:00
- ③ 06:00 ~ 09:00
- ④ 06:00 ~ 08:00
등록된 댓글이 없습니다.
97. 소음진동관리법규상 공사장 방음벽시설 설치기준으로 옳은 것은?
- ① 방음벽시설 전후의 소음도 차이(삽입손실)는 최소 5dB 이상되어야 하며, 높이는 2m 이상되어야 한다.
- ② 방음벽시설 전후의 소음도 차이(삽입손실)는 최소 7dB 이상되어야 하며, 높이는 2m 이상되어야 한다.
- ③ 방음벽시설 전후의 소음도 차이(삽입손실)는 최소 5dB 이상되어야 하며, 높이는 3m 이상되어야 한다.
- ④ 방음벽시설 전후의 소음도 차이(삽입손실)는 최소 7dB 이상되어야 하며, 높이는 3m 이상되어야 한다.
등록된 댓글이 없습니다.
98. 소음진동관리법규상 가전제품을 제조하는 사업자 등은 환경부장관이 실시하는 소음도 검사를 받아 저소음기준에 적합한 경우에는 저소음표지를 부착할 수 있는데, 이 저소음표지의 규격(크기)기준으로 옳은 것은?
- ① 50㎜ × 50㎜
- ② 60㎜ × 60㎜
- ③ 70㎜ × 70㎜
- ④ 80㎜ × 80㎜
등록된 댓글이 없습니다.
99. 소음진동관리법규상 생활소음·진동이 발생하는 공사로서 “환경부령으로 정하는 특정공사” 기준에 해당하는 공사가 아닌 것은? (단, 특정공사의 사전신고대상기계ㆍ장비를 5일 이상 사용하는 공사를 대상으로 한다.)
- ① 총연장이 100미터 이상 또는 굴착 토사량의 합계가 100 세제곱미터 이상인 굴정공사
- ② 연면적이 1천제곱미터 이상인 건축물의 건축공사 및 연면적이 3천제곱미터 이상인 건축물의 해체공사
- ③ 면적 합계가 1천제곱미터 이상인 토공사(土工事)ㆍ정지공사(整地工事)
- ④ 구조물의 용적 합계가 1천제곱미터 이상 또는 면적합계가 1천제곱미터 이상인 토목건설공사
등록된 댓글이 없습니다.
100. 소음진동관리법규상 진동배출시설기준으로 옳지 않은 것은? (단, 동력을 사용하는 시설 및 기계ㆍ기구로 한정한다.)
- ① 20마력 이상의 프레스(유압식은 제외한다.)
- ② 30마력 이상의 단조기
- ③ 30마력 이상의 목재가공기계
- ④ 30마력 이상의 연탄제조용 윤전기
등록된 댓글이 없습니다.