전기공사산업기사(2018. 9. 15.) 시험일자 : 2018년 9월 15일
1과목 : 전기응용
1. 온도의 변화로 인한 궤조의 신축에 대응하기 위한 것은?
- ① 궤간
- ② 곡선
- ③ 유간
- ④ 확도
등록된 댓글이 없습니다.
2. 평균 수평광도는 200[cd], 구면 확산률이 0.8일 때 구광원의 전광속은 약 몇 [lm]인가?
- ① 2,009
- ② 2,060
- ③ 2,260
- ④ 3,060
등록된 댓글이 없습니다.
3. 용해, 용접, 담금질, 가열 등에 가장 적합한 가열방식은?
- ① 복사가열
- ② 유도가열
- ③ 저항가열
- ④ 유전가열
등록된 댓글이 없습니다.
4. 3상 반파정류회로에서 변압기의 2차 상전압 220[V]를 SCR로써 제어각 α=60°로 위상제어할 때 약 몇 [V]의 직류전압을 얻을 수 있는가?
- ① 108.7
- ② 118.7
- ③ 128.7
- ④ 138.7
등록된 댓글이 없습니다.
5. 복사속의 단위로 옳은 것은?
- ① sr
- ② W
- ③ lm
- ④ cd
등록된 댓글이 없습니다.
6. 생산공정이나 기계장치 등에 이용하는 자동제어의 필요성이 아닌 것은?
- ① 노동 조건의 향상
- ② 제품의 생산속도를 증가
- ③ 제품의 품질향상, 균일화, 불량품 감소
- ④ 생산설비에 일정한 힘을 가하므로 수명감소
등록된 댓글이 없습니다.
7. 물체의 위치, 방향, 및 자세 등의 기계적 변위를 제어량으로 해서 목표 값의 임의의 변화에 추종하도록 구성된 제어계는?
- ① 자동조정
- ② 서보기구
- ③ 프로세스제어
- ④ 프로그램제어
등록된 댓글이 없습니다.
8. 서로 관계 깊은 것들끼리 짝지은 것이다. 틀린 것은?
- ① 유도가열 : 와전류손
- ② 표면가열 : 표피효과
- ③ 형광등 : 스토크스정리
- ④ 열전온도계 : 톰슨효과
등록된 댓글이 없습니다.
9. 광속 계산의 일반식 중에서 직선광원(원통)에서의 광속을 구하는 식은 어느 것인가? (단, I0는 최대광도, I90은 θ = 90° 방향의 광도이다.)
- ① πI0
- ② π2I90
- ③ 4πI0
- ④ 4πI90
등록된 댓글이 없습니다.
10. 직접 조명의 장점이 아닌 것은?
- ① 설비비가 저렴하여 설계가 단순하다.
- ② 그늘이 생기므로 물체의 식별이 입체적이다.
- ③ 조명률이 크므로 소비전력은 간접조명의 1/2~1/3이다.
- ④ 등기구의 사용을 최소화하여 조명효과를 얻을 수 있다.
등록된 댓글이 없습니다.
11. 20[℃]의 물 5ℓ를 용기에 넣어 1[kW]의 전열기로 가열하여 90[℃]로 하는데 40분 걸렸다. 이 전열기의 효율은 약 몇 [%]인가?
- ① 46
- ② 51
- ③ 56
- ④ 61
등록된 댓글이 없습니다.
12. 고주파 유전가열에서 피열물의 단위 체적당 소비전력[W/cm3]은? (단, E[V/cm]는 고주파 전계, δ는 유전체 손실각, f는 주파수, εs는 비유전율이다.)
- ①

- ②

- ③

- ④

등록된 댓글이 없습니다.
13. 아래에서 금속의 이온화 경향이 가장 큰 것은?
- ① Ag
- ② Pb
- ③ Na
- ④ Sn
등록된 댓글이 없습니다.
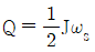
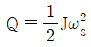
14. 유도전동기를 기동하여 가속도 ωs에 이르기까지 회전자에서의 발열손실 Q(J)를 나타낸 식은? (단, J는 관성모멘트이다.)
- ①

- ②

- ③

- ④

등록된 댓글이 없습니다.
15. 1,000 [lm]인 광속을 발산하는 전등 10개를 500[m2]방에 점등하였다. 평균속도는 약 몇 [lx]인가? (단, 조명률은 0.5이고 감광보상률이 1.5이다.)
- ① 1.67
- ② 2.52
- ③ 6.67
- ④ 60
등록된 댓글이 없습니다.
16. 플라즈마 용접의 특징이 아닌 것은?
- ① 비드(bead)폭이 좁고 용입이 깊다.
- ② 용접속도가 빠르고 균일한 용접이 된다.
- ③ 가스의 보호가 충분하여, 토치의 구조가 간단하다.
- ④ 플라즈마 아크의 에너지 밀도가 커서 안정도가 커서 안정도가 높다.
등록된 댓글이 없습니다.
17. SCR 각 단자에 접속되는 전압극성이 옳게 표기된 것은?
- ①

- ②

- ③

- ④

등록된 댓글이 없습니다.
18. 기동토크가 가장 큰 단상 유도전동기는?
- ① 반발 기동전동기
- ② 분상 기동전동기
- ③ 콘덴서 기동전동기
- ④ 세이딩코일형 전동기
등록된 댓글이 없습니다.
19. 우리나라 전기철도에 주로 사용하는 집전장치는?
- ① 뷔겔
- ② 집전슈
- ③ 트롤리봉
- ④ 팬터그래프
등록된 댓글이 없습니다.
20. 망간 건전지에 대한 설명으로 틀린 것은?(문제 오류로 가답안 발표시 4번으로 발표되었지만 확정답안 발표시 모두 정답처리 되었습니다. 여기서는 가답안인 4번을 누르면 정답 처리 됩니다.)
- ① 1차 전지이다.
- ② 공칭전압이 1.5[V]이다.
- ③ 음극으로 아연이 사용된다.
- ④ 양극으로 이산화망간이 사용된다.
등록된 댓글이 없습니다.
2과목 : 전력공학
21. 루프(환상) 배전방식의 장점은?
- ① 농촌에 적당하다.
- ② 전압변동이 적다.
- ③ 증설이 용이하다.
- ④ 전선비가 적게 든다.
등록된 댓글이 없습니다.
22. 전력계통에서 인터록(interlock)의 설명으로 적합한 것은?
- ① 차단기와 단로기는 각각 열리고 닫힌다.
- ② 차단기가 열려 있어야만 단로기를 닫을 수 있다.
- ③ 차단기가 닫혀 있어야만 단로기를 닫을 수 있다.
- ④ 차단기의 접점과 단로기의 접점이 동시에 투입될 수 있다.
등록된 댓글이 없습니다.
23. 유효낙차 400[m]의 수력발전소에서 펠턴수차의 노즐에서 분출하는 물의 속도를 이론값의 0.95배로 한다면 물의 분출속도는 약 몇 [m/s]인가?
- ① 42.3
- ② 59.5
- ③ 62.6
- ④ 84.1
등록된 댓글이 없습니다.
24. 단상 2선식 110[V] 저압배전선로를 단상 3선식 110/220[V]로 변경할 때 부하의 크기 및 공급전압을 일정하게 하고 또 부하를 평형시켰을 때 전선로의 전압강하율은 변경 전에 비하여 어떻게 되는가?
- ① 1/2
- ② 1/3
- ③ 1/4
- ④ 1/5
등록된 댓글이 없습니다.
25. 수력발전소의 저수지 용량 등을 결정하는 데 사용되는 것으로 가장 적합한 것은?
- ① 유량도
- ② 유황곡선
- ③ 수위 유랑곡선
- ④ 적산 유랑곡선
등록된 댓글이 없습니다.
26. 중성점 직접전지 방식의 특징 중 틀린 것은?
- ① 과도안정도가 좋다.
- ② 변압기의 단절연이 가능하다.
- ③ 절연레벨을 저하시킬 수 있다.
- ④ 정격전압이 낮은 피뢰기를 사용할 수 있다.
등록된 댓글이 없습니다.
27. 3상 3선식 1회선의 가공 송전선로에서 D를 등가 선간거리, r을 반지름이라고 하면 1선당 작용 정전용량은?
- ① D/r 에 비례한다.
- ② D/r 에 반비례한다.
- ③ log D/r 에 비례한다.
- ④ logD/r 에 반비례한다.
등록된 댓글이 없습니다.
28. 가공 전선로의 전선 진동을 방지하기 위한 방법으로 틀린 것은?
- ① 경동선을 ACSR로 교환
- ② 아멀로드(Armour Rod)로 전선 보강
- ③ 토쇼널 댐퍼(Torsional Damper)의 설치
- ④ 스톡 브리지 댐퍼(Stock Bridge Damper)의 설치
등록된 댓글이 없습니다.
29. 전력케이블의 고장점 탐색방법 중 휘스톤브리지의 평형상태를 이용하여 고장점을 측정하는 방법은?
- ① 수색 코일법
- ② 펄스 측정법
- ③ 머레이 루프법
- ④ 정전용량 측정법
등록된 댓글이 없습니다.
30. 단상 2선식 배전선의 전선 총량을 100[%]라 할 때 3상 3선식과 단상 3선식의 전선의 총량은 각각 몇 [%]인가? (단, 선간전압, 공급전력, 전력손실 및 배전거리는 같으며, 중성선의 굵기는 외선과 같다고 한다.)
- ① 3상 3선식 : 37.5[%], 단상 3선식 : 75[%]
- ② 3상 3선식 : 50[%], 단상 3선식 : 75[%]
- ③ 3상 3선식 : 75[%], 단상 3선식 : 37.5[%]
- ④ 3상 3선식 : 100[%], 단상 3선식 : 37.5[%]
등록된 댓글이 없습니다.
31. 옥내 저압배선에서 전선의 굵기를 결정하는 주요 요인이 아닌 것은?
- ① 허용전류
- ② 단락전류
- ③ 전압강하
- ④ 기계적강도
등록된 댓글이 없습니다.
32. 송배전 선로에 사용하는 직렬 콘덴서에 대한 설명으로 옳은 것은?
- ① 최대 송전전력이 감소하고 정태 안정도가 감소된다.
- ② 부하의 변동에 따른 수전단의 전압변동률은 증대된다.
- ③ 선로의 유도 리액턴스를 보상하고 전압강하를 감소시킨다.
- ④ 송·수 양단의 전달 임피던스가 증가하고 안정극한전력이 감소한다.
등록된 댓글이 없습니다.
33. 그림과 같이 지선을 설치하여 전주에 가해지는 수평장력 600[kg]을 지지하고 있다. 지선으로 4[mm]의 철선을 사용하면 철선은 최소 몇 가닥이 필요한가? (단, 이철선의 허용하중은 440[kg], 안전율은 2.5이다.)

- ① 6
- ② 7
- ③ 8
- ④ 9
등록된 댓글이 없습니다.
34. 전력선과 통신선과의 상호 인덕턴스에 의하여 발생되는 유도장해는?
- ① 정전 유도장해
- ② 전자 유도장해
- ③ 고조파 유도장해
- ④ 전자파 유도장해
등록된 댓글이 없습니다.
35. 200[V], 10[kVA]인 3상 유도전동기가 있다. 어느 날의 부하 실적은 1일의 사용전력량이 72[kWh], 1일의 최대전력이 9[kW], 최대부하일 때의 전류가 35[A]이었다. 1일의 부하율과 최대 공급전력일 때의 역률은 약 몇 [%]인가?
- ① 부하율 : 31.3, 역률 : 74.2
- ② 부하율 : 31.3, 역률 : 82.5
- ③ 부하율 : 33.3, 역률 : 74.2
- ④ 부하율 : 33.3, 역률 : 82.5
등록된 댓글이 없습니다.
36. 전력용 조상설비 중 무효전력 흡수를 진상과 지상양용으로 할 수 있는 것은?
- ① 동기조상기
- ② 분로리액터
- ③ 직렬리액터
- ④ 전력용콘덴서
등록된 댓글이 없습니다.
37. 지중선로는 가공선로와 비교하여 인덕턴스와 정전용량이 어떠한가?
- ① 인덕턴스, 정전용량이 모두 크다.
- ② 인덕턴스, 정전용량이 모두 작다.
- ③ 인덕턴스는 크고, 정전용량은 작다.
- ④ 인덕턴스는 작고, 정전용량은 크다.
등록된 댓글이 없습니다.
38. 154[kV] 송전선로의 철탑에 90[kA]의 직격전류가 흐를 때 역섬락을 일으키지 않을 탑각 접지저항으로 적합한 것은? (단, 154[kV]의 송전선에서 1련의 애자수는 9개를 사용하였고, 이 때 애자의 섬락전압은 860[kV]이다.)
- ① 9
- ② 14
- ③ 17
- ④ 21
등록된 댓글이 없습니다.
39. 소호리액터를 송전계통에 사용하면 리액터의 인덕턴스와 선로의 정전용량이 어떤 상태가 되어 지락전류를 소멸시키는가?
- ① 병렬 공진
- ② 직렬 공진
- ③ 고 임피던스
- ④ 저 임피던스
등록된 댓글이 없습니다.
40. 페란티 효과의 발생 원인은?
- ① 선로의 저항
- ② 선로의 정전용량
- ③ 선로의 인덕턴스
- ④ 선로의 누설컨덕턴스
등록된 댓글이 없습니다.
3과목 : 전기기기
41. 직류에서 교류로 변환하는 기기는?
- ① 쵸퍼
- ② 인버터
- ③ 회전 변류기
- ④ 사이클로 컨버터
등록된 댓글이 없습니다.
42. 동기발전기의 부하 포화곡선에 대한 설명 중 옳은 것은?
- ① 무부하시의 유기기전력과 계자전류의 관계를 나타낸 곡선
- ② 발전기를 정격속도로 운전하여 일정 역률, 일정 부하를 인가할 때 단자전압과 계자전류의 관계를 나타낸 곡선
- ③ 중성점을 제외한 전 단자를 단락하고 정격속도로 운전하여 계자전류를 0에서부터 서서히 증가시키는 경우 단락전류와 계자전류의 관계를 나타낸 곡선
- ④ 발전기를 정격속도로 운전하고 지정된 정격전류에서 정격전압이 되도록 계자전류를 조정한 후 계자전류를 그대로 유지하면서 단자전압과 부하전류의 관계를 나타낸 곡선
등록된 댓글이 없습니다.
43. 직류전동기 중 부하가 변하면 속도가 심하게 변하는 전동기는?
- ① 직류 분권전동기
- ② 직류 직권전동기
- ③ 차동 복권전동기
- ④ 가동 복권전동기
등록된 댓글이 없습니다.
44. 병렬운전을 하고 있는 두 대의 3상 동기 발전기 사이에 무효 순환전류가 흐르는 경우는?
- ① 부하의 증가
- ② 부하의 감소
- ③ 원동기 출력의 감소
- ④ 기전력 크기의 변화
등록된 댓글이 없습니다.
45. 용량 P[kVA]인 동일 정격의 단상변압기 4대로 낼 수 있는 3상 최대출력용량은?
- ① 3P
- ② √3 P
- ③ 2√3 P
- ④ 3√3 P
등록된 댓글이 없습니다.
46. 무부하 전동기는 역률이 낮지만 부하가 증가하면 역률이 커지는 이유는?
- ① 전류 증가
- ② 효율 증가
- ③ 전압 감소
- ④ 2차 저항 증가
등록된 댓글이 없습니다.
47. 동기발전기의 돌발 단락전류를 제한하는 것은?
- ① 권선저항
- ② 누설리액턴스
- ③ 역상리액턴스
- ④ 동기리액턴스
등록된 댓글이 없습니다.
48. 3상 유도전동기의 2차 저항을 m배로 하면 동일하게 m배로 되는 것은?
- ① 역률
- ② 전류
- ③ 슬립
- ④ 토크
등록된 댓글이 없습니다.
49. 자기용량 10[kVA]의 단권변압기를 그림과 같이 접속하였을 때 부하역률이 80[%]라면 부하에 몇 [kW]의 전력을 공급할 수 있는가?

- ① 55
- ② 66
- ③ 77
- ④ 88
등록된 댓글이 없습니다.
50. 단상 지권 정류자전동기에 전기자 권선의 권수를 계자 권수에 비해 많게 하는 이유가 아닌 것은?
- ① 역률 저하를 방지하기 위하여
- ② 속도 기전력을 크게 하기 위하여
- ③ 변압기 기전력을 크게 하기 위하여
- ④ 주자속을 작게 하고 토크를 증가시키기 위하여
등록된 댓글이 없습니다.
51. 실리콘제어정류기의 게이트 전류에 관한 설명으로 옳은 것은?
- ① 게이트 전류를 증가시키면 순방향 차단 전압은 감소한다.
- ② 게이트의 전류를 증가시키면 순방향 차단 전압은 변함없다.
- ③ 게이트 전류를 감소시키면 브레이크 오버 전압은 감소한다.
- ④ 게이트 전류를 감소시키면 브레이크 오버 전압은 변함없다.
등록된 댓글이 없습니다.
52. 4극 3상 유도전동기를 60[Hz]의 전원에 접속하여 운전하고 있다. 회전자의 주파수가 3[Hz]일 때의 회전자 속도[rpm]는?
- ① 1,700
- ② 1,710
- ③ 1,720
- ④ 1,730
등록된 댓글이 없습니다.
53. 유도전도기로 직류발전기를 회전시킬 때, 직류발전기의 부하를 증가시키면 유도전동기의 속도는?
- ① 증가한다.
- ② 감소한다.
- ③ 변함없다.
- ④ 동기속도 이상으로 회전한다.
등록된 댓글이 없습니다.
54. 직류기의 전기자 반작용에 대한 설명이 옳은 것은?
- ① 전기자 반작용을 방지하기 위해 보상권선의 전류 방향을 전기자 전류의 방향과 동일하게 한다.
- ② 전기자 반작용이란 전기자 전류에 의한 자속이 계자자속에 영향을 미쳐 공극에서의 자속분포가 변하는 현상을 말한다.
- ③ 전기자 반작용을 방지하기 위해 전동기의 경우 브러시를 새로운 중성점으로 회전방향과 같은 방향으로 이동시켜야 한다.
- ④ 전기자 반작용을 방지하기 위해 발전기의 경우 브러시를 새로운 중성점으로 회전 방향과 반대 방향으로 이동시켜야 한다.
등록된 댓글이 없습니다.
55. 변압기 여자전류에 가장 많이 포함되어 있으며, 3상결선에서 계통의 과전압과 통신선로에 간섭을 일으키는 고조파는?
- ① 제2고조파
- ② 제3고조파
- ③ 제4고조파
- ④ 제5고조파
등록된 댓글이 없습니다.
56. 3상 동기발전기에 평형 3상정류가 흐를 때 전기자반작용은 이 전류가 기전력에 대하여 ( A ) 때 감자작용이 되고 ( B )때 증자작용이 된다. A, B의 적당한 것은?
- ① A : 90°뒤질, B : 동상일
- ② A : 90°뒤질, B : 90°앞설
- ③ A : 90°앞설, B : 90°뒤질
- ④ A : 동상일, B : 90°뒤질
등록된 댓글이 없습니다.
57. 직류기의 효율이 최대가 되는 경우는?
- ① 고정손 = 부하손
- ② 전부하동손 =철손
- ③ 기계손 = 전기자동손
- ④ 와류손 = 히스테리시스손
등록된 댓글이 없습니다.
58. 변압기 절연물의 열화 정도를 파악하는 방법이 아닌 것은?
- ① 유전정접시험
- ② 절연내력시험
- ③ 절연저항측정시험
- ④ 권선저항측정시험
등록된 댓글이 없습니다.
59. △결선 변압기의 1대가 고장으로 제거되어 V결선으로 할 때 공급할 수 있는 전력은 고장 전 전력의 몇 [%]인가?
- ① 57.7
- ② 66.7
- ③ 75.0
- ④ 81.6
등록된 댓글이 없습니다.
60. 4국 60[Hz]의 정류자 주파수 변환기가 1,440 [rpm]으로 회전할 때의 주파수는 몇 [Hz]인가?
- ① 8
- ② 10
- ③ 12
- ④ 15
등록된 댓글이 없습니다.
4과목 : 회로이론
61. 대칭 3상 전압을 그림과 같은 평형 부하에 가할 때 부하의 역률은 약 얼마인가? (단, R=12[Ω], 1/ωC = 4[Ω]이다.)

- ① 0.6
- ② 0.7
- ③ 0.8
- ④ 0.9
등록된 댓글이 없습니다.
62. 전달함수에 대한 설명으로 틀린 것은?
- ① 전달함수가 s가 될 때 적분요소라 한다.
- ② 전달함수는 출력 라플라스변환 / 입력 라플라스변환 으로 정의 된다.
- ③ 어떤 계의 전달함수의 분모를 0으로 놓으면 이것이 곧 특성방정식이 된다.
- ④ 어떤 계의 전달함수는 그 계에 대한 임펄스 응답의 라플라스 변환과 같다.
등록된 댓글이 없습니다.
63. RL직렬회로에 직류전압을 가했을 때 흐르는 전류가 정상전류 I=E/R 의 70[%]에 도달하는데 걸리는 시간은? (단, τ는 시정수이다.)
- ① t = 0.7τ
- ② t = 1.1τ
- ③ t = 1.2τ
- ④ t = 1.4τ
등록된 댓글이 없습니다.
64. f(t) = 10[u(t-3)-u(t-5)]를 라플라스 변환하면 어떻게 되는가?
- ①

- ②

- ③

- ④

등록된 댓글이 없습니다.
65. 에서 모든 초기 조건을 0으로 하고 라플라스 변환하면 어떻게 되는가? (단, Q(s)는 q(t)의 라플라스 변환이다.)
- ①

- ②

- ③

- ④

등록된 댓글이 없습니다.
66. 대칭 3상 Y부하에서 각상의 임피던스가 3+j4[Ω]이고 부하전류가 20[A]일 때 이 부하에서 소비되는 유효전력[W]은?
- ① 1,400
- ② 1,600
- ③ 1,800
- ④ 3,600
등록된 댓글이 없습니다.
67. 다음의 회로에서 입력 임피던스 Z의 실수부가 R/2이 되려면 1/ωC은? (단, 각주파수는 ω[rad/s]이다.)

- ① R
- ② Rω
- ③ 1/R
- ④ ω/R
등록된 댓글이 없습니다.
68. i =2+5sin(100t+30°)+10sin(200t-10°)(A)와 파형은 동일하나 기본파의 위상이 20°늦은 비정현파 전류[A]의 순시값을 나타내는 식은?
- ① 2+5sin(100t+10°)+10sin(200t-30°)
- ② 2+5sin(100t+10°)+10sin(200t+30°)
- ③ 2+5sin(100t+10°)+10sin(200t+50°)
- ④ 2+5sin(100t+10°)+10sin(200t-50°)
등록된 댓글이 없습니다.
69. 비접지 3상 Y부하의 각 선에 흐르는 비대칭 각 선전류를 Ia, Ib, Ic라 할 때 선전류의 영상분 I0는?
- ① 0
- ② Ia + Ib
- ③ Ia + Ib + Ic
- ④

등록된 댓글이 없습니다.
70. 정현파 사이클의 수학적인 평균값은?
- ① 0
- ② 0.637×최대값
- ③ 0.707×최대값
- ④ 1.414×실효값
등록된 댓글이 없습니다.
71. 그림과 같은 회로망에서 전류를 산출하는데 옳게 표시한 식은?

- ① I1 + I2 - I4 - I3 = 0
- ② I1 + I4 - I2 - I3 = 0
- ③ I1 + I2 + I3 + I4 = 0
- ④ I1 + I2 - I3 + I4 = 0
등록된 댓글이 없습니다.
72. 직류 과도현상의 저항 R[Ω]과 인덕턴스 L[H]의 직렬회로에 대한 설명으로 틀린 것은?
- ① 회로의 시정수는 이다.

- ② 과도기간에 있어서의 인덕턴스 L의 단자전압은 이다.

- ③ 과도기간에 있어서의 저항 R의 단자전압은 이다.

- ④ t = 0에서 직류전압 E[V]를 가했을 때 t(s)후의 전류는 [A]이다.

등록된 댓글이 없습니다.
73. 어떤 회로에서 [A]의 전류가 흐른다. 이를 복소수로 표시하면?
- ① 3.54 – j6.12[A]
- ② 5 – j17.32[A]
- ③ 6.12 – j3.54[A]
- ④ 17.32 – j5[A]
등록된 댓글이 없습니다.
74. 그림과 같은 이상적인 변압기로 구성된 4단자 회로에서 4단자 정수 A와 C는 어떻게 되는가?

- ① A = n, C = 0
- ② A = 0, C = n
- ③ A = 0, C = 1/n
- ④ A = 1/n, C = 0
등록된 댓글이 없습니다.
75. Va=3[V], Vb=2-j3[V], Vc = 4+j3[V]를 3상 불평형 전압이라고 할 때 영상전압[V]은?
- ① 0
- ② 3
- ③ 9
- ④ 27
등록된 댓글이 없습니다.
76. 어떤 회로의 단자전압이 V = 100sinωt + 40sin2ωt + 30sin(3ωt+60°) + 2sin(3ωt+105°)[A]일 때 회로에 공급되는 평균전력[W]은?
- ① 271.2
- ② 371.2
- ③ 530.2
- ④ 630.2
등록된 댓글이 없습니다.
77. 그림과 같이 주파수 f[Hz]인 교류회로에서 전류 I와 IR이 같은 값으로 되는 조건은? (단, R은 저항[Ω], C는 정전용량[F], L은 인덕턴스[H]이다.)

- ①

- ②

- ③

- ④

등록된 댓글이 없습니다.
78. 2개의 전력계로 평형 3상 부하의 전력을 측정하였더니 한쪽의 지시치가 다른 쪽 전력계의 지시치보다 3배이었다면 부하역률은 약 얼마인가?
- ① 0.37
- ② 0.57
- ③ 0.76
- ④ 0.86
등록된 댓글이 없습니다.
79. 다음의 회로가 정 저항 회로가 되기 위한 L[H]의 값은?

- ① 1
- ② 0.1
- ③ 0.01
- ④ 0.001
등록된 댓글이 없습니다.
80. 다음과 같은 전기회로의 입력을 ei, 출력을 eo라고 할 때 전달함수는? (단, T = L/R 이다.)

- ① Ts + 1
- ② Ts2 + 1
- ③

- ④

등록된 댓글이 없습니다.
5과목 : 전기설비
81. 기계기구 및 전선을 보호하기 위하여 과전류차단기를 전로 중에 시설할 수 있는 곳은?
- ① 접지공사의 접지선
- ② 다선식 전로의 중성선
- ③ 저압 옥내배선의 전원선
- ④ 전로의 일부에 접지공사를 한 저압 가공전선로의 접지측 전선
등록된 댓글이 없습니다.
82. 저고압 가공전선이 철도를 횡단하는 경우 레일면상 높이는 몇 [m]이상이어야 하는가?
- ① 4
- ② 5
- ③ 5.5
- ④ 6.5
등록된 댓글이 없습니다.
83. 고압용의 개폐기·차단기·피뢰기 기타 이와 유사한 기구로서 동작 시에 아크가 생기는 것은 가연성 물체로부터 몇 [m]이상 이격하여야 하는가?
- ① 0.5
- ② 1
- ③ 1.5
- ④ 2
등록된 댓글이 없습니다.
84. 제1종 접지공사의 접지저항 값은 몇 [Ω] 이하로 유지하여야 하는가?
- ① 10
- ② 20
- ③ 30
- ④ 50
등록된 댓글이 없습니다.
85. 고압 옥상 전선로의 전선이 다른 시설물과 접근하거나 교차하는 경우에는 고압 옥상 전선로의 전선과 이들 사이의 이격거리는 몇 [cm] 이상이어야 하는가?
- ① 30
- ② 40
- ③ 50
- ④ 60
등록된 댓글이 없습니다.
86. 전력 보안통신 설비인 무선통신용 안테나 또는 반사판을 지지하는 철주·철근콘크리트주 또는 철탑의 기초의 안전율은 얼마 이상이어야 하는가?
- ① 1.2
- ② 1.3
- ③ 1.5
- ④ 2.2
등록된 댓글이 없습니다.
87. 22.9[kV]특고압 가공전선과 그 지지물·완금류·지주 또는 지선 사이의 이격거리는 몇 [cm] 이상이어야 하는가?
- ① 15
- ② 20
- ③ 25
- ④ 30
등록된 댓글이 없습니다.
88. 저압 가공인입선에 사용할 수 없는 전선은?
- ① 나전선
- ② 케이블
- ③ 절연전선
- ④ 다심형 전선
등록된 댓글이 없습니다.
89. 최대 사용전압이 154[kV]인 중성점 직접 접지식 전로의 절연내력 시험전압은 약 몇 [kV]인가?
- ① 110.88
- ② 141.68
- ③ 169.40
- ④ 192.50
등록된 댓글이 없습니다.
90. 저압 옥내간선에서 분기하여 차단기를 설치하는 경우 분기점으로부터 차단기의 설치 거리는 원칙적으로 몇 [m] 이하인가?
- ① 3
- ② 4
- ③ 5
- ④ 6
등록된 댓글이 없습니다.
91. 급경사지에 시설하는 전선로의 시설에 대한 설명으로 틀린 것은?
- ① 전선의 지지점간 거리는 15[m]이하로 한다.
- ② 전선에 사람이 접촉할 우려가 있는 곳에 시설하는 경우에는 적당한 방호장치를 시설한다.
- ③ 저압과 고압 전선로를 같은 벼랑에 시설하는 경우에는 저압 전선로를 고압 전선로 위에 시설한다.
- ④ 전선은 케이블인 경우 이외에는 벼랑에 견고하게 붙인 금속제 완금류에 절연성·난연성 및 내수성의 애자로 지지한다.
등록된 댓글이 없습니다.
92. 154[kV] 가공전선로를 시가지에 시설하는 경우 특고압 가공전선에 지락 또는 단락이 생기면 몇 초 이내에 자동적으로 이를 전로로부터 차단하는 장치를 시설하는가?
- ① 1
- ② 2
- ③ 3
- ④ 5
등록된 댓글이 없습니다.
93. 유희용 전차의 시설방법으로 틀린 것은?
- ① 유희용 전차에 전기를 공급하는 전로에는 전용 개폐기를 시설할 것
- ② 유희용 전차에 전기를 공급하기 위하여 사용하는 접촉전선은 제3레일 방식에 의하여 시설할 것
- ③ 유희용 전차에 전기를 공급하는 전로의 사용전압은 직류의 경우에는 60[V]이하, 교류의 경우는 40[V]이하일 것
- ④ 유희용 전차 안에 승압용 변압기를 시설하는 경우 그 변압기의 2차 전압은 300[V]이하일 것
등록된 댓글이 없습니다.
94. 전격살충기는 전격격자가 지표상 또는 마루 위 몇 [m] 이상 되도록 설치하여야 하는가?
- ① 1.5
- ② 2.5
- ③ 3.5
- ④ 4.5
등록된 댓글이 없습니다.
95. 발전소에서 계측장치를 시설하지 않아도 되는 것은?
- ① 특고압용 변압기의 온도
- ② 특고압용 변압기유 절연내력
- ③ 발전기의 베어링 및 고정자 온도
- ④ 발전기의 전압 및 전류 또는 전력
등록된 댓글이 없습니다.
96. 중앙급전 전원과 구분되는 것으로서 전력소비지역 부근에 분산하여 배치 가능한 전원을 무엇이라 하는가?
- ① 임시전력원
- ② 분산형전원
- ③ 분전반전원
- ④ 계통연계전원
등록된 댓글이 없습니다.
97. 22.9[kV]의 전압을 변압하는 변전소가 있다. 이 변전소에 울타리를 시설하고자 하는 경우, 울타리의 높이와 울타리로부터 충전부분까지의 거리의 합계는 몇 [m]이상으로 하여야 하는가?
- ① 4
- ② 5
- ③ 6
- ④ 8
등록된 댓글이 없습니다.
98. 직류식 전기철도에서 귀선의 궤도 근접 부분에 1년 간의 평균 전류가 통할 때, 그 구간 안의 어느 2점 사이에서의 전위차는 몇 [V]이하이어야 하는가?
- ① 2
- ② 6
- ③ 10
- ④ 15
등록된 댓글이 없습니다.
99. 가로등, 경기장, 공장, 아파트 단지 등의 일반조명을 위하여 시설하는 고압방전들은 그 효율이 몇 [lm/W] 이상의 것이어야 하는가?
- ① 60
- ② 70
- ③ 80
- ④ 90
등록된 댓글이 없습니다.
100. 진열장 내의 배선으로 사용전압 400[V] 미만에 사용하는 코드 또는 캡타이어 케이블의 최소 단면적은 몇 [mm2]인가?
- ① 1.25
- ② 1.0
- ③ 0.75
- ④ 0.5
등록된 댓글이 없습니다.