소음진동기사(2013. 9. 28.) 시험일자 : 2013년 9월 28일
1과목 : 소음진동개론
1. 가로 7m, 세로 3.5m의 벽면밖에서 음압레벨이 112dB이라면 15m떨어진 곳은 몇 dB인가? (단, 면음원 기준)
- ① 76.4dB
- ② 85.8dB
- ③ 88.9dB
- ④ 92.8dB
등록된 댓글이 없습니다.
2. 소음의 영향으로 거리가 먼 것은?
- ① 말초혈관을 수축시키며, 맥박을 증가시킨다.
- ② 호흡깊이를 감소시키며, 호흡회수를 증가시킨다.
- ③ 타액분비량을 감소시키며, 위액산도를 증가시킨다.
- ④ 백혈구 수를 증가시키며, 혈중 아드레날린을 증가시킨다.
등록된 댓글이 없습니다.
3. 지향지수가 6dB일 때 지향계수는?
- ① 4.60
- ② 4.35
- ③ 3.98
- ④ 3.56
등록된 댓글이 없습니다.
4. 중심주파수 750Hz일 때 1/1옥타브밴드 분석기(정비형 필터)의 상한주파수는?
- ① 841Hz
- ② 945Hz
- ③ 1060Hz
- ④ 1500Hz
등록된 댓글이 없습니다.
5. 진동의 영향에 관한 설명으로 옳은 것은?
- ① 4~14Hz에서 복통을 느끼고, 9~20Hz에서는 대소변을 보고 싶게 한다.
- ② 수직 및 수평진동이 동시에 가해지면 10배 정도의 자각 현상이 나타난다.
- ③ 6Hz에서 머리는 가장 큰 진동을 느낀다.
- ④ 20~30Hz부근에서 심한 공진현상을 보여 가해진 진동보다 크게 느끼고, 진동수 증가에 따라 감쇠는 급격히 감소한다.
등록된 댓글이 없습니다.
6. 다음 중 흡음감쇠가 가장 큰 경우는?
- ① [주파수, Hz]:4000, [기온, °C]:-10, [상대습도, %]:50
- ② [주파수, Hz]:2000, [기온, °C]:0, [상대습도, %]:50
- ③ [주파수, Hz]:1000, [기온, °C]:-10, [상대습도, %]:70
- ④ [주파수, Hz]:500, [기온, °C]:10, [상대습도, %]:85
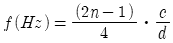
등록된 댓글이 없습니다.
7. 다음 주파수 범위(Hz)중 인간의 청각에서 가장 강도가 좋은 것은?
- ① 20 ~ 100
- ② 100 ~ 500
- ③ 500 ~ 1,000
- ④ 2,000 ~ 5,000
등록된 댓글이 없습니다.
8. 다음은 자유진동의 해법 중 어떤 방법에 관한 설명인가?

- ① 완전해법
- ② 집중파라미터 표현법
- ③ Ritz법
- ④ Hamilton법
등록된 댓글이 없습니다.
9. 음파의 종류에 관한 설명으로 옳지 않은 것은?
- ① 정재파 : 둘 또는 그 이상의 음파의 구조적 간섭에 의해 시간적으로 일정하게 음압의 최고와 최저가 반복되는 패턴의 파
- ② 평면파 : 음파의 파면들이 서로 평행한 파
- ③ 구면파 : 음원에서 진행 방향으로 큰 에너지를 방출 할 때 발생하는 파
- ④ 발산파 : 음원으로부터 거리가 멀어질수록 더욱 넓은 면적으로 퍼져나가는 파
등록된 댓글이 없습니다.
10. 다음은 인체의 귓구멍(외이도)를 나타낸 그림이다. 이 때 공명 기본음 주파수 대역은? (단, 음속은 340m/s 이다.)

- ① 750 Hz
- ② 3400 Hz
- ③ 6800 Hz
- ④ 12143 Hz
등록된 댓글이 없습니다.
11. 지반을 전파하는 파에 관한 설명으로 옳지 않은 것은?
- ① 지표진동 시 주로 계측되는 파는 R파이다.
- ② R파는 역2승법칙으로 대략 감쇠된다.
- ③ 표면파의 전파속도는 일반적으로 횡파의 92~96% 정도이다.
- ④ 파동에너지비율은 R파가 S파 및 P파에 비해 높다.
등록된 댓글이 없습니다.
12. 항공기 소음의 특징에 관한 설명으로 가장 거리가 먼 것은?
- ① 제트엔진으로부터 기체가 고속으로 배출될 때 발생하는 소음은 기체배출속도의 제곱근에 비례하여 증가한다.
- ② 회전날개의 선단속도가 음속 이상일 경우 회전날개 끝에 생기는 충격파가 고정된 날개에 부딪쳐 소음을 발생시킨다.
- ③ 회전날개에 의해 발생된 소음은 고음성분이 많으며 감각적으로 인간에게 큰 자극을 준다.
- ④ 회전날개의 선단속도가 음속 이하일 경우는 날갯수에 회전수를 곱한 값의 정수배 순음을 발생시킨다.
등록된 댓글이 없습니다.
13. 진동레벨 산정 시 수직보정곡선에서 주파수대역이 8 ≤ f ≤ 90Hz 일 때 보정치 물리량(m/s2)은?
- ①

- ② 10-5
- ③ 0.125×10×-5×f
- ④

등록된 댓글이 없습니다.
14. 청력에 관한 내용으로 옳지 않은 것은?
- ① 음의 대소는 음파의 진폭(음압)의 크기에 따른다.
- ② 음의 고저는 음파의 주파수에 따라 구분된다.
- ③ 4분법에 의한 청력손실이 옥타브밴드 중심주파수가 500~2000Hz범위에서 5dB이상이면 난청이라 한다.
- ④ 청력손실이란 청력이 정상인 사람의 최소 가청치와 피검자의 최소 가청치와의 비를 dB로 나타낸 것이 다.
등록된 댓글이 없습니다.
15. 그림과 같이 질량은 1kg, 100N/m 강성을 갖는 스프링 4개가 연결된 진동계가 있다. 이 진동계의 고유진동수(Hz)는?

- ① 0.80
- ② 1.59
- ③ 3.18
- ④ 6.37
등록된 댓글이 없습니다.
16. 실정수 200m2인 실내 중앙의 바닥 위에 설치되어 있는 소형기계의 파워레벨이 100dB 이었다. 이 기계로부터 5m 떨어진 실내의 한 점에서의 음압레벨(SPL)은?
- ① 74dB
- ② 84dB
- ③ 94dB
- ④ 114dB
등록된 댓글이 없습니다.
17. 마스킹(masking)효과에 관한 설명으로 옳지 않은 것은?
- ① 음파의 간섭현상에 의한 것으로 저음이 고음을 잘 마스킹 한다.
- ② 두 음의 주파수가 서로 거의 같을 때는 맥동현상에 의해 마스킹 효과가 감소한다.
- ③ 두 음의 주파수가 비슷할 EO는 마스킹 효과가 대단히 커진다.
- ④ 주파수가 비슷한 두 음원이 이동시 진행방향 쪽에서는 원래 음보다 고음이 되어 마스킹 효과가 감소하는 현상을 의미한다.
등록된 댓글이 없습니다.
18. 인체 귀의 구성요소 중 초저주파소음의 전달과 진동 에 따르는 인체의 평형을 담당하고 있는 부분은?
- ① 3개의 청소골
- ② 유스타키오관
- ③ 세반고리관 및 전정기관
- ④ 고막과 섬모세포
등록된 댓글이 없습니다.
19. 아래 그림과 같이 진동하는 파의 감쇠특성으로 적합한 것은? (단, 감쇠비는 ξ이다.)

- ① ξ= 0
- ② 0 < ξ < 1
- ③ 1/2< ξ< 1
- ④ ξ> 1
등록된 댓글이 없습니다.
20. 옥외의 자유공간에 설치된 무지향성 소음원의 음향파워레벨이 105dB 이다. 이 소음원으로부터 20m 떨어진 곳에서의 음압레벨은?
- ① 68dB
- ② 71dB
- ③ 84dB
- ④ 87dB
등록된 댓글이 없습니다.
2과목 : 소음방지기술
21. 콘크리트(면적 30m2, TL=40dB)와 유리창(면적 10m2, TL=15dB)으로 구성된 벽이 있을 때 유리 창을 3m2만큼 열었다. 이 때의 총합투과손실(dB) 은?
- ① 11dB
- ② 13dB
- ③ 15dB
- ④ 17dB
등록된 댓글이 없습니다.
22. 평균 흡음율이 0.3이고, 내부표면적이 500m2인 건물의 실정수는?
- ① 150.2m2
- ② 183.4m2
- ③ 208.2m2
- ④ 214.3m2
등록된 댓글이 없습니다.
23. 구멍직경 8.5mm, 구멍간 상하좌우간격 22mm, 두께 15mm인 다공판을 30mm의 공기층을 두고 설치할 경우 공명주파수는 약 얼마인가? (단, 구멍의 크기가 음의 파장에 비해 매우 적고, 음속은 340m/s 이다.)
- ① 561Hz
- ② 725Hz
- ③ 916Hz
- ④ 1010Hz
등록된 댓글이 없습니다.
24. 균질의 단일벽 두께를 2배로 할 경우 일치효과의 한계주파수는 어떻게 변화 되겠는가? (단, 기타 조건은 일정하다.)
- ① 처음의 1/4
- ② 처음의 1/2
- ③ 처음의 2배
- ④ 처음의 4배
등록된 댓글이 없습니다.
25. 직관 흡음 덕트형 소음기에 관한 설명으로 가장 거리가 먼 것은?
- ① 통과 유속은 50m/s 이하로 하는 것이 좋다.
- ② 감음의 특성은 중ㆍ고음역에서 좋다.
- ③ 덕트의 내경이 대상음의 파장보다 큰 경우는 cell형이나 splitter형으로 하여 목적주파수를 감음시킨다.
- ④ 덕트의 최단 횡단길이는 고주파 beam을 방해하는 크기
등록된 댓글이 없습니다.
26. 어떤 공장내에 아래의 조건을 만족하는 A실과 B실이있다. 잔향시간 측정방법에 의한 A실의 잔향시간을3초라 할 때, B실의 잔향시간은?

- ① 2초
- ② 3초
- ③ 4초
- ④ 6초
등록된 댓글이 없습니다.
27. 1.0m×2.5m 출입문의 투과손실을 25dB 이상으로설계하려고 한다. 출입문 주위 틈새의 면적은 몇m2이하로 해야 되는가? (단, 틈새 이외의 벽체부분은 차음성능이 충분히 크다고 가정한다.)
- ① 5.94×10-3
- ② 6.94×10-3
- ③ 7.94×10-3
- ④ 8.94×10-3
등록된 댓글이 없습니다.
28. 파이프 반경이 0.5m인 파이프 벽에서 전파되는 종파의 전파속도가 5326m/sec인 경우 파이프의 링 주파수는?
- ① 1451.63Hz
- ② 1591.55Hz
- ③ 1695.32Hz
- ④ 1845.97Hz
등록된 댓글이 없습니다.
29. 벽체의 한쪽 면은 실내, 다른 한쪽 면은 실외에 접한 경우 벽체의 투과손실(TL)과 벽체를 중심으로 한 현장에서 실내ㆍ외간 음압레벨 차(NR, 차음도)와의실용관계식으로 가장 적합한 것은?
- ① TL = NR – 3 dB
- ② TL = NR – 6 dB
- ③ TL = NR – 9 dB
- ④ TL = NR – 12 dB
등록된 댓글이 없습니다.
30. 면밀도가 각각 100kg/m2, 150kg/m2인 중공이중 벽과 면밀도가 250kg/m2인 단일벽의 투과손실이 25Hz에서 일치한다고 할 때, 이중벽의 공기층 두께 는 실용식 사용시 얼마가 되겠는가?
- ① 약 7cm
- ② 약 10cm
- ③ 약 19cm
- ④ 약 26cm
등록된 댓글이 없습니다.
31. 음향투과등급(sound transmission class : STC)은 1/3옥타브대역으로 측정한 차음자재의 투과손실을 나타낸 것인데, 다음 중 음향투과등급을 평가하는 방법으로 옳지 않은 것은?
- ① 음향투과등급은 기준곡선을 상하로 조정하여 결정한다.
- ② 기준곡선 밑의 모든 주파수 대역별 투과손실과 기준곡선값의 차의 산술평균이 2dB이내가 되도록 한다.
- ③ 단 하나의 투과손실값도 기준곡선 밑으로 5dB을 초과해서는 안된다.
- ④ 음향투과등급은 기준곡선과의 조정을 거친 후 500Hz를 지나는 STC곡선의 값을 판독하면 된다.
등록된 댓글이 없습니다.
32. 반무한 방음벽의 회절감쇠치는 15dB, 투과손실치는 20dB,일 때, 이 방음벽에 의한 삽입손실치는? (단, 음원과 수음점이 지상으로부터 약간 높은 위치 에 있다.)
- ① 11.5dB
- ② 13.8dB
- ③ 15.0dB
- ④ 20.0dB
등록된 댓글이 없습니다.
33. 팽창형 소음기의 입구 및 팽창부의 직경이 각각 55cm, 125cm일 경우 기대할 수 있는 최대투과손실은?
- ① 약 2dB
- ② 약 5dB
- ③ 약 9dB
- ④ 약 15dB
등록된 댓글이 없습니다.
34. 단일벽의 차음특성 커브에서 질량제어영역의 기울기특성으로 옳은 것은?
- ① 투과손실이 2dB/0ctave 증가
- ② 투과손실이 3dB/0ctave 증가
- ③ 투과손실이 4dB/0ctave 증가
- ④ 투과손실이 6dB/0ctave 증가
등록된 댓글이 없습니다.
35. 소음을 저감시키기 위해 아래 그림과 같은 흡음챔버를 설계하고자 한다. 챔버 내의 전체 표면적이 20m2이고, 챔버 내부를 평균흡음율이 0.53인 흠음재로 흡음처리 하였다. 흡음챔버의 규격 등이 다음과 같을 때 이 흡음챔버에 의한 소음감쇠치는 몇 dB로 예상되는가? (단, 챔버출구의 단면적 : 0.5m2, 출구 – 입구사이의 경사길이(d) : 5m, 출구 – 입구사이의 각도( Ɵ ): 30° )

- ① 약 10dB
- ② 약 13dB
- ③ 약 16dB
- ④ 약 19dB
등록된 댓글이 없습니다.
36. 실내의 흡음성능을 높이기 위한 흡음재료 선택 및 사용에 관한 설명으로 가장 거리가 먼 것은?
- ① 다공질형 흡음재는 비산되기 쉬우므로 통기가 되지 않는 두꺼운 직물로 피복하는 것이 좋다.
- ② 전체 내벽에 분산하여 부착하는 것이 흡음력을 증가시키고 반사음을 확산시킨다.
- ③ 다공질 재료의 표면을 도장하면 고음역에서 흡음율이 떨어진다.
- ④ 전면을 못으로 시공하는 것이 접착제로 부착하는 것보다 좋다.
등록된 댓글이 없습니다.
37. 고음역의 중공이중벽 통과주파수대역에서 투과손실이 최대가 되기 위한 주파수(f)는? (단, c는 음속, d는 공기층의 두께, n은 정의 정수 이다.)
- ①

- ②

- ③

- ④

등록된 댓글이 없습니다.
38. 다음 중 고체음에 대한 방지대책으로 거리가 먼 것은?
- ① 방사면의 축소
- ② 가진력 억제
- ③ 공명 방지
- ④ 밸브류 다단화
등록된 댓글이 없습니다.
39. 한 근로자가 서로 다른 3장소에서 작업하고 있다. 88dB(A) 장소에서 2시간, 92dB(A) 장소에서 3시 간 작업을 하였으며, 3시간 동안은 소음에 폭로되지 않은 장소에서 작업했다면 소음폭로평가(NER) 는? (단, 88dB(A) 에서는 6시간, 92dB(A)에서는 6시 간의 폭로 시간이 허용된다.)
- ① 1/3
- ② 2/3
- ③ 3/5
- ④ 5/6
등록된 댓글이 없습니다.
40. 블록벽, 유리창, 출입문, 문틈으로 구성된 벽체가 있다. 벽체 구성부의 면적과 투과율은 아래표와 같을 때 출입문이 열리기 전과 완전히 열린 후 총합투과손실의 차이(dB)는?

- ① 0
- ② 2.7dB
- ③ 4.7dB
- ④ 8.7dB
등록된 댓글이 없습니다.
3과목 : 소음진동 공정시험 기준
41. 다음 중 배경소음에 해당하는 것은?
- ① 정상조업중인 공장의 야간 소음도
- ② 소음발생원을 전부가동시킨 상태에서 측정한 소음도
- ③ 공장의 가동을 중지한 상태에서 측정한 소음도
- ④ 대상공장의 주ㆍ야간 소음도의 차
등록된 댓글이 없습니다.
42. 발파소음 평가 시 대상소음도에 시간대별 보정발파횟수에 따른 보정량을 보정하여야 한다. 시간대별 보정발파횟수가 8회일 경우 보정량은 얼마인가?
- ① 3dB
- ② 7dB
- ③ 9dB
- ④ 11dB
등록된 댓글이 없습니다.
43. 다음 소음계의 기본 구성도 중 각 부분의 명칭으로 가장 적합한 것은? (단, 순이며, 4 교정장치, 6 동특 성 조절기, 7 출력단자, 8 지시계기 이다.)

- ① 마이크로폰, 증폭기, 레벨레인지변환기, 청감보정회로
- ② 마이크로폰, 청감보정회로, 증폭기, 레벨레인지변환기
- ③ 마이크로폰, 레벨레인지변환기, 증폭기, 청감보정회로
- ④ 마이크로폰, 청감보정회로, 레벨레인지변환기, 증폭기
등록된 댓글이 없습니다.
44. 항공기소음의 소음한도 측정조건으로 가장 거리가 먼 것은?
- ① 상시측정용 옥외마이크로폰의 경우 풍속이 5m/sec를 초과할 때에는 측정하여서는 안된다.
- ② 손으로 소음계를 잡고 측정할 경우 소음계는 측정자의 몸으로부터 0.5m 이상 떨어져야 한다.
- ③ 풍속이 2m/sec 이상으로 측정치에 영향을 줄 우려가 있을 때에는 반드시 마이크로폰에 방풍망을 부착하여야 한다.
- ④ 측정자는 비행경로에 수직하여 위치하여야 한다.
등록된 댓글이 없습니다.
45. 규제기준 중 발파진동측정에 관한 사항으로 옳지 않은 것은?
- ① 측정진동레벨은 발파진동이 지속되는 기간 동안에, 배경 진동레벨은 대상진동(발파진동)이 없을 때 측정한다.
- ② 진동레벨계만으로 측정하는 경우에는 최고진동레벨이고정(Hold)되지 않는 것으로 한다.
- ③ 진동레벨의 계산과정에서는 소수점 첫째자리를 유효숫자로 하고, 평가진동레벨(최종값)은 소수점 첫째자리에서 반올림한다.
- ④ 진동레벨계의 레벨레인지 변환기는 측정지점의 진동레벨을 예비조사한 후 적절하게 고정시켜야 한다.
등록된 댓글이 없습니다.
46. 다음 중 소음 측정기의 청감 보정회로를 C 특성에 놓고 측정한 결과치가 A 특성에 놓고 측정한 결과치보다 클 경우 소음의 주된 음역은?
- ① 저주파역
- ② 중주파역
- ③ 고주파역
- ④ 광대역
등록된 댓글이 없습니다.
47. 환경기준 중 소음측정방법에 관한 사항으로 옳지 않은 것은?
- ① 도로변지역의 범위는 도로단으로부터 차선수 × 15m로 한다.
- ② 사용 소음계는 KS C IEC61672-1에 정한 클래스 2의 소음계 또는 동등 이상의 성능을 가진 것이어야한다.
- ③ 옥외측정을 원칙으로 한다.
- ④ 일반지역의 경우에는 가능한 한 측정점 반경 3.5m이내에 장애물(담, 건물, 기타 반사성 구조물 등)이 없는 지점의 지면 위 1.2 ~ 1.5m를 측정점으로 한다.
등록된 댓글이 없습니다.
48. 소음ㆍ진동 공정시험기준상 진동에 관한 총칙 중 진동레벨계의 지시치는 다음 중 어떤 값인가?
- ① 실효치
- ② 평균치
- ③ 최대치
- ④ peak to peak 치
등록된 댓글이 없습니다.
49. 항공기소음한도 측정결과 일일 단위의 WECPNL이 86이다. 일일 평균최고소음도가 93dB(A)일 때, 1 일간 항공기의 등가통과횟수는?
- ① 100회
- ② 110회
- ③ 120회
- ④ 130회
등록된 댓글이 없습니다.
50. 압전형 진동픽업의 특징에 관한 설명으로 옳지 않은 것은? (단, 동전형 진동픽업과 비교)
- ① 온도, 습도 등 환경조건의 영향을 받는다.
- ② 소형 경량이며, 중고주파대역 (10kHz 이하)의 가속도측정에 적합하다.
- ③ 고유진동수가 낮고(보통 10~20kHz), 감도가 안정적이다.
- ④ 픽업의 출력임피던스가 크다.
등록된 댓글이 없습니다.
51. 항공기소음한도 측정을 위한 소음계의 청감보정 회로 및 동특성으로 옳은 것은?
- ① 청감보정회로 A특성, 동특성 느림(Slow)
- ② 청감보정회로 A특성, 동특성 빠름(Fast)
- ③ 청감보정회로 C특성, 동특성 느림(Slow)
- ④ 청감보정회로 C특성, 동특성 빠름(Fast)
등록된 댓글이 없습니다.
52. 항공기소음을 소음도 기록기를 사용할 경우에 1일 단위의 WECPNL을 구하는 공식에서 1일간 항공기의등가통과횟수인 N을 구하는 식으로 옳은 것은? (단, N1 : 0시에서 07시까지의 비행횟수, N2 : 07시에서 19시까지의 비행횟수, N3 : 19시에서 22시까지의 비행횟수, N4 : 22시에서 24시까지의 비행횟수)
- ① N = N2 + 3N3 + 10(N1 + N4)
- ② N = N2 + 3N3 + 10(N1 + 2N4)
- ③ N = 2N2 + 4N3 + 10(N1 + N4)
- ④ N = 2N2 + 4N3 + 10(N1 + N4 + N3)
등록된 댓글이 없습니다.
53. 소음ㆍ진동 공정시험기준에 사용되는 용어의 정의로 옳지 않은 것은?
- ① 충격음은 폭발음, 타격음과 같이 극히 짧은 시간동안에 발생하는 높은 세기의 음을 말한다.
- ② 지시치는 계기나 기록지 상에서 판독한 소음도로서 실효치(rms값)를 말한다.
- ③ 반사음은 한 매질중의 음파가 다른 매질의 경계면에 입사한 후 진행방향을 변경하여 본래의 매질 중으로 되돌아오는 음을 말한다.
- ④ 변동소음은 시간에 따라 소음도 변화폭이 작은 소음을 말한다.
등록된 댓글이 없습니다.
54. 다음 중 마이크로폰을 소음계와 분리시켜 소음을 측정할 때 마이크로폰의 지지장치로 사용하거나 소음계를 고정할 때 사용하는 장치는?
- ① calibration network calibrator
- ② fast-slow switch
- ③ tripod
- ④ meter
등록된 댓글이 없습니다.
55. 다음 중 공장진동 측정자료 평가표 서식에 기재되어야 하는 사항으로 거리가 먼 것은?
- ① 측정 대상업소 소재지
- ② 진동레벨계 명칭
- ③ 지면조건
- ④ 충격진동 발생시간(h)
등록된 댓글이 없습니다.
56. 다음은 소음계 교정장치의 성능기준이다. ( ) 안에 가장 적합한 것은?

- ① 30dB(A)
- ② 50dB(A)
- ③ 60dB(A)
- ④ 80dB(A)
등록된 댓글이 없습니다.
57. 소음의 환경기준 측정 시 밤 시간대(22:00~06:00)에는 낮 시간대에 측정한 측정지점에서 몇 시간 간격으로 몇 회 이상 측정하여 산술평균한 값을 측정소음도로 하는가?
- ① 4시간 간격, 2회 이상
- ② 4시간 간격, 4회 이상
- ③ 2시간 간격, 2회 이상
- ④ 2시간 간격, 4회 이상
등록된 댓글이 없습니다.
58. 진동레벨계의 성능기준으로 옳지 않은 것은?
- ① 측정가능 주파수 범위는 1~90Hz 이상이어야 한다.
- ② 측정가능 진동레벨의 범위는 45~120dB 이상이어야 한다.
- ③ 진동픽업의 횡감도는 규정주파수에서 수감축 감도에대한 차이가 15dB 이상이어야 한다.(연직특성)
- ④ 레벨레인지 변환기가 있는 기기에 있어서 레벨레인지 변환기의 전환오차가 1dB 이내이어야 한다.
등록된 댓글이 없습니다.
59. 진동배출허용기준 측정 시 진동픽업 설치장소로 부적당한 곳은?
- ① 복잡한 반사, 회절현상이 없는 장소
- ② 경사지지 않고, 완충물이 충분히 있는 장소
- ③ 단단히 굳고, 요철이 없는 장소
- ④ 수평면을 충분히 확보할 수 있는 장소
등록된 댓글이 없습니다.
60. 다음은 발파진동 측정과 관련한 배경진동 보정에 관한 기준이다. ( )안에 적합한 것은?

- ① ① 2~20, ② - 10log (1 - 10-0.1d)
- ② ① 2~20, ② - 10log (1 + 10-0.1d)
- ③ ① 3.0~9.9, ② - 10log (1 - 10-0.1d)
- ④ ① 3.0~9.9, ② - 10log (1 + 10-0.1d)
등록된 댓글이 없습니다.
4과목 : 진동방지기술
61. 불균형 질량 1kg이 반지름 0.2m의 원주상을 매분600회로 회전하는 경우 가진력의 최대치는?
- ① 약 395N
- ② 약 790N
- ③ 약 1185N
- ④ 약 1850N
등록된 댓글이 없습니다.
62. 8개의 임펠러를 가지는 원심펌프가 1000rpm으로 회전하고 있다. 펌프 출구에서 생길 수 있는 물의 압력변화의 주기로 옳은 것은?
- ① 0.001sec
- ② 0.005sec
- ③ 0.0075sec
- ④ 0.010sec
등록된 댓글이 없습니다.
63. 가진력을 기계회전부의 질량불균형에 의한 가진력, 기계의 왕복운동에 의한 가진력, 충격에 의한 가진력으로 분류할 때, 다음 중 주로 충격가진력에 의해 진동이 발생하는 것은?
- ① 펌프
- ② 송풍기
- ③ 유도전동기
- ④ 단조기
등록된 댓글이 없습니다.
64. 공기 스프링의 특성으로 거리가 먼 것은?
- ① 설계시에는 스프링 높이, 내하력, 스프링 정수를 각기독립적으로 선정할 수 있다.
- ② 금속스프링으로 비교적 용이하게 얻어지는 고유진동수 1.5Hz이상의 범위에서는 타종 스프링에 비해 비싼 편이다.
- ③ 기계의 지지장치에 사용할 경우 스프링에 허용되는 동변위가 극히 큰 경우가 많아 다른 댐퍼가 불필요한 경우가 많다.
- ④ 구조에 의해 설계상의 제약은 있으나 1개의 스프링으로 동시에 횡강성도 이용할 수 있다.
등록된 댓글이 없습니다.
65. 어떤 물체의 운동변위가 로 표시될 때의 주기는?
- ① 0.5
- ② 1초
- ③ 2초
- ④ 4초
등록된 댓글이 없습니다.
66. 으로 진동하는 진동계에서 감쇠고유진동수(Hz)는?
- ① 0.21
- ② 0.75
- ③ 7.12
- ④ 12.6
등록된 댓글이 없습니다.
67. 중량 19N, 스프링정수 20N/cm, 감쇠계수가 0.1Nㆍs/cm인 자유진동계의 감쇠비는?
- ① 약 0.04
- ② 약 0.06
- ③ 약 0.08
- ④ 약 0.1
등록된 댓글이 없습니다.
68. 방진재에 대한 다음 설명 중 옳지 않은 것은?
- ① 판스프링, 벨트, 스폰지 등도 가벼운 수진체의 방진등에 이용할 수 있다.
- ② 공기스프링을 기계의 지지장치에 사용할 경우 스프링에 허용되는 동변위가 극히 작은 경우가 많으므로 내장하는 공기감쇠력으로 충분하지 않은 경우가 많다.
- ③ 코일 스프링은 자신이 저항성분을 가지고 있으므로 별도의 제동장치는 불필요하다.
- ④ 여러 형태의 고무를 금속의 판이나 관 등 사이에 끼워서 견고하게 고착시킨 것이 방진고무이다.
등록된 댓글이 없습니다.
69. 주기가 0.25s, 가속도 진폭이 0.1m/s2인 진동의 속도진폭(cm/s)은?
- ① 0.32
- ② 0.40
- ③ 0.48
- ④ 0.80
등록된 댓글이 없습니다.
70. 방진고무의 특성으로 옳지 않은 것은?
- ① 내유성, 내후성 등의 내환경성에 대해서는 일반적으로 금속스프링에 비해 떨어진다.
- ② 고주파 영역에 있어서 고체음 절연성능이 있다.
- ③ 내유성을 필요로 할 때에는 합성고무보다는 천연고무를 선정해야 한다.
- ④ 서어징이 잘 발생하지 않는다.
등록된 댓글이 없습니다.
71. 다음 중 항상 전달력이 외력보다 큰 경우는? (단, f:강제진동수, fn:고유진동수)
- ① f/fn>√2
- ② f/fn<√2
- ③ f/fn=√2
- ④ f/fn=1
등록된 댓글이 없습니다.
72. 감쇠가 없는 스프링-질량 진동계에서 진동전달율은 0.9였다. 스프링을 그대로 두고 질량만을 바꾸어 진동전달율을 0.2로 개선하고자 한다. 바꾼 질량은 처음 질량의 약 몇 배인가?
- ① 1.6배
- ② 2.0배
- ③ 2.2배
- ④ 2.8배
등록된 댓글이 없습니다.
73. 방진대책을 발생원대책, 전파경로대책, 수진측대책으로 분류했을 때, 다음 중 전파경로대책에 해당하는 것은?
- ① 기초중량을 부가 및 경감시킨다.
- ② 수진점 근방에 방진구를 판다.
- ③ 수진측의 강성을 변경시킨다.
- ④ 가진력을 감쇠시킨다.
등록된 댓글이 없습니다.
74. 다음 중 동적흡진에 대한 설명으로 가장 적합한 것은?
- ① 불평형 질량을 부가하여 회전진동을 억제시킨다.
- ② 본 기계 외에 부가질량을 스프링으로 지지하여 진동저감한다.
- ③ 동적배율이 큰 방진고무를 사용하여 탄성지지한다.
- ④ 점탄성 재질을 이용하여 진동변위를 저감시킨다.
등록된 댓글이 없습니다.
75. 그림과 같이 길이 L인 실 끝에 달려 있는 질량 m인단진자가 작은 진폭으로 운동할 때의 주기는? (단, g는 중력가속도이다.)

- ①

- ②

- ③

- ④

등록된 댓글이 없습니다.
76. 무게가 70N인 냉장고 유닛이 600rpm으로 작동하고 있다. 이 때 4개의 같은 스프링으로 병렬로 냉장고 유닛을 지지한다면 전달율이 10%가 되게 하기위한 스프링의 1개당 스프링정수는? (단, 감쇠는 무시)
- ① 3.2N/cm
- ② 6.4N/cm
- ③ 9.6N/cm
- ④ 12.8N/cm
등록된 댓글이 없습니다.
77. 감쇠에 관한 설명으로 옳지 않은 것은?
- ① 진동에 의한 기계에너지를 열에너지로 변환시키는 기능이다.
- ② 질량의 진동속도에 대한 스프링의 저항력의 비이다.
- ③ 하중에 대해 원상태로 복원시키려는 힘이다.
- ④ 충격 시의 진동을 감소시킨다.
등록된 댓글이 없습니다.
78. 비감쇠 강제진동에서 전달율(transmissibility)을 바르게 표시한 식은?
- ①

- ②

- ③

- ④

등록된 댓글이 없습니다.
79. 의 운동방정식을 만족시키는 진동은 다음 중 어느 진동에 해당하는가?
- ① 비감쇠진동
- ② 강제진동
- ③ 자유진동
- ④ 마찰진동
등록된 댓글이 없습니다.
80. 단조기가 있는 기계가공 공장(진동원)과 전자부품 공장(목표지점)이 인접해 있으며, 단조기로부터의 충격이 지반진동으로 전달되어 전자부품의 불량률이 높아 전자부품 공장 측에서 단조기에 의한 진동레벨을 5dB낮추고자 한다면 몇 m를 움직여야 하는가? (단, 단조기와 전자부품 공장과의 거리는 20m, 지반 전파의 감쇠정수는 0.03으로 계측되었으며, 주로 전파되는 파는 표면파로 가정한다.)
- ① 3
- ② 7
- ③ 12
- ④ 24
등록된 댓글이 없습니다.
5과목 : 소음진동 관계 법규
81. 소음진동관리법규상 농림지역의 야간 시간대의 철도교통 진동의 한도기준으로 옳은 것은?
- ① 60dB(V)
- ② 65dB(V)
- ③ 70dB(V)
- ④ 75dB(V)
등록된 댓글이 없습니다.
82. 소음진동관리법상 용어의 정의로 옳지 않은 것은?
- ① “공장”이란 「 도시계획법 」 에 따라 결정된 공항시설안의 항공기 정비공장과 「 산업집적활성화 및 공장설립에 관한 법률 」 에 따른 공장을 말한다.
- ② “교통기관”이란 항공기와 선박을 제외한 기차ㆍ자동차ㆍ전차ㆍ도로 및 철도 등을 말한다.
- ③ “소음발생건설기계”란 건설공사에 사용하는 기계 중 소음이 발생하는 기계로서 환경부령으로 정하는 것 을 말한다.
- ④ “방진시설”이란 소음ㆍ진동배출시설이 아닌 물체로부터 발생하는 진동을 없애거나 줄이는 시설로서 환경부령으로 정하는 것을 말한다.
등록된 댓글이 없습니다.
83. 방음벽의 성능 및 설치기준에 의거 방음벽의 성능평가 시 “구조”에 대한 세부검토항목으로 가장 거리가 먼 것은?
- ① 풍하중
- ② 시공계획서
- ③ 기초공법
- ④ 통로설치여부
등록된 댓글이 없습니다.
84. 소음진동관리법규상 공사장 방음시설 설치기준 중 방음벽시설기준으로 옳은 것은?
- ① 방음벽시설 전후의 소음도 차이(삽입손실)는 최소 5dB이상 되어야 하며, 높이는 1.5m이상 되어야 한 다.
- ② 방음벽시설 전후의 소음도 차이(삽입손실)는 최소 5dB이상 되어야 하며, 높이는 3m이상 되어야 한 다.
- ③ 방음벽시설 전후의 소음도 차이(삽입손실)는 최소 7dB이상 되어야 하며, 높이는 1.5m이상 되어야 한 다.
- ④ 방음벽시설 전후의 소음도 차이(삽입손실)는 최소 7dB이상 되어야 하며, 높이는 3m이상 되어야 한 다.
등록된 댓글이 없습니다.
85. 소음진동관립법규상 운행자동차 중 경자동차의 배기 소음허용기준으로 적절한 것은? (단, 2006년 1월 1일 이후에 제작되는 자동차)
- ① 100dB(A)이하
- ② 105dB(A)이하
- ③ 110dB(A)이하
- ④ 112dB(A)이하
등록된 댓글이 없습니다.
86. 소음진동관리법규상 배출허용기준에 맞는지를 확인하기 위하여 소음진동 배출시설과 방지시설에 대하여검사할 수 있도록 지정된 기관이라 볼 수 없는 것 은?
- ① 국립환경과학원
- ② 특별시ㆍ광역시ㆍ도ㆍ특별자치도의 보건환경연구원
- ③ 유역환경청
- ④ 환경보전협회
등록된 댓글이 없습니다.
87. 소음진동관리법규상 공장소음 배출허용기준에서 다음지역과 시간대 중 배출허용기준치가 가장 엄격한 것은?
- ① 도시지역 중 녹지지역의 낮시간대
- ② 도시지역 중 일반주거지역의 저녁시간대
- ③ 농림지역의 밤시간대
- ④ 도시지역 중 전용주거지역의 저녁시간대
등록된 댓글이 없습니다.
88. 소음진동관리법규상 관리지역 중 산업개발진흥지구에서의 낮시간대 공장소음 배출허용기준은 65dB(A) 이하이다. 동일한 조건에서 충격음이 포함되어 있는 경우 보정치를 감안한 허용기준치로 옳은 것은? (단, 기타 조건은 고려않음)
- ① 60dB(A)이하
- ② 70dB(A)이하
- ③ 75dB(A)이하
- ④ 80dB(A)이하
등록된 댓글이 없습니다.
89. 소음진동관리법규상 대형 화물자동차의 운행자동차 소음허용기준으로 옳은 것은? (단, 2006년 1월 1일 이후에 제작되는 자동차를 기준으로 하며, 배기소음과 경적소음의 단위는 각각 dB(A) 및 dB(C)로 한다.)
- ① 배기소음 : 100이하, 경적소음 : 110이하
- ② 배기소음 : 100이하, 경적소음 : 112이하
- ③ 배기소음 : 105이하, 경적소음 : 110이하
- ④ 배기소음 : 105이하, 경적소음 : 112이하
등록된 댓글이 없습니다.
90. 소음진동관리법령상 배출시설 설치허가를 받아야 하는 대통령령으로 정하는 지역 중 학교 또는 종합병원 등은 그 부지경계선으로부터 직선거리 최대 얼마이내의 지역인가?
- ① 30미터 이내
- ② 50미터 이내
- ③ 100미터 이내
- ④ 200미터 이내
등록된 댓글이 없습니다.
91. 소음진동관리법상 법칙기준 중 1년 이하의 징역 또는 1천만원 이하의 벌금에 처하는 경우에 해당하지 않는 것은?
- ① 배출시설 설치허가를 받지 아니하고 배출시설을 설치하거나 그 배출시설을 이용해 조업한 자
- ② 배출허용기준 초과와 관련한 조업정지명령 등을 위반한 자
- ③ 생활소음 진동의 규제기준 초과에 따른 작업시간 조정 등의 명령을 위반한 자
- ④ 소음도 검사를 받은 소음발생건설기계제작자가 소음도 표지를 붙이지 아니하거나 거짓의 소음도표지를 붙인 자
등록된 댓글이 없습니다.
92. 소음진동관리법규상 소음발생건설기계의 종류에 해당하지 않는 것은?
- ① 브레이커(휴대용을 포함하며, 중량 5톤 이하로 한정한다)
- ② 천공기
- ③ 발전기(정격출력 400kw 미만의 실외용으로 한정한다)
- ④ 콘크리트 믹서
등록된 댓글이 없습니다.
93. 소음진동관리법규상 소음배출시설기준 중 마력기준이“10마력 이상”인 기계ㆍ기구가 아닌 것은?
- ① 제재기
- ② 기계체
- ③ 탈사기
- ④ 송풍기
등록된 댓글이 없습니다.
94. 소음진동관리법규상 행정처분에 관한 사항으로 옳지 않은 것은?
- ① 처분권자는 위반행위의 동기ㆍ내용ㆍ횟수 및 위반의정도 등에 해당 사유를 고려하여 그 처분(허가취소, 등록취소, 지정취소 또는 폐쇄명령인 경우는 제외한다)을 감경할 수 있다.
- ② 행정처분이 조업정지, 업무정지 또는 영업정지인 경우에는 그 처분기준의 2분의 1의 범위에서 감경할 수 있다.
- ③ 행정처분기준을 적용함에 있어서 소음규제기준에 대한 위반행위와 진동 규제기준에 대한 위반행위는 합산하지 아니하고, 각각 산정하여 적용한다.
- ④ 방지시설을 설치하지 아니하고 배출시설을 가동한 경우 1차 행정처분기준은 허가취소, 2차 처분기준은 폐쇄이다.
등록된 댓글이 없습니다.
95. 소음진동관리법상 운행차 소음허용기준 초과와 관련하여 운행차의 사용정지명령을 위반한 자에 대한 벌칙기준으로 옳은 것은?
- ① 3년 이하의 징역 또는 1천500만원 이하의 벌금
- ② 1년 이하의 징역 또는 1천만원 이하의 벌금
- ③ 6개월 이하의 징역 또는 500만원 이하의 벌금
- ④ 300만원 이하의 벌금
등록된 댓글이 없습니다.
96. 소음진동관리법규상 제작차 소음허용기준과 관련하여 재검사를 신청하고자 할 때 재검사 신청서에 첨부하여야 할 서류로 거리가 먼 것은?
- ① 재검사 신청전의 검사서
- ② 재검사 신청의 사유서
- ③ 개선계획 및 사후관리 대책에 관한 서류
- ④ 제작차 소음허용기준 초과원인의 기술적 조사내용에 관한 서류
등록된 댓글이 없습니다.
97. 소음진동관리법상 항공기 소음 관리에 관한 설명으로 옳지 않은 것은?
- ① 공항 인근 지역의 항공기 소음의 한도는 항공기소음영향도(WECPNL) 80 이다.
- ② 공항 인근 지역이 아닌 그 밖의 지역의 항공기 소음의 한도는 항공기소음영향도(WECPNL) 75이다.
- ③ 환경부장관은 항공기 소음이 대통령령으로 정하는 항공기 소음의 한도를 초과하여 공항 주변의 생활환경이 매우 손상된다고 인정하면 관계 기관의 장에게 방음시설의 설치나 그 밖에 항공기 소음의 방지에 필요한 조치를 요청할 수 있다.
- ④ 공항 인근 지역과 그 밖의 지역의 구분은 환경부령 로 정한다.
등록된 댓글이 없습니다.
98. 소음진동관리법규상 동력을 사용하는 시설 및 기계ㆍ기구에 속하는 진동배출시설기준에 해당하지 않는 것은?
- ① 2대 이상 시멘트벽돌 및 블록의 제조기계
- ② 유압식을 제외한 20마력 이상의 프레스
- ③ 파쇄기와 마쇄기를 포함한 30마력 이상의 분쇄기
- ④ 압출ㆍ사출을 포함한 50마력 이상의 성형기
등록된 댓글이 없습니다.
99. 소음진동관리법규상 소음방지시설(기준)에 해당하지 않는 것은?
- ① 소음기
- ② 방음벽시설
- ③ 방음내피시설
- ④ 흡음장치 및 시설
등록된 댓글이 없습니다.
100. 소음진동관리법령상 제작차에 대한 인증을 면제할 수 있는 자동차에 해당하지 않는 것은?
- ① 주한 외국군대의 구성원이 공무용으로 사용하기 위하여 반입하는 자동차
- ② 자동차제작자ㆍ연구기관 등이 자동차의 개발이나 전시 등을 목적으로 사용하는 자동차
- ③ 여행자 등이 다시 반출할 것을 조건으로 일시 반입하는 자동차
- ④ 외국에서 국내의 공공기관이나 비영리단체에 무상으로 기중하여 반입하는 자동차
등록된 댓글이 없습니다.