전자기사(2015. 5. 31.) 시험일자 : 2015년 5월 31일
1과목 : 전기자기학
1. 그림과 같은 단극 유도장치에서 자속밀도 B(T)로 균일하게 반지름 a(m)인 원통형 영구자석 중심축 주위를 각속도 ω(rad/s)로 회전하고 있다. 이 때 브러시(접촉자)에서 인출되어 저항 R(Ω)에 흐르는 전류는 몇 [A]인가?

- ① aBω/R
- ② a2Bω/R
- ③ aBω/2R
- ④ a2Bω/2R
등록된 댓글이 없습니다.
2. 다음 ( )안의 ㉠과 ㉡에 들어갈 알맞은 내용은?

- ① ㉠ 비례, ㉡ 비례
- ② ㉠ 반비례, ㉡ 반비례
- ③ ㉠ 비례, ㉡ 반비례
- ④ ㉠ 반비례, ㉡ 비례
등록된 댓글이 없습니다.
3. 평면도체 표면에서 d(m)의 거리에 점전하 Q(C)가 있을 때 이 전하를 무한원까지 운반하는데 필요한 일은 몇 [J]인가?
- ①

- ②

- ③

- ④

등록된 댓글이 없습니다.
4. 다음 중 틀린 것은?
- ① 도체의 전류밀도 J는 가해진 전기장 E에 비례하여 온도변화와 무관하게 항상 일정하다.
- ② 도전율의 변화는 원자구조, 불순도 및 온도에 의하여 설명이 가능하다.
- ③ 전기저항은 도체의 재질, 형상, 온도에 따라 결정되는 상수이다.
- ④ 고유저항의 단위는 Ωㆍm이다.
등록된 댓글이 없습니다.
5. 두 개의 자극판이 놓여 있을 때 자계의 세기 H(AT/m), 자속밀도 B(Wb/m2), 투자율 μ(H/m)인 곳의 자계의 에너지밀도(J/m3)는?
- ①

- ②

- ③

- ④

등록된 댓글이 없습니다.
6. 유전율 ε, 전계의 세기 E인 유전체의 단위 체적에 축적되는 에너지는?
- ① E/2Є
- ② ЄE/2
- ③ ЄE2/2
- ④ Є2E2/2
등록된 댓글이 없습니다.
7. 내경의 반지름이 1mm, 외경의 반지름이 3mm인 동축 케이블의 단위 길이당 인덕턴스는 약 몇 [μH/m]인가? (단, 이 때 μr=1이며, 내부 인덕턴스는 무시한다.)
- ① 0.12
- ② 0.22
- ③ 0.32
- ④ 0.42
등록된 댓글이 없습니다.
8. 자기쌍극자에 의한 자위 U(A)에 해당되는 것은? (단, 자기쌍극자의 자기모멘트는 M(Wbㆍm), 쌍극자의 중심으로부터의 거리는 r(m), 쌍극자의 정방향과의 각도는 θ라 한다.)
- ①

- ②

- ③

- ④

등록된 댓글이 없습니다.
9. 수직 편파는?
- ① 전계가 대지에 대해서 수직면에 있는 전자파
- ② 전계가 대지에 대해서 수평면에 있는 전자파
- ③ 자계가 대지에 대해서 수직면에 있는 전자파
- ④ 자계가 대지에 대해서 수평면에 있는 전자파
등록된 댓글이 없습니다.
10. 영구자석에 관한 설명으로 틀린 것은?
- ① 한번 자화된 다음에는 자기를 영구적으로 보존하는 자석이다.
- ② 보자력이 클수록 자계가 강한 영구자석이 된다.
- ③ 잔류 자속밀도가 클수록 자계가 강한 영구자석이 된다.
- ④ 자석재료로 폐회로를 만들면 강한 영구자석이 된다.
등록된 댓글이 없습니다.
11. 자극의 세기가 8×10-6[Wb], 길이가 3[cm]인 막대자석을 120[AT/m]의 평등자계 내에 자력선과 30°의 각도로 놓으면 이 막대자석이 받는 회전력은 몇 [Nㆍm]인가?
- ① 3.02×10-5
- ② 3.02×10-4
- ③ 1.44×10-5
- ④ 1.44×10-4
등록된 댓글이 없습니다.
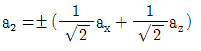
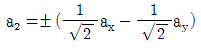
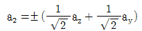
12. 원점에서 점(-2, 1, 2)로 향하는 단위벡터를 a1이라 할 때 y=0인 평면에 평행이고 a1에 수직인 단위벡터 a2는?
- ①

- ②

- ③

- ④

등록된 댓글이 없습니다.
13. 비유전율이 10인 유전체를 5[V/m]인 전계 내에 놓으면 유전체의 표면전하밀도는 몇 [C/m2]인가? (단, 유전체의 표면과 전계는 직각이다.)
- ① 35ε0
- ② 45ε0
- ③ 55ε0
- ④ 65ε0
등록된 댓글이 없습니다.
14. 내구의 반지름이 a(m), 외구의 내반지름이 b(m)인 동심 구형 콘덴서의 내구의 반지름과 외구의 내반지름을 각각 2a(m), 2b(m)로 증가시키면 이 동심구형 콘덴서의 정전용량은 몇 배로 되는가?
- ① 1
- ② 2
- ③ 3
- ④ 4
등록된 댓글이 없습니다.
15. 반경 r1, r2인 동심구가 있다. 반경 r1, r2인 구 껍질에 각각 +Q1, +Q2의 전하가 분포되어 있는 경우 r1≤r ≤r2에서의 전위는?
- ①

- ②

- ③

- ④

등록된 댓글이 없습니다.
16. 평면 전자파에서 전계의 세기가 인 공기 중에서의 자계의 세기는 몇 [μA/m]인가?
- ①

- ②

- ③

- ④

등록된 댓글이 없습니다.
17. 그림과 같은 동축원통의 왕복 전류회로가 있다. 도체 단면에 고르게 퍼진 일정 크기의 전류가 내부 도체로 흘러 들어가고 외부 도체로 흘러나올 때 전류에 의하여 생기는 자계에 대하여 틀린 것은?

- ① 외부 공간 (r>c)의 자계는 영(0)이다.
- ② 내부 도체 내(r<a)에 생기는 자계의 크기는 중심으로부터 거리에 비례한다.
- ③ 외부 도체 내(b<r<c)에 생기는 자계의 크기는 중심으로부터 거리에 관계없이 일정하다.
- ④ 두 도체사이(내부공간)(a<r<b)에 생기는 자계의 크기는 중심으로부터 거리에 반비례한다.
등록된 댓글이 없습니다.
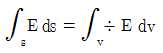
18. 다음 중 식이 틀린 것은?
- ① 발산의 정리 :

- ② Poisson의 방정식 :

- ③ Gauss의 정리 : divD=ρ
- ④ Laplace의 방정식 : ▽2V=0
등록된 댓글이 없습니다.
19. 길이 ℓ(m), 단면적의 반지름 a(m)인 원통이 길이 방향으로 균일하게 자화되어 자화의 세기가 J(Wb/m2)인 경우, 원통 양단에서의 전자극의 세기 m(Wb)은?
- ① J
- ② 1πJ
- ③ πa2J
- ④ J/πa2
등록된 댓글이 없습니다.
20. 반경 인 구도체에 -Q의 전하를 주고 구도체의 중심 O에서 10a 되는 점 P에 10Q의 점전하를 놓았을 때, 직선 OP 위의 점 중에서 전위가 0이 되는 지점과 구도체의 중심 O와의 거리는?
- ① a/5
- ② a/2
- ③ a
- ④ 2a
등록된 댓글이 없습니다.
2과목 : 회로이론
21. 다음 회로에서 전류 I1(실효값)은? (단, n1 : n2 = 1 : 10 이다.)

- ① 500mA
- ② 250mA
- ③ 125mA
- ④ 50mA
등록된 댓글이 없습니다.
22. L=10(mH)인 인덕턴스에 i(t)=10e-5t(A)인 전류가 흐르는 경우, t=0에서 인덕턴스 L의 단자전압은?
- ① 0.05V
- ② 0.5V
- ③ -0.05V
- ④ -0.5V
등록된 댓글이 없습니다.
23. 그림과 같은 회로가 정저항 회로가 되기 위한 ωL의 값은?

- ① 12/13Ω
- ② 1Ω
- ③ 14/13Ω
- ④ 15/13Ω
등록된 댓글이 없습니다.
24. 500(mH)인 코일에 흐르는 전류를 30[A/s]의 비율로 증가시킬 때, 코일 양단에 나타나는 전압의 크기는? (단, 전압의 크기는 절대값이다.)
- ① 0.15V
- ② 1.5V
- ③ 15V
- ④ 150V
등록된 댓글이 없습니다.
25. 다음과 같은 회로망에서 단자 1, 2에서 바라본 데브난 등가저항의 크기는?

- ① 3Ω
- ② 5Ω
- ③ 8Ω
- ④ 12Ω
등록된 댓글이 없습니다.
26. 회로에서 스위치가 오랫동안 개방되어 있다가 t=0에 닫았을 때, 바로 직후의 전류 iL(0+)와 전압 vC(0+)으로 적절한 것은? (단, t< 0에서 VC = 3V이다.)

- ①

- ②

- ③

- ④

등록된 댓글이 없습니다.
27. C(s)=G(s)R(s)에서 입력 함수로 단위 임펄스 δ(t)를 가할 때 출력 C(s)는? (단, G(s)는 전달함수, R(s)는 입력이다.)
- ① G(s)
- ② G(s)/s
- ③ sG(s)
- ④ 1
등록된 댓글이 없습니다.
28. 회로에 전압과 전류가 각각 V(t)=Asinωt, I(t)=Bsin(ωt+θ)일 때, 소비되는 평균전력은?
- ① ABsinθ/2
- ② ABcosθ/√2
- ③ ABsinθ/√2
- ④ ABcosθ/2
등록된 댓글이 없습니다.
29. 정현 대칭에서 성립하는 함수식은?
- ① f(t) = 1/f(t)
- ② f(t) = -f(t)
- ③ f(t) = f(-t)
- ④ f(t) = -f(-t)
등록된 댓글이 없습니다.
30. 회로에서 결합계수가 K일 때 상호인덕턴스 M은?

- ①

- ②

- ③

- ④

등록된 댓글이 없습니다.
31. 내부 임피던스 Zg=0.2+j2Ω인 발전기에 임피던스 Z1=2.0+j3Ω인 선로를 연결하여 부하에 전력을 공급할 때 부하에 최대 전력이 전송되기 위한 부파 임피던스는?
- ① 1.8+jΩ
- ② 1.8-jΩ
- ③ 2.2+j5Ω
- ④ 2.2-j5Ω
등록된 댓글이 없습니다.
32. 그림과 같은 파형의 평균값은? (단, y=10 e-200t 이다.)

- ① 1
- ② 5
- ③ 5/√2
- ④ √5
등록된 댓글이 없습니다.
33. 선형 회로에서 시변 용량을 갖는 커패시터의 전류 i(t)는?
- ①

- ②

- ③

- ④

등록된 댓글이 없습니다.
34. 차단 주파수에 대한 설명으로 틀린 것은?
- ① 출력 전압이 최대값의 1/√2이 되는 주파수이다.
- ② 전력이 최대값의 1/2이 되는 주파수이다.
- ③ 전압과 전류의 위상차가 60°가 되는 주파수이다.
- ④ 출력 전류가 최대값의 1/√2이 되는 주파수이다.
등록된 댓글이 없습니다.
35. 그림과 같은 R-C 회로에서 변환 임피던스(transform impedance) Z(s)를 구하면?

- ①

- ②

- ③

- ④

등록된 댓글이 없습니다.
36. 다음 그림의 라플라스(Laplace) 변환은?
- ① m/s3
- ② m/s2
- ③ m/s
- ④ 1/sm
등록된 댓글이 없습니다.
37. 임피던스 Z(S)가 인 2단자 회로에 직류 전류 20[A]를 인가할 때 단자 전압은?
- ① 20V
- ② 40V
- ③ 200V
- ④ 400V
등록된 댓글이 없습니다.
38. 4단자 ABCD 파라미터의 표현이 틀린 것은?
- ①

- ②

- ③

- ④

등록된 댓글이 없습니다.
39. π형 회로망의 어드미턴스 파라미터 관계가 틀린 것은?
- ① Y11 = Ya + Yb
- ② Y22 = Ya + Yc
- ③ Y12 = -Ya
- ④ Y21 = Ya
등록된 댓글이 없습니다.
40. RL 직렬회로에 일정한 정현파 전압을 인가하였을 때 인덕터의 양단 전압에 나타나는 현상은?
- ① 신호원의 전압과 위상이 동일한 형태로 나타난다.
- ② 인덕터 전류와 위상이 동일한 형태로 나타난다.
- ③ 저항양단 전압보다 90°만큼 앞선 위상이 나타난다.
- ④ 신호원 전압보다 90°만큼 앞선 위상이 나타난다.
등록된 댓글이 없습니다.
3과목 : 전자회로
41. 부성저항 특성을 가지고 있어 발진회로에 응용 가능한 소자는?
- ① CdS
- ② 서미스터
- ③ 제너 다이오드
- ④ 터널 다이오드
등록된 댓글이 없습니다.
42. 귀환 발진기의 발진 조건을 나타내는 식은? (단, A는 증폭도, β는 귀환율이다.)
- ① βA=1
- ② βA=0
- ③ βA=100
- ④ βA=∞
등록된 댓글이 없습니다.
43. 발진회로 구성시 유의사항으로 틀린 것은?
- ① 발진소자는 온도편차가 적은 것으로 선정한다.
- ② 발진회로내의 연결선은 가능한 한 짧아야 좋다.
- ③ 발진주파수는 외부로 많이 방사 되도록 한다.
- ④ 발진회로 주변은 그라운드(Ground)로 차폐한다.
등록된 댓글이 없습니다.
44. 수정발진기의 특징으로 가장 적합한 것은?
- ① 가변성
- ② 안정성
- ③ 경제성
- ④ 높은 발진 주파수
등록된 댓글이 없습니다.
45. 연산회로에서 입력전압이 각각 V1=5[V], V2=10[V]이고, 저항 R1=R2=Rf=10[kΩ]일 때 출력 전압은?

- ① -5[V]
- ② -15[V]
- ③ 10[V]
- ④ 20[V]
등록된 댓글이 없습니다.
46. MOSFET의 채널은 어느 단자 사이에 형성되는가?
- ① 입력과 출력 사이
- ② 게이트와 소스 사이
- ③ 게이트와 드레인 사이
- ④ 드레인과 소스 사이
등록된 댓글이 없습니다.
47. 2단 연산증폭기의 종합이득(Vo/Vs)은?

- ① 26[dB]
- ② 40[dB]
- ③ 46[dB]
- ④ 52[dB]
등록된 댓글이 없습니다.
48. 베이스 접지 증폭회로에 대한 설명으로 틀린 것은?
- ① 고주파수 특성이 양호하다.
- ② 입출력 위상은 동위상이다.
- ③ 입력저항은 수십[Ω] 정도로 작다.
- ④ 전류이득이 수십 ~ 수백으로 크다.
등록된 댓글이 없습니다.
49. 1[kHz]의 신호파로 100[MHz]의 반송파를 주파수 변조하였을 때 최대 주파수편이가 ±49[kHz]이면 점유 주파수 대역폭은?
- ① 200[kHz]
- ② 100[kHz]
- ③ 50[kHz]
- ④ 1[kHz]
등록된 댓글이 없습니다.
50. 회로(a)와 회로(b)가 등가가 되기 위한 밀러 커패시턴스의 용량은 약 얼마인가? (단, Av=100, C=1[μF])

- ① C1 = 100[μF], C2 = 10[μF]
- ② C1 = 100[μF], C2 = 1[μF]
- ③ C1 = 1[μF], C2 = 100[μF]
- ④ C1 = 10[μF], C2 = 100[μF]
등록된 댓글이 없습니다.
51. 교류 전압에 직류 레벨을 더하는 회로는?
- ① 클리퍼
- ② 클램퍼
- ③ 리미터
- ④ 필터
등록된 댓글이 없습니다.
52. fT가 10[MHz]인 트랜지스터가 중간영역에서 전압이득이 26[dB]인 증폭기로 사용될 때 이상적으로 이룰 수 있는 대역폭은?
- ① 50[kHz]
- ② 193[kHz]
- ③ 385[kHz]
- ④ 500[kHz]
등록된 댓글이 없습니다.
53. 정현파 신호를 변조도 50[%]로 진폭 변조하고 반송파 전력이 1[mW]라고 할 때 상측대파와 하측대파 전력의 합은?
- ① 1/2[mW]
- ② 1/4[mW]
- ③ 1/8[mW]
- ④ 1/16[mW]
등록된 댓글이 없습니다.
54. 저주파 증폭기에서 입력이 100[mV], 전압 이득이 60[dB]일 때 출력 전압의 왜율은? (단, 제2 및 제3 고조파 전압이 각각 1.73[V], 1[V]이다.)
- ① 1[%]
- ② 2[%]
- ③ 5[%]
- ④ 7[%]
등록된 댓글이 없습니다.
55. 연산 증폭기의 출력전압(Vo)으로 가장 적합한 것은?

- ① Vo = Vs
- ② Vo = AㆍVs
- ③ Vo = 0
- ④ Vo = 1
등록된 댓글이 없습니다.
56. A급 증폭회로의 동작점을 구하는 방법은?
- ① 직류 부하선을 평행 이동하여 교류 부하선과 만난점이 1/2일 때
- ② 직류 부하선을 평행 이동하여 교류 부하선과 만난점이 1/4일 때
- ③ 교류 부하선을 평행 이동하여 직류 부하선과 만난점이 1/2일 때
- ④ 교류 부하선을 평행 이동하여 직류 부하선과 만난점이 1/4일 때
등록된 댓글이 없습니다.
57. 다음 회로와 같은 게이트의 기능은?

- ① PMOS NOT
- ② PMOS NAND
- ③ CMOS NOT
- ④ CMOS NAND
등록된 댓글이 없습니다.
58. 발진주파수를 안정시키는 방법으로 적합하지 않은 것은?
- ① 항온조 시설을 한다.
- ② 정전압 회로를 설치한다.
- ③ 주파수 체배기를 사용한다.
- ④ 온도 보상용 부품을 사용한다.
등록된 댓글이 없습니다.
59. 미분기의 출력과 입력은 어떤 관계인가?
- ① 출력은 입력의 변화율에 비례한다.
- ② 출력은 입력의 변화율에 무관하다.
- ③ 출력은 입력의 변화율에 반비례한다.
- ④ 출력은 입력의 변화율의 제곱에 반비례한다.
등록된 댓글이 없습니다.
60. 단상전파정류회로의 맥동 전압주파수가 전원주파수의 3배가 되는 정류방식은?
- ① 3상 반파정류
- ② 단상 브리지정류
- ③ 단상 전파정류
- ④ 3상 전파정류
등록된 댓글이 없습니다.
4과목 : 물리전자공학
61. 다음 중 에피택셜(epitaxial) 성장이란?
- ① 다결정의 Ge 성장
- ② 다결정의 Si 성장
- ③ 기판에 매우 얇은 단결정의 성장
- ④ 기판에 매우 얇은 다결정의 성장
등록된 댓글이 없습니다.
62. 전자의 운동방향과 균일한 자계(B)가 서로 수직한 경우 전자의 운동 방경 r은? (단, 전자의 전하 e, 속도 v, 질량 m이다.)
- ①

- ②

- ③

- ④

등록된 댓글이 없습니다.
63. 접합 트랜지스터를 실제로 응용하기 위한 요구조건이 아닌 것은?
- ① 컬렉터 영역에 역바이어스 인가시 절연파괴 전압을 높이기 위해 캐리어 밀도를 낮게 하여 고유저항을 높여야 한다.
- ② 이미터로부터 이동한 캐리어가 쉽게 컬렉터로 끌리도록 베이스 영역의 캐리어 밀도가 컬렉터 영역보다 높아야 한다.
- ③ 높은 주입 효율을 주기 위하여 이미터 영역의 캐리어 밀도는 베이스 영역보다 높아야 한다.
- ④ 정상적인 동작 상태에서 이미터-베이스 접합은 역바이어스, 베이스-콜렉터 접합은 정바이어스 되어야 한다.
등록된 댓글이 없습니다.
64. 반도체의 특성에 대한 설명으로 틀린 것은?
- ① 홀 효과가 크다.
- ② 빛을 쪼이면 도전율이 증가한다.
- ③ 불순물을 첨가하면 도전율이 감소한다.
- ④ 온도에 의해 도전율이 현저하게 변화한다.
등록된 댓글이 없습니다.
65. Na 금속의 한계 주파수가 4.35×1014[Hz]이다. 이 금속의 일함수는? (단, plank 상수는 6.625×10-34[Jㆍsec], 전자의 전하 e=1.602×10-19[C])
- ① 약 1.8V
- ② 약 2.5V
- ③ 약 3.6V
- ④ 약 5V
등록된 댓글이 없습니다.
66. Fermi-Dirac 분포함수 f(E)에 대한 설명으로 틀린 것은? (단 Ef는 페르미준위이다.)
- ① T=0[K]일 때 E>Ef 이면 f(E)=0 이다.
- ② T=0[K]일 때 Ef 이면 f(E)=1 이다.
- ③ 절대온도에 따라 전자가 채워질 확률은 일정하다.
- ④ T=0[K]일 때 Ef 보다 낮은 에너지준위는 전부 전자로 채워있으며, Ef 이상의 준위는 전부 비어있다.
등록된 댓글이 없습니다.
67. 페르미준위가 5[eV]일 때 전자의 속도는 얼마인가?
- ① 5.93×105[m/s]
- ② 1.33×106[m/s]
- ③ 5.93×106[m/s]
- ④ 1.33×107[m/s]
등록된 댓글이 없습니다.
68. 운동 에너지를 10-16[J] 갖고 있는 전자를 정지시키기 위해서는 몇 [V]의 전압을 공급해야 하는가?
- ① 1×102
- ② 1.6×103
- ③ 6.25×104
- ④ 6.25×102
등록된 댓글이 없습니다.
69. PN접합에서 접촉전위차에 대한 설명으로 옳은 것은?
- ① 불순물 농도가 커지면 전위차는 작아진다.
- ② 진성캐리어는 농도가 낮을수록 전위차는 높아진다.
- ③ 온도가 높아지면 전위차도 높아진다.
- ④ 전계작용에 의해 발생한다.
등록된 댓글이 없습니다.
70. d=0.2[mm]인 Ge 시료에 10[mA]의 전류(I)를 통하고 이에 수직인 방향으로 B=0.1[Wb/m2]의 자장을 가할 경우 홀(Hall) 기전력은? (단, RH=2×10-4[m3/C])

- ① 0.01[mV]
- ② 0.1[mV]
- ③ 1[mV]
- ④ 10[mV]
등록된 댓글이 없습니다.
71. Si 단결정 반도체에서 n형 불순물로 사용될 수 있는 것은?
- ① 인듐(In)
- ② 비소(As)
- ③ 붕소(B)
- ④ 알루미늄(Al)
등록된 댓글이 없습니다.
72. 드리프트 트랜지스터(drift transistor)의 설명으로 틀린 것은?
- ① 컬렉터 용량이 감소한다.
- ② 이미터 효율이 적어진다.
- ③ 이미터 용량이 증가한다.
- ④ 컬렉터 항복 전압이 낮아진다.
등록된 댓글이 없습니다.
73. 드리프트 운동과 확산 운동의 관계를 나타낸 아인슈타인 관계식은?
- ①

- ②

- ③

- ④

등록된 댓글이 없습니다.
74. 가전자대의 전자밀도가 8.4×1028[개/m3]인 금속에 전류밀도가 2×106[A/m2]인 전류가 흐를 때 드리프트 속도는?
- ① 1.488×104[m/s]
- ② 6.25×104[m/s]
- ③ 1.488×10-4[m/s]
- ④ 6.25×10-4[m/s]
등록된 댓글이 없습니다.
75. 다이라트론(thyratron)의 그리드(grid) 작용은 방전이 일어난 후에는 제어기능이 상실되는데 그 원인으로 적당한 것은?
- ① 그리드가 음극에 가깝기 때문
- ② 그리드가 양극에 가깝기 때문
- ③ 방전시 발생하는 음이온 때문
- ④ 방전시 발생하는 양이온 때문
등록된 댓글이 없습니다.
76. 어떤 물질에 X선을 쬐었을 때 산란되는 X선 중에 입사 X선과 같은 파장인 것 이외에 긴 파장이 존재한다는 효과는?
- ① Hall 효과
- ② Compton 효과
- ③ 광전 효과
- ④ 에디슨 효과
등록된 댓글이 없습니다.
77. 전자의 이동도 μn=8×10-4[m2/Vㆍs]인 도체에 전계 E=10[V/m]를 인가하였을 경우 전류밀도는? (단, 전자의 밀도 n=8.5×1028[개/m3]이다.)
- ① 2.3×104[A/m2]
- ② 5.6×106[A/m2]
- ③ 1.1×108[A/m2]
- ④ 3.0×1010[A/m2]
등록된 댓글이 없습니다.
78. 열전자를 방출하기 위한 재료로서 적합하지 않은 것은?
- ① 일함수가 작을 것
- ② 융점이 낮을 것
- ③ 방출 효율이 좋은 것
- ④ 진공 중에서 쉽게 증발되지 않을 것
등록된 댓글이 없습니다.
79. 양자역학의 보어 원자 모형에서 전자의 운동 방경으로 옳은 것은?
- ① 주양자수 n에 비례한다.
- ② 주양자수 n2에 비례한다.
- ③ 주양자수 1/n에 비례한다.
- ④ 주양자수 1/n2에 비례한다.
등록된 댓글이 없습니다.
80. 접합트랜지스터의 베타 차단 주파수 fβ는? (단, β0는 저주파수에서의 β값)
- ① β가 0이 되는 주파수
- ② β가 β0의 0.7배 되는 주파수
- ③ β가 β0의 10배 되는 주파수
- ④ β가 ∞가 되는 주파수
등록된 댓글이 없습니다.
5과목 : 전자계산기일반
81. 확장형 DMA 제어기인 I/O 처리기를 구성하는 하드웨어가 아닌 것은?
- ① I/O 명령어를 실행할 수 있는 프로세서
- ② 데이터블록을 임시 저장할 수 있는 용량의 지역 기억장치
- ③ 시스템 버스에 대한 인터페이스 및 버스마스터회로
- ④ 캐시컨트롤러
등록된 댓글이 없습니다.
82. 마이크로프로세서에 관한 설명으로 틀린 것은?
- ① 중앙처리장치의 모든 구성요소들을 집적회로를 사용하여 제작한 것이다.
- ② 마이크로프로세서는 CISC와 RISC 구조로 구분된다.
- ③ 대형이고 고가격이다.
- ④ 최초로 마이크로프로세서를 만든 회사는 Intel이다.
등록된 댓글이 없습니다.
83. 오류검출 코드가 아닌 것은?
- ① Biquinary
- ② Excess-3
- ③ 2out-of-5
- ④ Hamming
등록된 댓글이 없습니다.
84. 그림의 연산 결과를 올바르게 나타낸 것은?

- ① 11000001
- ② 00111110
- ③ 00111111
- ④ 10000011
등록된 댓글이 없습니다.
85. 컴퓨터로 업무를 처리할 때 처리할 업무를 분석하여 최종 결과가 나오기까지의 작업 절차를 지시하는 명령문의 집합체를 무엇이라고 하는가?
- ① 컴파일(Compile)
- ② 프로그램(program)
- ③ 알고리즘(algorithm)
- ④ 프로그래머(Programmer)
등록된 댓글이 없습니다.
86. 채널에 의한 입출력 방식에서 채널(channel)의 종류가 아닌 것은?
- ① counter channel
- ② selector channel
- ③ multiplexer channel
- ④ block multiplexer channel
등록된 댓글이 없습니다.
87. 어드레스가 10비트, 데이터가 8비트인 메모리가 있다. 어드레스의 최상위 두 비트를 1로 고정하였을 때 메모리의 어드레스 공간은?
- ① 000H ~ 0FFH
- ② 100H ~ 1FFH
- ③ 200H ~ 2FFG
- ④ 300H ~ 3FFH
등록된 댓글이 없습니다.
88. 10진수 4와 10진수 13에 해당하는 그레이 코드(gray code)를 비트 단위(bitwise) OR 연산을 하면 결과는?
- ① 0110
- ② 1011
- ③ 0010
- ④ 1111
등록된 댓글이 없습니다.
89. 순서도 기호에 해당하는 설명으로 틀린 것은?
- ① 서브 루틴 처리

- ② 수조작 입력

- ③ 수작업

- ④ 판단

등록된 댓글이 없습니다.
90. 마이크로컴퓨터의 기본 동작에 필요한 프로그램은?
- ① 바이오스
- ② 인터프리터
- ③ 운영체제
- ④ DOS
등록된 댓글이 없습니다.
91. 휘발성(volatile)과 가장 밀접한 관계를 갖는 메모리는?
- ① RAM
- ② ROM
- ③ PROM
- ④ EPROM
등록된 댓글이 없습니다.
92. 파이프라이닝(Pipelining)에 대한 설명이 아닌 것은?
- ① 프로세서가 이전 명령어를 마치기 전에 다음 명령어 수행을 시작하는 기법이다.
- ② CPU가 필요한 데이터를 찾을 때 읽기와 쓰기 동작을 향상시키는 기법이다.
- ③ 명령어 사이클들이 동 시간대에 중첩되어 처리되는 개념을 나타낸다.
- ④ 단계별 시간차를 거의 동일하게 하면 속도향상을 꾀할 수 있다.
등록된 댓글이 없습니다.
93. 원시 프로그램을 목적 프로그램으로 바꾸어 주기억장치에 저장하기까지의 실행과정으로 옳은 것은?
- ① 컴파일러 → 링커 → 로더
- ② 컴파일러 → 로더 → 링커
- ③ 링커 → 컴파일러 → 로더
- ④ 링커 → 로더 → 컴파일러
등록된 댓글이 없습니다.
94. 24×8 ROM이 있다. 이 ROM의 주소 공간 비트수와 1워드당 비트수는 각각 얼마인가?
- ① 2개, 8개
- ② 4개, 2개
- ③ 8개, 4개
- ④ 4개, 8개
등록된 댓글이 없습니다.
95. 많은 프로그램이 존재하는 멀티프로그래밍 환경에서 메모리 관리 장치의 기본적인 역할이 아닌 것은?
- ① 논리적인 메모리 참조를 물리적인 메모리 참조로 변환하는 동적저장 장소 재배치 기능
- ② 메모리 내의 각기 다른 사용자가 하나의 프로그램을 공동으로 사용하는 기능을 제공
- ③ 사용자간의 허락되지 않는 접근을 방지한다.
- ④ 사용자가 운영체제의 기능을 변경하도록 지원한다.
등록된 댓글이 없습니다.
96. 그림과 같은 회로의 명칭은?

- ① 반감산기
- ② 전감산기
- ③ 반가산기
- ④ 패리티 검사기
등록된 댓글이 없습니다.
97. 레지스터 값을 2n으로 곱셈을 하거나 나누는 효과를 갖는 연산은?
- ① 논리적 MOVE
- ② 산술적 Shift
- ③ SUB
- ④ ADD
등록된 댓글이 없습니다.
98. (76.4)8을 10진수 값으로 변환한 것은?
- ① 62.5
- ② 54.6
- ③ 23.5
- ④ 118.25
등록된 댓글이 없습니다.
99. CPU의 제어유니트 기능에 해당하지 않는 것은?
- ① 각종 정보들의 전송통로 및 방향을 지정한다.
- ② 명령어를 해독한다.
- ③ 정보를 일시 저장한다.
- ④ 제어신호를 발생한다.
등록된 댓글이 없습니다.
100. 기억된 데이터의 내용에 의해서 그 위치를 접근하는 방식은?
- ① Cache Memory
- ② Virtual Memory
- ③ Associative Memory
- ④ Multiple Module Memory
등록된 댓글이 없습니다.