승강기산업기사(2017. 3. 5.) 시험일자 : 2017년 3월 5일
1과목 : 승강기개론
1. 승객용 엘리베이터의 주로프 및 조속기 로프의 안전율을 옳게 표시한 것은?
- ① 주로프: 8, 조속기 로프: 4
 - ② 주로프: 8, 조속기 로프: 3
 - ③ 주로프: 10, 조속기 로프: 3
 - ④ 주로프: 12, 조속기 로프: 8
 
등록된 댓글이 없습니다.
2. 비상용 엘리베이터는 소방관이 조작하여 엘리베이터 문이 닫힌 이후부터 몇 초 이내에 가장 먼 층에 도착하여야 하는가?
- ① 50
 - ② 60
 - ③ 90
 - ④ 120
 
등록된 댓글이 없습니다.
3. 전기식 엘리베이터의 구성에 속하지 않는 것은?
- ① 균형추
 - ② 권상기
 - ③ 파워유니트
 - ④ 조속기로프
 
등록된 댓글이 없습니다.
4. 비상용 엘리베이터에 관한 설명으로 틀린 것은?
- ① 운행속도는 1m/s 이상이어야 한다.
 - ② 비상용 엘리베이터는 소방운전 시 모든 승강장의 출입구에 정지할 수 없다.
 - ③ 엘리베이터 및 조명의 전원공급시스템은 주 전원공급장치 및 보조(비상, 대기 또는 대체) 전원공급장치로 구성되어야 한다.
 - ④ 소방운전 스위치의 조작위치는 쌍안정이어야 하고 ‘1’과 ‘0’이 되도록 명확하게 표시되어야 하며 ‘1’의 위치에서 소방운전이 시작된다.
 
등록된 댓글이 없습니다.
5. 3상 교류의 단속도 모터에 전원을 투입함으로써 기동과 정속운전을 하고, 정지는 전원을 끈 후 기계적으로 브레이크를 거는 방식은?
- ① 교류 궤환제어
 - ② 교류 2단 속도제어
 - ③ 교류 3단 속도제어
 - ④ 교류 일단 속도제어
 
등록된 댓글이 없습니다.
6. 수직형 휠체어리프트에 적용되는 기준으로 틀린 것은?
- ① 지정된 층 사이를 운행
 - ② 정격하중은 300kg 이하
 - ③ 주행로의 경사도는 수직에 대해 15° 이하
 - ④ 밀폐식 승강로에 설치된 경우 행정은 4m 이하
 
등록된 댓글이 없습니다.
7. 유압식 엘리베이터에서 주로프의 직경은 일반적으로 몇 mm 이상이어야 하는가?
- ① 8
 - ② 10
 - ③ 12
 - ④ 14
 
등록된 댓글이 없습니다.
8. 기계실의 바닥면부터 천장까지의 수직거리는 특별한 경우를 제외하고 최소 몇 m 이상으로 하여야 하는가?
- ① 1.2
 - ② 1.5
 - ③ 2
 - ④ 2.5
 
등록된 댓글이 없습니다.
9. 권상도르래, 풀리 또는 드럼과 현수로프의 공칭 직경사이의 비는 스트랜드의 수와 관계없이 얼마 이상이어야 하는가?
- ① 25
 - ② 30
 - ③ 40
 - ④ 45
 
등록된 댓글이 없습니다.
10. 전기식 엘리베이터에서 권상식 구동방식에 대한 설명으로 옳은 것은?
- ① 로프를 드럼에 감아 오르내리도록 하는 것이다.
 - ② 스크류식으로 카의 운동을 일으키는 것이다.
 - ③ 유압에 의하여 카의 운동을 일으키는 것이다.
 - ④ 로프와 도르래의 마찰력을 이용하여 카를 움직이는 것이다.
 
등록된 댓글이 없습니다.
11. 완충기에 대한 설명으로 틀린 것은?
- ① 엘리베이터에는 카 및 균형추의 주행로 하부 끝에 완충기가 설치되어야 한다.
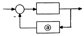
 - ② 에너지 분산형 완충기는 엘리베이터 정격속도와 상관없이 어떤 경우에도 사용될 수 있다.
 - ③ 선형 또는 비선형 특성을 갖는 에너지 축적형 완충기는 엘리베이터의 정격속도가 1m/s 이하인 경우에만 사용되어야 한다.
 - ④ 완충된 복귀 움직임을 갖는 에어지 축적형 완충기는 엘리베이터의 정격속도가 1.5m/s 이하인 경우에만 사용되어야 한다.
 
등록된 댓글이 없습니다.
12. 가공이 쉽고 초기 마찰력이 우수하며 쐐기작용에 의해 마찰력은 크지만 면압이 높고 권상로프와 접하는 부분의 각도가 작게 되어 트렉션 비의 값이 작아지게 되는 단점을 갖는 로프의 홈은?
- ① U홈
 - ② V홈
 - ③ M홈
 - ④ 언더컷 홈
 
등록된 댓글이 없습니다.
13. 엘리베이터에서 카 천장에 설치된 비상구출문에 관한 내용으로 옳은 것은?
- ① 카 천장에 설치된 비상구출문은 카 외부 방향으로 열리지 않아야 한다.
 - ② 카 천장에 설치된 비상구출구의 크기는 0.3m×0.5m 이상이어야 한다.
 - ③ 카 천장에 설치된 비상구출문은 카 내부에서 쉽게 열릴 수 있어야 한다.
 - ④ 카 천장에 설치된 비상구출문은 카 외부에서 손으로 쉽게 열릴 수 있어야 한다.
 
등록된 댓글이 없습니다.
14. 유압식 엘리베이터의 밸브에 관한 설명 중 틀린 것은?
- ① 체크밸브는 펌프와 차단밸브 사이의 회로에 설치되어야 한다.
 - ② 차단밸브는 엘리베이터 구동기의 다른 밸브와 가까이 위치되어야 한다.
 - ③ 압력 릴리프 밸브는 압력을 전 부하 압력의 125%까지 제한하도록 맞추어 조절되어야 한다.
 - ④ 하강밸브는 전기적으로 개회로 상태로 유지되어야 하며, 잭에서 발생하는 유압 및 밸브 당 1개 이상의 안내된 압축 스프링에 의해 닫혀야 한다.
 
등록된 댓글이 없습니다.
15. 승강장의 도어 인터록의 설정 방법으로 옳은 것은?
- ① 잠김 후 스위치가 작동하도록 한다.
 - ② 잠김 전에 스위치가 작동하도록 한다.
 - ③ 잠김과 스위치가 동시에 작동하도록 한다.
 - ④ 잠김만 확실하면 되고, 스위치 작동여부는 관계가 없다.
 
등록된 댓글이 없습니다.
16. 균형체인의 설치 목적으로 가장 옳은 것은?
- ① 카의 소음진동을 방지하기 위해서
 - ② 균형추의 무게를 보상하기 위해서
 - ③ 카 안의 승객 무게를 보상하기 위해서
 - ④ 와이어로프의 무게를 보상하기 위해서
 
등록된 댓글이 없습니다.
17. 높이가 6m 이하이고 공칭속도가 0.5m/s 이하인 경우에는 에스컬레이터의 경사도를 몇 도까지 증가시킬 수 있는가?
- ① 6°
 - ② 12°
 - ③ 30°
 - ④ 35°
 
등록된 댓글이 없습니다.
18. 카에서 현수로프가 끊어지더라도 조속기 작동속도에서 하강방향으로 작동하여 가이드 레일을 잡아 정격하중의 카를 정지시킬 수 있는 장치는 무엇인가?
- ① 조속기
 - ② 완충기
 - ③ 브레이크
 - ④ 비상정지장치
 
등록된 댓글이 없습니다.
19. 다음 중 균형추측에도 비상정지장치를 설치하여야 하는 경우는?
- ① 적재하중이 1000kgf 이상인 경우
 - ② 승강기의 속도가 90m/min 이상인 경우
 - ③ 정지 층수가 16층 이상인 비상호기의 경우
 - ④ 승강로의 피트 바닥 하부를 거실 또는 여러 사람이 출입하는 통로 등으로 사용하는 경우
 
등록된 댓글이 없습니다.
20. 도어시스템의 종류를 분류할 때 문자 “S"는 무엇을 나타내는가?
- ① 문의 형태
 - ② 문의 재질
 - ③ 문의 용도
 - ④ 문의 가로열기
 
등록된 댓글이 없습니다.
2과목 : 승강기설계
21. 기어드 권상기에 적용되는 웜기어의 특징이 아닌 것은?
- ① 효율이 낮다.
 - ② 감속비가 작다.
 - ③ 역전방지를 할 수 있다.
 - ④ 헬리컬 기어에 비해 소음이 작다.
 
등록된 댓글이 없습니다.
22. 전기식 엘리베이터에서 권상 구동식 엘리베이터의 상부틈새에 대한 설명 중 틀린 것은?
- ① 균형추가 완전히 압축된 완충기 위에 있을 때 카 가이드 레일의 길이는 0.1 + 0.035v2m 이상 연장되어야 한다.
 - ② 균형추가 완전히 압축된 완충기 위에 있을 때 카 위에는 0.4m × 0.5m × 0.8m 이상의 장방형 블록을 수용할 수 있는 충분한 공간이 있어야 한다.
 - ③ 균형추가 완전히 압축된 완충기 위에 있을 때, 균형추 가이드 레일의 길이는 0.1 + 0.035v2m 이상 연장되어야 한다.
 - ④ 균형추가 완전히 압축된 완충기 위에 있을 때 승강로 천장의 가장 낮은 부분과 가이드 슈 도는 롤러, 로프 연결부 및 수직 개폐식 문의 헤어 또는 부품의 가장 높은 부분(있는 경우) 사이의 수직거리는 0.1 + 0.035v2m 이상이어야 한다.
 
등록된 댓글이 없습니다.
23. 수평 개폐식 승강장문의 조립체가 유효 출입구 면적의 50% 이상이 유리로 된 경우 몇 J의 운동에너지로 충격을 가했을 때 승강장문의 이탈 없이 견뎌야 하는가?
- ① 228
 - ② 308
 - ③ 450
 - ④ 480
 
등록된 댓글이 없습니다.
24. 그림과 같은 보의 지점 RA, RB의 반력은?

- ① Wℓ=RA=RB
 - ② 

 - ③ 

 - ④ 

 
등록된 댓글이 없습니다.
25. 유압식 엘리베이터에서 실린더 하부에 설치되는 밸브는?
- ① 체크밸브
 - ② 스톱밸브
 - ③ 럽쳐밸브
 - ④ 릴리프밸브
 
등록된 댓글이 없습니다.
26. 카 바닥과 카 틀의 부재에 작용하는 하중의 종류로 틀린 것은?(오류 신고가 접수된 문제입니다. 반드시 정답과 해설을 확인하시기 바랍니다.)
- ① 카 바닥 - 굽힘력
 - ② 상부체대 - 굽힘력
 - ③ 하부체대 - 굽힙력
 - ④ 카 주 - 굽힘력, 장력
 
등록된 댓글이 없습니다.
27. 엘리베이터용 T형 가이드레일의 표준길이는 약 몇 m 인가?
- ① 3
 - ② 5
 - ③ 7
 - ④ 10
 
등록된 댓글이 없습니다.
28. 카 레일용 브래킷에 관한 설명으로 틀린 것은?
- ① 벽면으로부터 1000mm 이하로 설치하여야 한다.
 - ② 구조 및 형태는 레일을 지지하기에 견고하여야 한다.
 - ③ 사다리형 브래킷의 경사부 각도는 15~30도로 제작한다.
 - ④ 콘크리트에 대하여는 앵커볼트로 견고히 부착하여야 한다.
 
등록된 댓글이 없습니다.
29. 권상기에 대한 설명으로 옳은 것은?
- ① 권상기 도르래와 로프의 권부각이 클수록 미끄러지기 쉽다.
 - ② 권상기 도르래의 지름은 로프 지름의 20배 이상으로 하여야 한다.
 - ③ 도드래의 로프홈은 U홈을 사용하는 것이 마찰계수가 커서 유리하다.
 - ④ 승객용 엘리베이터의 브레이크장치는 정격하중의 125% 하중에서 하강 시 안전하게 감속·정지하여야 한다.
 
등록된 댓글이 없습니다.
30. 정격속도가 1m/s를 초과하는 엘리베이터에 사용되는 점차 작동형 비상정지장치의 작동을 위한 조속기는 정격속도의 115% 이상의 속도 그리고 몇 m/s 미만에서 작동되어야 하는가? (딴, V는 엘리베이터의 정격속도(m/s)이다.)
- ① 1.3V
 - ② 1.4V
 - ③ 12.5V + 0.25/V
 - ④ 1.25v + 0.75/V
 
등록된 댓글이 없습니다.
31. 승객수 20명의 일주시간이 25초일 경우 엘리베이터 1대당 5분간 수송능력은?
- ① 200명
 - ② 210명
 - ③ 220명
 - ④ 240명
 
등록된 댓글이 없습니다.
32. 엘리베이터 제어방식 중 교류귀한 제어방식을 사용하는 이유로 옳은 것은?
- ① 점호각을 제어하기 위하여
 - ② 병렬운전을 제어하기 위하여
 - ③ 정류개선을 제어하기 위하여
 - ④ 전동기 속도를 제어하기 위하여
 
등록된 댓글이 없습니다.
33. 엘리베이터용 전동기의 용량 결정과 관계가 없는 것은?
- ① 정격속도
 - ② 정격하중
 - ③ 로핑방식
 - ④ 주행거리
 
등록된 댓글이 없습니다.
34. 다음 ( ) 안에 들어갈 말로 옳은 것은?

- ① 0.5
 - ② 0.7
 - ③ 0.9
 - ④ 1
 
등록된 댓글이 없습니다.
35. 레일의 적용 시 고려할 사항이 아닌 것은?
- ① 좌굴하중
 - ② 수평진동력
 - ③ 수직진동력
 - ④ 회전모멘트
 
등록된 댓글이 없습니다.
36. 대용량의 저속 화물용 엘리베이터에 적용되는 3:1 또는 4:1 로핑(roping)방식의 결점으로 틀린 것은?
- ① 로프의 수명이 짧아진다.
 - ② 총합효율이 매우 저하된다.
 - ③ 1본의 로프 길이가 매우 길게 된다.
 - ④ 로프의 수명은 1:1 방식과 차이가 없다.
 
등록된 댓글이 없습니다.
37. 정격속도 1m/s를 초과하여 운행 중인 엘리베이터 카 문을 개방하기 위해 필요한 힘은 몇 N 이상이어야 하는가? (단, 잠금해제구간에서는 제외한다.)
- ① 30
 - ② 50
 - ③ 75
 - ④ 100
 
등록된 댓글이 없습니다.
38. 균형추를 적용하는 권상식 엘리베이터에서 승강기의 정격하중 L(kg), 정격속도 60m/min, 오버밸런스율 0.5, 권상기 효율 0.5일 때, 전동기의 용량 P는 약 몇 kW인가? (단, 다른 조건은 무시한다.)
- ① P = 0.01 ㅣL
 - ② P = 0.02ㅣL
 - ③ P = 0.03ㅣL
 - ④ P = 0.04ㅣL
 
등록된 댓글이 없습니다.
39. 정격전류가 다른 여러 대의 엘리베이터에 대한 변압기의 용량을 산정하는 방법으로 옳은 것은?
- ① 정격전류별로 변압기 용량을 산정한 후 가장 낮은 값으로 한다.
 - ② 정격전류별로 변압기 용량을 산정한 후 가장 높은 값으로 한다.
 - ③ 정격전류별로 변압기 용량을 산정한 후 그 값을 모두 더한 값으로 한다.
 - ④ 정격전류별로 변압기 용량을 산정한 후 그 값을 모두 더하여 엘리베이터 대수로 나눈 값으로 한다.
 
등록된 댓글이 없습니다.
40. 4대의 엘리베이터가 그룹으로 설치된 건물에서 평균 왕복주행시간이 120초일 경우 승객의 평균 대기시간은 몇 초인가?
- ① 10
 - ② 15
 - ③ 20
 - ④ 30
 
등록된 댓글이 없습니다.
3과목 : 일반기계공학
41. 원심 펌프에서 송출압력 0.2N/mm2, 흡입 진공압력 0.05N/mm2, 압력계와 진공계 사이의 높이차 600㎜일 때, 펌프의 전양정(m)은? (단, 흡입관과 송출관의 지름은 같다.)
- ① 16.5
 - ② 26.1
 - ③ 30.6
 - ④ 36.3
 
등록된 댓글이 없습니다.
42. 비교측정의 표준이 되는 게이지는?
- ① 한계 게이지
 - ② 센터 게이지
 - ③ 게이지 블록
 - ④ 마이크로 미터
 
등록된 댓글이 없습니다.
43. 속이 빈 모양의 목형을 주형 내부에서 지지할 수 있도록 목형에 덧붙여 만든 돌출부는?
- ① 라운딩(rounding)
 - ② 코어 프린트(core print)
 - ③ 목형 기울기(draft taper)
 - ④ 보정 여유(compensation allowance)
 
등록된 댓글이 없습니다.
44. 비틀림모멘트(T)와 휨모멘트(M)를 동시에 받는 재료의 상당 비틀림모멘트(Te)는?
- ① 

 - ② 

 - ③ 

 - ④ 

 
등록된 댓글이 없습니다.
45. 다음 중 기어의 언더컷이 발생하는 원인으로 옳은 것은?
- ① 잇수가 많을 때
 - ② 이 끝이 둥글 때
 - ③ 잇수비가 아주 클 때
 - ④ 이 끝 높이가 낮을 때
 
등록된 댓글이 없습니다.
46. 하중 30kN을 지지하는 훅 볼트의 미터나사 크기로 적절한 것은? (단, 나사재질의 허용응력은 60MPa이고, 나사의 골지름(d1)은 ‘d1=0.8×바깥지름’이다.)
- ① M20
 - ② M24
 - ③ M28
 - ④ M32
 
등록된 댓글이 없습니다.
47. 용접봉 피복제의 역할이 아닌 것은?
- ① 아크를 안정시킨다.
 - ② 용착 금속의 급냉을 방지한다.
 - ③ 용착 금속의 탈산·정련작용을 한다.
 - ④ 용융점이 높은 슬래그를 많이 만든다.
 
등록된 댓글이 없습니다.
48. 회주철의 일반적인 탄소 함량은?
- ① 2 ~ 4%
 - ② 1 ~ 1.5%
 - ③ 1.5% ~ 2%
 - ④ 3.0 ~ 3.6%
 
등록된 댓글이 없습니다.
49. 선반작업에서 공작물의 지름 D(mm), 1분간의 회전수 N(r/min)일 때, 절삭속도 V(m/min)는?
- ① V = πDN
 - ② 

 - ③ 

 - ④ 

 
등록된 댓글이 없습니다.
50. 충격응력에 대한 설명으로 옳은 것은?
- ① 체적에 비례한다.
 - ② 재료의 탄성계수에 반비례한다.
 - ③ 운동에너지를 증가시킴으로써 응력이 감소한다.
 - ④ 단면적이나 길이를 증가시킴으로써 응력이 감소한다.
 
등록된 댓글이 없습니다.
51. 안장시험에 나타난 각 점 중 훅의 법칙(Hooke's law)이 적용되는 범위는?
- ① 비례한도
 - ② 극한강도
 - ③ 파단점
 - ④ 항복점
 
등록된 댓글이 없습니다.
52. 2개의 너트를 사용하여 충분히 죈 후 안쪽의 너트를 풀어 너트의 풀림을 방지하는 방법은?
- ① 2줄 나사에 의한 방법
 - ② 로크 너트에 의한 방법
 - ③ 멈춤 나사에 의한 방법
 - ④ 자동 죔 너트에 의한 방법
 
등록된 댓글이 없습니다.
53. 그림과 같은 외팔보에 2kN의 집중하중이 작용 할 때, 지지점 A에서의 굽힘응력은 약 몇 MPa인가? (단, 길이 50cm, 8.5cm×8.5cm)

- ① 2.44
 - ② 4.88
 - ③ 9.77
 - ④ 19.54
 
등록된 댓글이 없습니다.
54. 저널과 베어링이 직접 미끄럼에 의해 접촉을 하는 베어링은?
- ① 슬라이딩 베어링
 - ② 롤러 베어링
 - ③ 니들 베어링
 - ④ 볼 베어링
 
등록된 댓글이 없습니다.
55. 유압의 특성에 대한 설명으로 틀린 것은?
- ① 과부하에 대한 아전장치가 필요하다.
 - ② 작은 힘으로 큰 출력을 얻을 수 있다.
 - ③ 열 발생에 대한 냉각장치가 필요없다.
 - ④ 힘과 속도를 자유롭게 변속시킬 수 있다.
 
등록된 댓글이 없습니다.
56. 그림의 단식블록 브레이크에서 브레이크에 가해지는 힘(F)은? (단, W는 브레이크 드럼과 브레이크 블록 사이에 작용하는 힘, μ는 마찰계수, f는 마찰력이다.)

- ① 

 - ② 

 - ③ 

 - ④ 

 
등록된 댓글이 없습니다.
57. 다음의 특징을 갖는 금속은?

- ① 니켈(Ni)
 - ② 구리(Cu)
 - ③ 아연(Zn)
 - ④ 티탄(Ti)
 
등록된 댓글이 없습니다.
58. 압출가공에 관한 설명으로 틀린 것은?
- ① 속이 빈 용기의 생산에는 충격압출이 적합하다.
 - ② 납 파이프나 건전지 케이스의 생산에 적합하다.
 - ③ 단면의 형태가 다양한 직선과 곡선 제품의 생산이 가능하다.
 - ④ 압출에 의한 표면결함은 소재온도와 가공속도를 늦춤으로써 방지할 수 있다.
 
등록된 댓글이 없습니다.
59. 강의 표면에 알루미늄(Al)을 침투시켜 내식성을 증가시키는 침투법은?
- ① 크로마이징(Chromizing)
 - ② 칼로라이징(Calorizing)
 - ③ 보론나이징(Boronizing)
 - ④ 실리콘나이징(Siliconizing)
 
등록된 댓글이 없습니다.
60. 압력제어밸브가 아닌 것은?
- ① 교축 밸브
 - ② 감압 밸브
 - ③ 릴리프 밸브
 - ④ 무부하 밸브
 
등록된 댓글이 없습니다.
4과목 : 전기제어공학
61. 변압기 내부 고장 검출용 보호계전기는?
- ① 차동계전기
 - ② 과전류계전기
 - ③ 역상계전기
 - ④ 부족전압계전기
 
등록된 댓글이 없습니다.
62. 피측정단자에 그림과 같이 결선하여 전압계로 e(V)라는 전압을 얻었을 때 피측정단자의 절연저항은 몇 MΩ 인가? (단, Rm : 전압계 내부저항(Ω), V : 시험전압(V)이다.)

- ① 

 - ② 

 - ③ 

 - ④ 

 
등록된 댓글이 없습니다.
63. 임피던스 강하가 4%인 어느 변압기가 운전 중 단락되었다면 그 단락전류는 정격전류의 몇 배가 되는가?
- ① 10
 - ② 20
 - ③ 25
 - ④ 30
 
등록된 댓글이 없습니다.
64. 되먹임 제어계에서 ⓐ부분에 해당하는 것은?

- ① 조절부
 - ② 조작부
 - ③ 검출부
 - ④ 목표값
 
등록된 댓글이 없습니다.
65. 되먹임 제어를 옳게 설명한 것은?
- ① 입력과 출력을 비교하여 정정동작을 하는 방식
 - ② 프로그램의 순서대로 순차적으로 제어하는 방식
 - ③ 외부에서 명령을 입력하는데 따라 제어되는 방식
 - ④ 미리 정해진 순서에 따라 순차적으로 제어되는 방식
 
등록된 댓글이 없습니다.
66. 교류에서 실효값과 최대값의 관계는?
- ① 실효값 = 최대값/√2
 - ② 실효값 = 최대값/√3
 - ③ 실효값 = 최대값/2
 - ④ 실효값 = 최대값/3
 
등록된 댓글이 없습니다.
67. 직류전동기의 속도제어법으로 틀린 것은?
- ① 저항제어
 - ② 계자제어
 - ③ 전압제어
 - ④ 주파수제어
 
등록된 댓글이 없습니다.
68. 프로세스 제어나 자동 조정 등 목표값이 시간에 대하여 변화하지 않는 제어를 무엇이라 하는가?
- ① 추종제어
 - ② 비율제어
 - ③ 정치제어
 - ④ 프로그램제어
 
등록된 댓글이 없습니다.
69. 배리스터(Varistor)란?
- ① 비직선적인 전압-전류 특성을 갖는 2단자 반도체소자이다.
 - ② 비직선적인 전압-전류 특성을 갖는 3단자 반도체소자이다.
 - ③ 비직선적인 전압-전류 특성을 갖는 4단자 반도체소자이다.
 - ④ 비직선적인 전압-전류 특성을 갖는 리액턴스 소자이다.
 
등록된 댓글이 없습니다.
70. 콘덴서만의 회로에서 전압과 전류 사이의 위상관계는?
- ① 전압이 전류보다 90도 앞선다.
 - ② 전압이 전류보다 90도 뒤진다.
 - ③ 전압이 전류보다 180도 앞선다.
 - ④ 전압이 전류보다 180도 뒤진다.
 
등록된 댓글이 없습니다.
71. 다음 중 다른 값을 나타내는 논리식은?
- ① XY+Y
 - ② 

 - ③ 

 - ④ 

 
등록된 댓글이 없습니다.
72. 그림과 같은 블록선도와 등가인 것은?

- ① 

 - ② 

 - ③ 

 - ④ 

 
등록된 댓글이 없습니다.
73. 그림과 같은 블록선도에서 전달함수 C/R는?

- ① 

 - ② 

 - ③ 

 - ④ 

 
등록된 댓글이 없습니다.
74. 보드선도의 위상여유가 45°인 제어계의 계통은?
- ① 안전하다.
 - ② 불안정하다.
 - ③ 무조건 불안정하다.
 - ④ 조건에 따른 안정을 유지한다.
 
등록된 댓글이 없습니다.
75. 잔류 편차(off-set)를 발생하는 제어는?
- ① 미분 제어
 - ② 적분 제어
 - ③ 비례 제어
 - ④ 비례 적분 미분 제어
 
등록된 댓글이 없습니다.
76. 50Ω의 저항 4개를 이용하여 가장 큰 합성저항을 얻으면 몇 Ω 인가?
- ① 75
 - ② 150
 - ③ 200
 - ④ 400
 
등록된 댓글이 없습니다.
77. 직류발전기 전기자 반작용의 영향이 아닌 것은?
- ① 절연내력의 저하
 - ② 자속의 크기 감소
 - ③ 유기기전력의 감소
 - ④ 자기 중성축의 이동
 
등록된 댓글이 없습니다.
78. 온도에 따라 저항값이 변화하는 것은?
- ① 서미스터
 - ② 노즐플래퍼
 - ③ 앰플리다인
 - ④ 트랜지스터
 
등록된 댓글이 없습니다.
79. 그림과 같은 그래프에 해당하는 함수를 라플라스 변환하면?

- ① 1
 - ② 1/s
 - ③ 1/s+1
 - ④ 1/s2
 
등록된 댓글이 없습니다.
80. 인 특성방정식의 근은?
- ① -1
 - ② -3, 2
 - ③ -1, -3
 - ④ -1, -3, 2
 
등록된 댓글이 없습니다.