전자기기기능사(2012. 7. 22.) 시험일자 : 2012년 7월 22일
1과목 : 전기전자공학
1. 고주파 전력증폭기에 주로 사용되는 증폭방식은?
- ① A급
- ② B급
- ③ C급
- ④ AB급
등록된 댓글이 없습니다.
2. 과변조합 전파를 수신하면 어떤 현상이 생기는가?
- ① 음성파가 많이 일그러진다.
- ② 검파기가 과부하로 된다.
- ③ 음성파 전력이 작아진다.
- ④ 음성파 전력이 크게 된다.
등록된 댓글이 없습니다.
3. 발진기의 발진주파수를 높이기 위하여 사용되는 회로는?
- ① 주파수체배기
- ② 본주기
- ③ 영상증폭기
- ④ 마그네트론
등록된 댓글이 없습니다.
4. 전파 정류회로에서 리플전압을 나타낸 설명으로 옳은 것은? (단, 콘덴서 입력형 필터 회로의 경우이다.)
- ① 리플전압은 콘덴서의 용량에만 반비례한다.
- ② 리플전압은 부하저항 및 콘덴서 용량에 반비례한다.
- ③ 리플전압은 부하저항에 무관하고 콘덴서의 용량에 비례한다.
- ④ 리플전압은 부하저항 및 콘덴서 용량에 비례한다.
등록된 댓글이 없습니다.
5. 다음과 같은 정류회로에서 D1 다이오드에 걸리는 최대 역전압[PIV]은 몇 [V]인가?(사진이 많이 흐립니다. 더깨끗한 원본 있으시면 관리자 메일로 보내 주시면 감사하겠습니다.)

- ① 10[V]
- ② 20[V]
- ③ 10√2[V]
- ④ 20√2[V]
등록된 댓글이 없습니다.
6. 진폭제한기가 필요치 않으며 FV파의 일그러짐이 가장 작게 복조하는 방식은?
- ① 슬로프검파
- ② 계어타트비임검파
- ③ 포스터실리검파
- ④ 비검파
등록된 댓글이 없습니다.
7. 병합공진회로에서 공진주파수 f0=455[㎑], L=1[mH], Q=50이면 공진 임피던스는 약 몇 [㏀]인가?
- ① 83[㏀]
- ② 103[㏀]
- ③ 123[㏀]
- ④ 143[㏀]
등록된 댓글이 없습니다.
8. 홀효과(hall effect)에 대한 설명으로 옳은 것은?
- ① 전류와 자기장으로 기전력 발생
- ② 자기 저항 소자
- ③ 빛과 자기장으로 기전력 발생
- ④ 광전도 소자
등록된 댓글이 없습니다.
9. 가정용 전원의 교류 전압은 220[V]이다. 이는 무슨 값인가?
- ① 최대값
- ② 순시값
- ③ 평균값
- ④ 실효값
등록된 댓글이 없습니다.
10. 어떤 사람의 음성 주파수 폭이 100[㎐]에서 18[㎒] 음성을 진폭 변조하면 정유 주파수 대역폭은 얼마나 필요한가?
- ① 9[㎑]
- ② 18[㎑]
- ③ 27[㎑]
- ④ 36[㎑]
등록된 댓글이 없습니다.
11. 5[V]의 입력전압을 50[V]로 증폭했을 때 전압이폭은?
- ① 10[㏈]
- ② 20[㏈]
- ③ 30[㏈]
- ④ 40[㏈]
등록된 댓글이 없습니다.
12. 입력 전압이 500[mV]일 때 5[V]가 출력되었다면 전압 증폭도는?
- ① 9배
- ② 10배
- ③ 90배
- ④ 100배
등록된 댓글이 없습니다.
13. 5㎌/150V, 10㎌/150V, 20㎌/150V의 콘덴서를 서로 직렬로 연결하고 그 끝에 직류전압을 서서히 인가할 때 다음 중 옳은 것은?
- ① 5㎌ 콘덴서가 가장 먼저 파괴된다.
- ② 10㎌ 콘덴서가 가장 먼저 파괴된다.
- ③ 20㎌ 콘덴서가 가장 먼저 파괴된다.
- ④ 모든 콘덴서가 동시에 파괴된다.
등록된 댓글이 없습니다.
14. 다음 중 출력 임피던스가 가장 적은 회로는?
- ① 베이스 접지회로
- ② 컬렉터 접지회로
- ③ 이미터 접지회로
- ④ 캐소드 접지회로
등록된 댓글이 없습니다.
15. 다음 정류 회로 중 사용하는 다이오드의 수량이 가장 많은 것은?
- ① 반파 정류회로
- ② 정파 정류회로
- ③ 브리지 정류회로
- ④ 비전압 전파 정류회로
등록된 댓글이 없습니다.
16. 이상적인 연산증폭기의 특징에 대한 설명으로 틀린 것은?
- ① 주파수 대역폭이 무한대이다.
- ② 입력임피던스가 무한대이다.
- ③ 오픈 루프 전압이륙이 무한대이다.
- ④ 온도에 대한 드리프트(Drift)의 영향이 크다.
등록된 댓글이 없습니다.
2과목 : 전자계산기일반
17. 순서도 작성시 지키지 않아도 될 사항은?
- ① 기호는 창의성을 발휘하여 만들어 사용한다.
- ② 문제가 어려울때는 블록별로 나누어 작성한다.
- ③ 기호 내부에는 처리 내용을 간단명료하게 기술한다.
- ④ 흐름은 위에서 아래로, 왼쪽에서 오른쪽으로 그린다.
등록된 댓글이 없습니다.
18. 컴퓨터가 이해할 수 있는 언어로 변환 과정이 필요 없는 언어는?
- ① Assanicly
- ② COSCL
- ③ Machine Language
- ④ LISP
등록된 댓글이 없습니다.
19. 주어진 수의 왼쪽으로부터 비트 단위로 대응을 시켜 서로가 1이면 결과를 1, 하나라도 0이면 결과가 0으로 연산처리되는 명령은?
- ① OR
- ② AND
- ③ EX-OR
- ④ NOT
등록된 댓글이 없습니다.
20. C 언어에서 정수형 변수를 선언할 때 사용되는 명령어는?
- ① int
- ② float
- ③ double
- ④ char
등록된 댓글이 없습니다.
21. 4개의 ○ 비트와 4개의 숫자비트로 이루어져 있으며 영문 대문자를 포함하여 모든 문자를 표현할 수 있도록 한 법용 코드로서 대형 컴퓨터에 주로 사용하는 코드는?
- ① BCD 코드
- ② ASCII 코드
- ③ 그레이 코드
- ④ EBCDIC 코드
등록된 댓글이 없습니다.
22. 모든 명령어의 길이가 같다고 할 때, 수행시간이 가장 긴 주소 지정 방식은?
- ① 직접(direct) 주소지정 방식
- ② 간접(indirect) 주소지정 방식
- ③ 상대(relative) 주소지정 방식
- ④ 즉시(immdiate) 주소지정 방식
등록된 댓글이 없습니다.
23. 버스란 MPU, Memory, I/O 장치들 사이에서 자료를 상호 교환하는 공동의 전송로를 말하는데 다음 중 양방향성 버스에 해당하는 것은?
- ① 주소 버스(Address Bus)
- ② 제어 버스(Control Bus)
- ③ 데이터 버스(Data Bus)
- ④ 입출력 버스(I/O Bus)
등록된 댓글이 없습니다.
24. 사용자의 요구에 따라 제조회사에서 내용을 넣어 제조하는 롬(ROM)은?
- ① PROM
- ② Mask ROM
- ③ EPROM
- ④ EEPROM
등록된 댓글이 없습니다.
25. 마이크로프로세서의 순서제어 명령어로 나열된 것은?
- ① 로테이트 명령, 콜 명령, 리턴 명령
- ② 시프트 명령, 점프 명령, 콜 명령
- ③ 블록 서치 명령, 점프 명령, 리턴 명령
- ④ 점프 명령, 콜 명령, 리턴 명령
등록된 댓글이 없습니다.
26. 산술 시프트(Shift)에 관한 설명으로 옳은 것은?
- ① 좌측 시프트 후 유효 비트 1을 잃는 것을 오버플로우(overflow)라 한다.
- ② n비트 우측으로 시프트하면 2으로 곱한 결과가 된다.
- ③ n비트 좌측으로 시프트하면 2으로 나눈 결과가 된다.
- ④ 논리 시프트와는 달리 시프트 후 빈자리에 새로 들어오는 비트는 항상 0이다.
등록된 댓글이 없습니다.
27. 컴퓨터 내부에서 연산의 중간 결과를 일시적으로 기억하거나 데이터의 내용을 이송할 목적으로 사용되는 임시기억장치는?
- ① ROM
- ② I/O
- ③ buffer
- ④ register
등록된 댓글이 없습니다.
28. 서브루턴에서의 복귀어드레스가 보관되어 있는 곳은?
- ① 프로그램 카운터
- ② 스텍
- ③ 큐
- ④ 힙
등록된 댓글이 없습니다.
29. 해테로다인 주파수계의 정밀도를 높이기 위해 사용되는 교정발진기는?
- ① 펄스발진기
- ② 수정발진기
- ③ RC발진기
- ④ LC발진기
등록된 댓글이 없습니다.
30. 수신기의 내부 잡음 측정에서 잡음이 없는 경우 잡음 지수(F)는?
- ① F=1
- ② F>1
- ③ F<1
- ④ F=2
등록된 댓글이 없습니다.
3과목 : 전자측정
31. 다음 중 자동평형 기록계기의 측정원리는?
- ① 영위법
- ② 편위법
- ③ 직접측정법
- ④ 간접측정법
등록된 댓글이 없습니다.
32. 자기장 내에서 반도체 소자에 발생되는 기전력으로 자기장을 측정할 수 있는 효과는?
- ① 홀 효과(Hall effect)
- ② 톰슨 효과(Thomsonl effect)
- ③ 피어조 효과(Piezo effect)
- ④ 펄티어 효과(Peltier effect)
등록된 댓글이 없습니다.
33. 충전된 두 물체 간에 작용하는 정전흡인력 또는 반발력을 이용한 계기는?
- ① 가동코일형 계기
- ② 전류력계형 계기
- ③ 유도형 계기
- ④ 정전형 계기
등록된 댓글이 없습니다.
34. 지시계기의 구비 조건이 아닌 것은?
- ① 정확도가 높고 오차가 작을 것
- ② 눈금이 균등하거나 대수 눈금일 것
- ③ 응답도가 낮을 것
- ④ 절연 및 내구력이 높을 것
등록된 댓글이 없습니다.
35. 오실로스코프에서 다음과 같은 그림을 얻었다. 이것은 무엇을 측정한 파형인가? (단, A=3, B=1이다.)

- ① 100[%] AM 변조파
- ② 100[%] FM 변조파
- ③ 50[%] AM 변조파
- ④ 50[%] FM 변조파
등록된 댓글이 없습니다.
36. 고주파 전력 측정 방법이 아닌 것은?
- ① 의사 부하법
- ② 3전력계법
- ③ C-C형 전력계
- ④ C-M형 전력계
등록된 댓글이 없습니다.
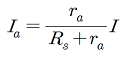
37. 내부저항 rа[Ω]의 전류계에 병렬로 분류기 저항 Ra[Ω]를 접속하고 이것에 I[A]의 전류를 흘릴 때 전류계에 흐르는 전류 Ia[A]는?

- ①

- ②

- ③

- ④

등록된 댓글이 없습니다.
38. 인덕턴스를 L, 커패시턴스를 C라고 했을 때, 흡수형 주파수계의 공진 주파수를 나타낸 식은?
- ①

- ②

- ③

- ④

등록된 댓글이 없습니다.
39. 초당 반복되는 파를 펄스로 변화하여 주파수를 측정하는 주파수계는?
- ① 계수형 주파수계
- ② 빈 브리지형 주파수계
- ③ 해테로다인법 주파수계
- ④ 캠벨 브리지형 주파수계
등록된 댓글이 없습니다.
40. 주파수의 안정도와 파형이 좋기 때문에 저주파대의 기본 발진기로 사용되는 것은?
- ① RC 발진기
- ② 음차 발진기
- ③ 수정 발진기
- ④ 세라믹 발진기
등록된 댓글이 없습니다.
41. SN 비가 40[㏈]이라고 할 때, 신호가 포함된 잡음이 신호전압의 얼마임을 가리키는가?
- ① 1/10
- ② 1/100
- ③ 1/1000
- ④ 1/10000
등록된 댓글이 없습니다.
42. 초음파의 액체 또는 기체 중의 속도를 표시한 식으로서 옳은 것은? (단, K : 체적탄성률, d : 물질의 밀도, C : 초음파속도)
- ① [m/s]

- ② [m/s]

- ③ C=Kd[m/s]
- ④ C=d/K[m/s]
등록된 댓글이 없습니다.
43. 고주파 유도가열에서 열 발생의 원인이 되는 현상은?
- ① 와류
- ② 정전유도
- ③ 광전효과
- ④ 동조
등록된 댓글이 없습니다.
44. FM 수신기의 고주파 증폭에 진계효과 트랜지스터가 사용되는 주된 이유는?
- ① 입력임피던스가 높기 때문에
- ② 증폭률이 높기 때문에
- ③ 고주파 특성이 우수하기 때문에
- ④ 회로 설계가 용이하기 때문에
등록된 댓글이 없습니다.
45. 자기녹음기에서 자기헤드의 임피던스 특성은?
- ① 풍향성
- ② 저항성
- ③ 무특성
- ④ 유도성
등록된 댓글이 없습니다.
46. 수신기의 성능에서 종합특성이 아닌 것은?
- ① 감도
- ② 충실도
- ③ 선택도
- ④ 증폭도
등록된 댓글이 없습니다.
4과목 : 전자기기 및 음향영상기기
47. VTR의 재생 화면이 하나 또는 다수의 흰 수평선이 나타나는 드롭아웃(Drop Out) 현상의 원인은?
- ① 수평 ○기가 정확히 잡히지 않기 때문에
- ② 영상 신호에 강한 잡음 신호가 혼입되기 때문에
- ③ 전원전압이 순간적으로 불안정하기 때문에
- ④ 테이프와 헤드 사이에 먼지 등이 끼기 때문에
등록된 댓글이 없습니다.
48. 사이클링(cycling)을 일으키는 제어는?
- ① ON-OFF 제어
- ② 비례적분제어
- ③ 적분제어
- ④ 비례제어
등록된 댓글이 없습니다.
49. VTR의 컬러 프로세스(color process)의 VHS 방식에서 사용하고 있는 색 신호 처리방식은?
- ① DOS 방식
- ② HPF2 방식
- ③ PS(phase shift) 방식
- ④ PI(phase invert) 방식
등록된 댓글이 없습니다.
50. 프로세스 제어(process control)는 어느 제어에 속하는가?
- ① 추치 제어
- ② 속도 제어
- ③ 정치 제어
- ④ 프로그램 제어
등록된 댓글이 없습니다.
51. 선박이 A 우선표지국이 있는 항구에 입항하려고 할 때, 그 전파의 방향, 즉 진북에 대한 0도의 방향을 추적함으로써, A 무선표지국이 있는 항구에 직선으로 도달하는 것을 무엇이라고 하는가?

- ① 로란(Loran)
- ② 데카(Decca)
- ③ 호밍(Homing)
- ④ 센스결정(Sense determination)
등록된 댓글이 없습니다.
52. 컬러텔레비전 수상기 회로의 구성에서 튜너, 자동이륙 조절기는 어느 계통 회로에 구성되어 있는가?
- ① 영상수신계 회로
- ② 영상 회로
- ③ 동기 및 편향 회로
- ④ 음성 회로
등록된 댓글이 없습니다.
53. 태양전지에서 음극(-) 단자와 연결된 부분의 물질은?
- ① P형 실리콘판
- ② N형 실리폰판
- ③ 셀련
- ④ 붕소
등록된 댓글이 없습니다.
54. 비디오테이프에서 요구되는 특성으로 가장 적합한 것은?
- ① 대역폭이 작을 것
- ② gka자력이 작을 것
- ③ SN 비가 좋을 것
- ④ 잔류 지속이 작을 것
등록된 댓글이 없습니다.
55. 녹음기에서 마스킹 효과를 이용하여 히스 잡음을 줄이기 위하여 고안된 것은?
- ① 니들(needle)
- ② 캡스턴(capstan)
- ③ 캔틸레버(cantilever)
- ④ 돌비 시스템(dolby stystem)
등록된 댓글이 없습니다.
56. 공항에 수색레이더(SRE)와 정측레이더(PAR)의 두 레이더가 설치된 항법 보조장치는?
- ① ILS 장치
- ② 고도측정 장치
- ③ 거리측정 장치
- ④ 지상제어 진입 장치(GCA)
등록된 댓글이 없습니다.
57. 전자 냉동기의 특징으로 옳지 않은 것은?
- ① 온도의 조절이 용이하다.
- ② 최전 부분이 없으므로 소음이 없다.
- ③ 대용량에서도 효율을 쉽게 해결할 수 있다.
- ④ 성능이 고르고 수명이 길며 취급이 간단하다.
등록된 댓글이 없습니다.
58. 비월주사를 하는 주된 이유에 해당하는 것은?
- ① 깜박거림(tilcker)을 방지하기 위하여
- ② 수평 주사선 수를 줄이기 위하여
- ③ 콘크라스트를 좋게 하기 위하여
- ④ 헌팅 현상을 방지하기 위하여
등록된 댓글이 없습니다.
59. 주파수 변별기(frequency discriminator)에 대한 설명 중 옳은 것은?
- ① FM 파에서 원래의 신호파를 꺼내는 FM 검파기이다.
- ② 자동으로 출력 전압을 제어한다.
- ③ 다중 통신의 누화를 방지한다.
- ④ 잡음 감쇠기이다.
등록된 댓글이 없습니다.
60. 다음 중 음압의 단위는?
- ① [N/C]
- ② [ubar]
- ③ [Hz]
- ④ [Neper]
등록된 댓글이 없습니다.