정보처리기사(2014. 3. 2.) 시험일자 : 2014년 3월 2일
1과목 : 데이터 베이스
1. SQL의 명령은 사용 용도에 따라 DDL, DML, DCL로 분할 수 있다. 다음 명령 중 그 성격이 나머지 셋과 다른 하나는?
- ① CREATE
- ② SELECT
- ③ INSERT
- ④ UPDATE
등록된 댓글이 없습니다.
2. 개체-관계 모델(E-R Model)에 대한 설명으로 옳지 않은 것은?
- ① 특정 DBMS를 고려한 것은 아니다.
- ② E-R 다이어그램에서 개체 타입은 사각형, 관계 타입은 타원, 속성은 다이아몬드로 나타낸다.
- ③ 개체 타입과 관계 타입을 기본 개념으로 현실 세계를 개념적으로 표현하는 방법이다.
- ④ 1976년 Peter Chen이 제안하였다.
등록된 댓글이 없습니다.
3. 분산 데이터베이스에 대한 설명으로 거리가 먼 것은?
- ① 분산 제어가 용이하다.
- ② 지역 자치성이 높다.
- ③ 효용성과 융통성이 높다.
- ④ 점진적 시스템 확장이 어렵다.
등록된 댓글이 없습니다.
4. 릴레이션의 특징으로 옳은 내용 모두를 나열한 것은?

- ① (ㄱ), (ㄴ)
- ② (ㄱ), (ㄷ)
- ③ (ㄱ), (ㄷ), (ㄹ)
- ④ (ㄱ), (ㄴ), (ㄷ), (ㄹ)
등록된 댓글이 없습니다.
5. 데이터베이스의 3층 스키마 중 모든 응용시스템과 사용자들이 필요로 하는 데이터를 통합한 조직 전체의 데이터베이스 구조를 논리적으로 정의하는 스키마는?
- ① 개념스키마
- ② 외부스키마
- ③ 내부스키마
- ④ 응용스키마
등록된 댓글이 없습니다.
6. 관계 대수 및 관계 해석에 대한 옳은 설명 모두를 나열한 것은?

- ① (ㄱ), (ㄴ)
- ② (ㄱ), (ㄷ), (ㄹ)
- ③ (ㄴ), (ㄷ), (ㄹ)
- ④ (ㄱ), (ㄴ), (ㄷ), (ㄹ)
등록된 댓글이 없습니다.
7. 다음 설명이 의미하는 것은?

- ① Data Dictionary
- ② Primary Key
- ③ Transaction
- ④ Schema
등록된 댓글이 없습니다.
8. 어떤 릴레이션에서 R에서 X와 Y를 각각 R의 속성 집합의 부분 집합이라고 할 경우 속성 X의 값 각각에 대해 시간에 관계없이 항상 속성 Y의 값이 오직 하나만 연관되어 있을 때 Y는 X에 함수적 종속이라고 한다. 이를 기호로 옳게 표기한 것은?
- ① X ≫ Y
- ② Y ≫ X
- ③ Y → X
- ④ X → Y
등록된 댓글이 없습니다.
9. 시스템 카탈로그에 대한 설명으로 옳지 않은 것은?
- ① 시스템 카탈로그는 DBMS가 스스로 생성하고 유지하는 데이터베이스 내의 특별한 테이블들의 집합체이다.
- ② 데이터베이스 구조가 변경될 때마다 DBMS는 자동적으로 시스템 카탈로그 테이블들의 행을 삽입, 삭제, 수정한다.
- ③ 시스템 카탈로그는 데이터베이스 구조에 관한 메타 데이터를 포함한다.
- ④ 일반 사용자도 SQL을 이용하여 시스템 카탈로그를 직접 갱신할 수 있다.
등록된 댓글이 없습니다.
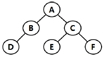
10. 다음 그림에서 트리의 Degree와 터미널 노드의 수는?

- ① 트리의 Degree : 4, 터미널 노드 : 4
- ② 트리의 Degree : 2, 터미널 노드 : 4
- ③ 트리의 Degree : 4, 터미널 노드 : 8
- ④ 트리의 Degree : 2, 터미널 노드 : 8
등록된 댓글이 없습니다.
11. 데이터베이스 설계 시 물리적 설계 단계에서 수행하는 사항이 아닌 것은?
- ① 저장 레코드 양식 설계
- ② 레코드 집중의 분석 및 설계
- ③ 접근 경로 설계
- ④ 목표 DBMS에 맞는 스키마 설계
등록된 댓글이 없습니다.
12. 다음 자료에 대하여 “selection sort”를 사용하여 오름차순으로 정렬할 경우 PASS 3의 결과는?

- ① 3, 4, 7, 9, 8
- ② 3, 4, 8, 9, 7
- ③ 3, 8, 4, 9, 7
- ④ 3, 4, 7, 8, 9
등록된 댓글이 없습니다.
13. 데이터베이스 정의와 거리가 먼 것은?
- ① integrated data
- ② operational data
- ③ stored data
- ④ exclusive data
등록된 댓글이 없습니다.
14. 색인 순차 파일에 대한 설명으로 옳지 않은 것은?
- ① 순차 처리와 직접 처리가 모두 가능하다.
- ② 레코드를 추가 및 삽입하는 경우, 파일 전체를 복사할 필요가 없다.
- ③ 인덱스를 저장하기 위한 공간과 오버플로우 처리를 위한 별도의 공간이 필요 없다.
- ④ 색인 구역은 트랙 색인 구역, 실린더 색인 구역, 마스터 색인 구역으로 구성된다.
등록된 댓글이 없습니다.
15. 데이터 모델의 구성 요소 중 데이터베이스에 표현된 개체 인스턴스를 처리하는 작업에 대한 명세로서 데이터베이스를 조작하는 기본 도구를 의미하는 것은?
- ① Relation
- ② Structure
- ③ Constraint
- ④ Operation
등록된 댓글이 없습니다.
16. 데이터베이스의 특성 중 다음 설명에 해당 하는 것은?

- ① Time Accessibility
- ② Concurrent Sharing
- ③ Content Reference
- ④ Continuous Evolution
등록된 댓글이 없습니다.
17. What is the degree of a relation?
- ① the number of occurrences n of its relation schema
- ② the number of tables n of its relation schema
- ③ the number of attributes n of its relation schema
- ④ the number of key n of its relation schema
등록된 댓글이 없습니다.
18. What is the degree of a relation?

- ① 2
- ② 3
- ③ 4
- ④ 5
등록된 댓글이 없습니다.
19. 다음 표와 같은 판매실적 테이블에 대하여 서울지역에 한하여 판매액 내림차순으로 지점명과 판매액을 출력하고자 한다. 가장 적절한 SQL 구문은?

- ① SELECT 지점명, 판매액 FROM 판매실적 WHERE 도시 = “서울” ORDER BY 판매액 DESC;
- ② SELECT 지점명, 판매액 FROM 판매실적 ORDER BY 판매액 DESC;
- ③ SELECT 지점명, 판매액 FROM 판매실적 WHERE 도시 = “서울” ASC;
- ④ SELECT * FROM 판매실적 WHEN 도시 = “서울” ORDER BY 판매액 DESC;
등록된 댓글이 없습니다.
20. 병행제어 로킹(Locking)에 대한 설명으로 옳지 않은 것은?
- ① 로킹 단위가 작아지면 병행성 수준이 낮아진다.
- ② 로킹은 주요 데이터의 액세스를 상호 배타적으로 운영 하는 것이다.
- ③ 로킹 단위는 병행제어에서 한꺼번에 로킹할 수 있는 객체의 크기를 의미한다.
- ④ 데이터베이스, 파일, 레코드 등은 로킹 단위가 될 수 있다.
등록된 댓글이 없습니다.
2과목 : 전자 계산기 구조
21. 다음 논리회로의 결과로 옳은 것은?(오류 신고가 접수된 문제입니다. 반드시 정답과 해설을 확인하시기 바랍니다.)

- ① X
- ② Y
- ③ X + Y
- ④

등록된 댓글이 없습니다.
22. 보조기억장치의 일반적인 특징으로 옳지 않은 것은?
- ① 중앙처리장치와 직접 자료 교환이 불가능하다.
- ② 접근 시간(access time)이 크다.
- ③ 일반적으로 주기억장치에 데이터를 저장할 때는 DMA 방식을 사용한다.
- ④ CPU에 의한 기억장치의 접근 빈도가 높다.
등록된 댓글이 없습니다.
23. 피연산자의 위치(기억 장소)에 따라 명령어 형식을 분류할 때 instruction cycle time이 가장 짧은 명령어 형식은?
- ① 레지스터-메모리 인스터럭션
- ② AC 인스터럭션
- ③ 스택 인스트럭션
- ④ 메모리-메모리 인스트럭션
등록된 댓글이 없습니다.
24. 4비트의 데이터 비트와 1비트의 패리티 비트가 사용되는 경우 몇 개 비트까지 에러를 검출할 수 있는가?
- ① 1
- ② 2
- ③ 3
- ④ 4
등록된 댓글이 없습니다.
25. 오류 검출용 코드가 아닌 것은?
- ① 해밍 코드
- ② 패리티 검사 코드
- ③ Biquinary 코드
- ④ Excess-3 코드
등록된 댓글이 없습니다.
26. flynn의 분류법 중 여러 개의 처리기에서 수행되는 인스트럭션(instruction)들은 각기 다르나 전체적으로 하나의 데이터 스트림을 가지는 형태는?
- ① SISD
- ② MISD
- ③ SIMD
- ④ MIMD
등록된 댓글이 없습니다.
27. 주소 설계 시 고려해야할 점이 아닌 것은?
- ① 주소를 효율적으로 나타낼 수 있어야 한다.
- ② 주소 공간과 기억 공간을 독립시킬 수 있어야 한다.
- ③ 전반적으로 수행 속도가 증가될 수 있도록 해야 한다.
- ④ 주소 공간과 기억 공간은 항상 일치해야 한다.
등록된 댓글이 없습니다.
28. 주기억장치는 하드웨어의 특성상 주기억장치가 제공 할 수 있는 정보 전달 능력에 한계가 있는데, 이 한계를 무엇이라 하는가?
- ① 주기억장치 전달(transfer)
- ② 주기억장치 대역폭(bandwidth)
- ③ 주기억장치 접근폭(accesswidth)
- ④ 주기억장치 정보 전달폭(transferwidth)
등록된 댓글이 없습니다.
29. 사용자 프로그램에 할당된 영역이 EC00h – FFFFh일 경우 사용 가능한 크기는 모두 몇 Kbyte인가?
- ① 3KByte
- ② 4KByte
- ③ 5KByte
- ④ 6KByte
등록된 댓글이 없습니다.
30. 다음 소자 중에서 ROM과 유사한 성격을 가지며, AND array와 OR array로 구성된 것은?
- ① PLA
- ② shift register
- ③ RAM
- ④ LSI
등록된 댓글이 없습니다.
31. 데이터의 주소를 표현하는 방식에 따라 분류할 때 계산에 의한 주소는 어디에 해당하는가?
- ① 완전 주소
- ② 약식 주소
- ③ 생략 주소
- ④ 자료 자신
등록된 댓글이 없습니다.
32. 기억장치의 용량이 1M워드(word)이고 1워드가 32비트인 경우 PC(program counter), MAR(memory address register), MBR(memory buffer register)의 각 비트수는?
- ① PC : 20비트, MAR : 20비트, MBR : 32비트
- ② PC : 20비트, MAR : 32비트, MBR : 32비트
- ③ PC : 32비트, MAR : 20비트, MBR : 20비트
- ④ PC : 32비트, MAR : 32비트, MBR : 20비트
등록된 댓글이 없습니다.
33. 메모리 인터리빙(interleaving)의 설명으로 옳지 않은 것은?
- ① 단위 시간에 여러 메모리의 접근이 불가능하도록 하는 방법이다.
- ② 캐시 기억장치, 고속 DMA 전송 등에서 많이 사용 된다.
- ③ 기억장치의 접근시간을 효율적으로 높일 수 있다.
- ④ 각 모듈을 번갈아 가면서 접근(access)할 수 있다.
등록된 댓글이 없습니다.
34. 명령문 구성 형태 중 하나의 오퍼랜드가 누산기 속에 포함된 명령 형식은?
- ① 0-주소
- ② 1-주소
- ③ 2-주소
- ④ 3-주소
등록된 댓글이 없습니다.
35. 순서 논리회로에 대한 설명 중 옳지 않은 것은?
- ① 순서 논리 회로는 논리 게이트 외에 메모리 요소와 귀환(feedback) 기능을 포함한다.
- ② 순서 논리 회로의 출력은 현재 상태의 입력상태와 전 상태에 의해 결정되며 회로의 동작은 내부 상태와 입력들의 시간 순차에 의해 결정된다.
- ③ 순서 논리 회로의 출력은 입력 상태와 메모리 요소들의 상태에 따라 값이 결정되므로 언제나 일정한 값을 갖지 않는다.
- ④ 순서 논리 회로는 현재 상태가 다음 상태의 출력에 영향을 미치는 논리 회로로서 플립플롭, 패리티 발생기, 멀티플렉서 등이 있다.
등록된 댓글이 없습니다.
36. 마이크로 오퍼레이션에 대한 설명 중 옳지 않은 것은?
- ① 마이크로 오퍼레이션은 CPU 내의 레지스터들과 연산장치에 의해서 이루어진다.
- ② 프로그램에 의한 명령의 수행은 마이크로 오퍼레이션의 수행으로 이루어진다.
- ③ 마이크로 오퍼레이션 중에 CPU 내부의 연산 레지스터, 인덱스 레지스터는 프로그램으로 레지스터의 내용을 변경할 수 없다.
- ④ 마이크로 오퍼레이션이 실행될 때마다 CPU 내부의 상태는 변하게 된다.
등록된 댓글이 없습니다.
37. 다음과 같은 마이크로 동작은 어떤 명령의 수행과정을 나타내는 것인가?

- ① Load to AC
- ② AND to AC
- ③ Branch Unconditionally
- ④ Store AC
등록된 댓글이 없습니다.
38. 다음 중 2의 보수 (2′s complement) 가산 회로로서 정수 곱셈을 이행할 경우 필요 없는 것은?
- ① shift
- ② add
- ③ complement
- ④ normalize
등록된 댓글이 없습니다.
39. 연산 명령 자체로 특수한 곱셈과 나눗셈을 수행하거나 혹은 곱셈과 나눗셈에 보조적으로 이용되는 것은?
- ① 산술적 shift
- ② 논리적 shift
- ③ ADD
- ④ rotate
등록된 댓글이 없습니다.
40. 마이크로 명령 형식으로 적합하지 않은 것은?
- ① 수평 마이크로 명령
- ② 제어 마이크로 명령
- ③ 수직 마이크로 명령
- ④ 나노 명령
등록된 댓글이 없습니다.
3과목 : 운영체제
41. 다음의 운영체제 운용 기법 중 라운드 로빈(Round Robin) 방식과 가장 관계되는 것은?
- ① 일괄 처리 시스템
- ② 시분할 시스템
- ③ 실시간 처리 시스템
- ④ 다중 프로그래밍 시스템
등록된 댓글이 없습니다.
42. 디스크 스케줄링 기법 중 다음 설명에 해당하는 것은?

- ① SSTF 스케줄링
- ② Eschenbach 스케줄링
- ③ FCFS 스케줄링
- ④ N-SCAN 스케줄링
등록된 댓글이 없습니다.
43. 세그먼테이션 기법에 대한 설명으로 옳지 않은 것은?
- ① 각 세그먼트는 고유한 이름과 크기를 갖는다.
- ② 세그먼트 맵 테이블이 필요하다.
- ③ 프로그램을 일정한 크기로 나눈 단위를 세그먼트라고 한다.
- ④ 기억장치 보호키가 필요하다.
등록된 댓글이 없습니다.
44. 스레드의 특징으로 옳지 않은 것은?
- ① 실행 환경을 공유시켜 기억장소의 낭비가 줄어든다.
- ② 프로세스 외부에 존재하는 스레드도 있다.
- ③ 하나의 프로세스를 여러 개의 스레드로 생성하여 병행성을 증진시킬 수 있다.
- ④ 프로세스들 간의 통신을 향상시킬 수 있다.
등록된 댓글이 없습니다.
45. 다중 처리기 운영체제 형태 중 주/종(Master/Slave) 처리기에 대한 설명으로 옳지 않은 것은?(문제 오류로 가답안 발표시 1번으로 발표 되었지만 확정답안 발표시 1, 4번이 정답 처리 되었습니다. 여기서는 1번을 누르시면 정답 처리 됩니다.)
- ① 종 프로세서가 운영체제를 수행한다.
- ② 주 프로세서가 고장이 나면 시스템 전체가 다운된다.
- ③ 하나의 프로세서를 주 프로세서로 지정하고, 다른 처리기들은 종 프로세서로 지정하는 구조이다.
- ④ 주 프로세서와 종 프로세서가 모두 입출력을 수행하기 때문에 비대칭 구조를 갖는다.
등록된 댓글이 없습니다.
46. 프로세스(Process)에 대한 옳은 설명 모두를 나열한 것은?

- ① (ㄱ), (ㄴ), (ㄷ)
- ② (ㄱ), (ㄴ), (ㄹ)
- ③ (ㄱ), (ㄷ), (ㄹ)
- ④ (ㄴ), (ㄷ), (ㄹ)
등록된 댓글이 없습니다.
47. 다음 설명에 해당하는 디렉토리 구조는?

- ① 트리 디렉토리
- ② 1단계 디렉토리
- ③ 2단계 디렉토리
- ④ 비순환 그래프 디렉토리
등록된 댓글이 없습니다.
48. 주기억 장치 관리기법 중 Worst-fit을 적용할 경우 8K의 프로그램이 할당될 영역으로 옳은 것은?

- ① 영역 1
- ② 영역 2
- ③ 영역 3
- ④ 영역 4
등록된 댓글이 없습니다.
49. UNIX 파일 시스템의 inode에서 관리하는 정보가 아닌 것은?
- ① 파일의 링크수
- ② 파일이 만들어진 시간
- ③ 파일이 최초로 수정된 시간
- ④ 파일의 크기
등록된 댓글이 없습니다.
50. 3개의 페이지를 수용할 수 있는 주기억장치가 있으며, 초기에는 모두 비어있다고 가정한다. 다음의 순서로 페이지 참조가 발생할 때, FIFO 페이지 교체 알고리즘을 사용할 경우 몇 번의 페이지 결함이 발생하는가?

- ① 6
- ② 7
- ③ 8
- ④ 9
등록된 댓글이 없습니다.
51. HRN 방식으로 스케줄링 할 경우, 입력된 작업이 다음과 같을 때 우선순위가 가장 높은 것은?

- ① A
- ② B
- ③ C
- ④ D
등록된 댓글이 없습니다.
52. 워킹 셋(Working Set)에 대한 설명으로 옳지 않은 것은?
- ① 프로세스가 실행하는 과정에서 시간이 지남에 따라 자주 참조하는 페이지들의 집합이 변화하기 때문에 워킹 셋은 시간에 따라 바뀌게 된다.
- ② 프로그램의 구역성(Locality) 특징을 이용한다.
- ③ 워킹 셋에 속한 페이지를 참조하면 프로세스의 기억장치 사용은 안전상태가 된다.
- ④ 페이지 이동에 소요되는 시간과 프로세스 수행에 소요되는 시간의 차이를 의미 한다.
등록된 댓글이 없습니다.
53. 프로세서의 상호 연결 구조 중 하이퍼 큐브 구조에서 각 CPU가 4개의 연결점을 가질 경우 CPU의 총 개수는?
- ① 4
- ② 16
- ③ 32
- ④ 65536
등록된 댓글이 없습니다.
54. 분산 운영체제 구조 중 다음의 특징을 갖는 것은?

- ① 링 연결 구조(RING)
- ② 다중접근 버스 연결구조(MULTI ACCESS BUS)
- ③ 계층 연결구조(HIERARCHY)
- ④ 성형 연결구조(STAR)
등록된 댓글이 없습니다.
55. UNIX에서 새로운 프로세스를 생성하는 명령은?
- ① fork
- ② exit
- ③ getpid
- ④ pipe
등록된 댓글이 없습니다.
56. 다음과 같은 접근제어 행렬에 대한 설명 중 옳은 것은?(단, E : 실행가능, R : 판독가능, W : 기록가능, NONE : 모든 권한 없음)

- ① 김영수는 인사와 급여파일을 판독하고 기록할 수 있다.
- ② 이길동은 인사와 급여파일을 판독할 수 있다.
- ③ 최동규는 급여파일을 기록할 수 있다.
- ④ 이길동은 인사파일에 대하여 실행, 판독, 기록의 권한을 가지고 있다.
등록된 댓글이 없습니다.
57. UNIX에 대한 옳은 설명 모두를 나열한 것은?

- ① (ㄱ), (ㄴ)
- ② (ㄱ), (ㄴ), (ㄷ)
- ③ (ㄱ), (ㄴ), (ㄹ)
- ④ 모두 아니다
등록된 댓글이 없습니다.
58. 운영체제의 목적 중 다음 설명에 해당하는 것은?

- ① reliability
- ② throughput
- ③ turn-around time
- ④ availability
등록된 댓글이 없습니다.
59. 프로세스 제어블록(Process Control Block)에 대한 설명으로 옳지 않은 것은?
- ① 프로세스에 할당된 자원에 대한 정보를 갖고 있다.
- ② 프로세스의 우선 순위에 대한 정보를 갖고 있다.
- ③ 부모 프로세스와 자식 프로세스는 PCB를 공유한다.
- ④ 프로세스의 현 상태를 알 수 있다.
등록된 댓글이 없습니다.
60. 운영체제에 대한 옳은 설명으로만 짝지어진 것은?

- ① (ㄱ), (ㄷ)
- ② (ㄱ), (ㄴ), (ㄹ)
- ③ (ㄱ), (ㄷ), (ㄹ)
- ④ (ㄱ), (ㄴ), (ㄷ), (ㄹ)
등록된 댓글이 없습니다.
4과목 : 소프트웨어 공학
61. 민주주의적 팀(Democratic Team)에 대한 내용으로 옳은 것은?
- ① 프로젝트 팀의 목표 설정 및 의사결정 권한이 팀 리더에게 주어진다.
- ② 조직적으로 잘 구성된 중앙 집중식 구조이다.
- ③ 팀 구성원 간의 의사교류를 활성화시키므로 팀원의 참여도와 만족도를 증대시킨다.
- ④ 팀 리더의 개인적 능력이 가장 중요하다.
등록된 댓글이 없습니다.
62. CPM(Critical Path Method)에 대한 설명으로 옳지 않은 것은?
- ① 프로젝트 내에서 각 작업이 수행되는 시간과 각 작업 사이의 관계를 파악할 수 있다.
- ② 작업 일정을 한눈에 볼 수 있도록 해주며 막대 그래프의 형태로 표현한다.
- ③ 경영층의 과학적인 의사 결정을 지원한다.
- ④ 효과적인 프로젝트의 통제를 가능하게 해 준다.
등록된 댓글이 없습니다.
63. 소프트웨어 재공학 활동 중 역공학에 해당하는 것은?
- ① 소프트웨어 동작 이해 및 재공학 대상 선정
- ② 소프트웨어 기능 변경 없이 소프트웨어 형태를 목적에 맞게 수정
- ③ 원시 코드로부터 설계정보 추출 및 절차 설계 표현, 프로그램과 데이터 구조 정보 추출
- ④ 기존 소프트웨어 시스템을 새로운 기술 또는 하드웨어 환경에 이식
등록된 댓글이 없습니다.
64. 시스템에서 모듈 사이의 결합도(Coupling)에 대한 설명으로 옳은 것은?
- ① 한 모듈 내에 있는 처리요소들 사이의 기능적인 연관 정도를 나타낸다.
- ② 결합도가 높으면 시스템을 구현하고 유지보수 작업이 쉽다.
- ③ 모듈간의 결합도를 약하게 하면 모듈 독립성이 향상된다.
- ④ 자료결합도는 내용결합도 보다 결합도가 높다.
등록된 댓글이 없습니다.
65. 소프트웨어 재사용과 관련하여 객체들의 모임, 대규모 재사용 단위로 정의되는 것은?
- ① Component
- ② Sheet
- ③ Framework
- ④ Cell
등록된 댓글이 없습니다.
66. 럼바우 분석 기법에서 자료 흐름도를 사용하여 프로세스들의 처리 과정을 기술하는 것과 관계되는 것은?
- ① 객체 모델링
- ② 동적 모델링
- ③ 기능 모델링
- ④ 정적 모델링
등록된 댓글이 없습니다.
67. 소프트웨어의 재사용으로 인한 효과와 거리가 먼 것은?
- ① 시스템 구조와 구축방법의 교육적 효과
- ② 새로운 개발 방법 도입의 용이성
- ③ 개발기간 및 비용 절약
- ④ 개발시 작성된 문서의 공유
등록된 댓글이 없습니다.
68. CASE가 갖고 있는 주요 기능이 아닌 것은?
- ① 그래픽 지원
- ② 소프트웨어 생명주기 전 단계의 연결
- ③ 언어 번역
- ④ 다양한 소프트웨어 개발 모형 지원
등록된 댓글이 없습니다.
69. 소프트웨어 프로젝트 관리를 효과적으로 수행하는데 필요한 3P에 해당하지 않는 것은?
- ① Process
- ② Problem
- ③ People
- ④ Procedure
등록된 댓글이 없습니다.
70. 다음 설명의 ( ) 내용으로 옳은 것은?

- ① Validation
- ② Coupling
- ③ Cohesion
- ④ Interface
등록된 댓글이 없습니다.
71. FTR의 지침 사항으로 거리가 먼 것은?
- ① 자원과 시간 일정을 할당한다.
- ② 문제 영역을 명확히 표현한다.
- ③ 논쟁과 반박을 제한하지 않는다.
- ④ 모든 검토자들을 위해 의미 있는 훈련을 행한다.
등록된 댓글이 없습니다.
72. LOC 기법에 의하여 예측된 총 라인수가 50000라인, 프로그래머의 월 평균 생산성이 200라인, 개발 참여 프로그래머가 10인 일 때, 개발 소요 기간은?
- ① 25개월
- ② 50개월
- ③ 200개월
- ④ 2000개월
등록된 댓글이 없습니다.
73. 블랙박스 검사 기법에 해당하는 것으로만 짝지어진 것은?

- ① (ㄱ), (ㄴ)
- ② (ㄱ), (ㄴ), (ㅁ), (ㅂ)
- ③ (ㄷ), (ㄹ), (ㅁ), (ㅂ)
- ④ (ㄱ), (ㄷ), (ㄹ), (ㅁ), (ㅂ)
등록된 댓글이 없습니다.
74. 유지보수의 종류 중 장래의 유지보수성 또는 신뢰성을 개선하거나 소프트웨어의 오류발생에 대비하여 미리 예방수단을 강구해 두는 것은?
- ① Preventive maintenance
- ② Corrective maintenance
- ③ Perfective maintenance
- ④ Adaptive maintenance
등록된 댓글이 없습니다.
75. 소프트웨어 형상관리(Configuration management)에 관한 설명으로 거리가 먼 것은?
- ① 소프트웨어에서 일어나는 수정이나 변경을 알아내고 제어하는 것을 의미한다.
- ② 소프트웨어 개발의 전체 비용을 줄이고, 개발 과정의 여러 방해 요인이 최소화되도록 보장하는 것을 목적으로 한다.
- ③ 형상관리를 위하여 구성된 팀을 “chief programmer team”이라고 한다.
- ④ 형상관리에서 중요한 기술 중의 하나는 버전 제어 기술이다.
등록된 댓글이 없습니다.
76. 소프트웨어 역공학(Software reverse engineering)에 대한 설명으로 옳지 않은 것은?
- ① 역공학의 가장 간단하고 오래된 형태는 재문서화라고 할 수 있다.
- ② 기존 소프트웨어의 구성 요소와 그 관계를 파악하여 설계도를 추출한다.
- ③ 원시 코드를 분석하여 소프트웨어의 관계를 파악한다.
- ④ 대상 시스템 없이 새로운 시스템으로 개선하는 변경 작업이다.
등록된 댓글이 없습니다.
77. 소프트웨어 위기 발생요인과 거리가 먼 것은?
- ① 소프트웨어 개발 적체 현상
- ② 프로젝트 개발 일정과 예산 측정의 어려움
- ③ 소프트웨어 생산성 기술의 낙후
- ④ 소프트웨어 규모의 증대와 복잡도에 따른 개발 비용 감소
등록된 댓글이 없습니다.
78. 소프트웨어 품질 목표 중 쉽게 배우고 사용할 수 있는 정도를 의미하는 것은?
- ① Reliability
- ② Usability
- ③ Efficiency
- ④ Integrity
등록된 댓글이 없습니다.
79. 나선형(Spiral) 모형에 대한 설명으로 옳지 않은 것은?
- ① 대규모 시스템의 소프트웨어 개발에 적합하다.
- ② 실제 개발될 소프트웨어에 대한 시제품을 만들어 최종 결과물을 예측한다.
- ③ 위험성 평가에 크게 의존하기 때문에 이를 발견하지 않으면 문제가 발생할 수 있다.
- ④ 여러 번의 개발 과정을 거쳐 점진적으로 완벽한 소프트웨어를 개발한다.
등록된 댓글이 없습니다.
80. 다음의 객체지향 기법에 관한 설명에서 ( ) 안 내용으로 공통 적용될 수 있는 것은?

- ① 인스턴스
- ② 오퍼레이션
- ③ 메시지
- ④ 정보은닉
등록된 댓글이 없습니다.
5과목 : 데이터 통신
81. 디지털 데이터를 아날로그 신호로 변조하는 방법으로만 나열된 것은?
- ① 위상 변조, 진폭 변조
- ② 주파수 변조, 시간 변조
- ③ 진폭 편이 변조, 시간 편이 변조
- ④ 주파수 편이 변조, 위상 편이 변조
등록된 댓글이 없습니다.
82. IETF에서 고안한 IPv4에서 IPv6로 전환(천이)하는데 사용되는 전략이 아닌 것은?
- ① Dual stack
- ② Tunneling
- ③ Header translation
- ④ Source routing
등록된 댓글이 없습니다.
83. 회선을 제어하기 위한 제어 문자 중 실제 전송할 데이터 집합의 시작임을 의미하는 것은?
- ① SOH
- ② STX
- ③ SYN
- ④ DLE
등록된 댓글이 없습니다.
84. X.25 프로토콜에서 정의하고 있는 것은?
- ① 다이얼 접속(dial access)을 위한 기술
- ② start-stop 데이터를 위한 기술
- ③ 데이터 비트 전송률
- ④ DTE와 DCE 간 상호접속 및 통신절차 규정
등록된 댓글이 없습니다.
85. 토큰 패싱 방식에서 토큰에 대하여 가장 올바르게 설명한 것은?
- ① 데이터 통신 시 에러를 체크하기 위해 사용된다.
- ② 전송할 데이터를 의미한다.
- ③ 채널 사용권을 의미한다.
- ④ 5바이트로 구성되어 있다.
등록된 댓글이 없습니다.
86. 다음 중 통신망의 체계적인 운용 및 관리를 위한 TMN(Telecommunication Management Network)의 기능 요소에 해당하지 않는 것은?
- ① SNL(System Network Layer)
- ② NML(Network Management Layer)
- ③ EML(Element Management Layer)
- ④ NEL(Network Element Layer)
등록된 댓글이 없습니다.
87. OSI 7계층 중 데이터 링크 계층의 프로토콜로 틀린 것은?
- ① HTTP
- ② HDLC
- ③ PPP
- ④ LLC
등록된 댓글이 없습니다.
88. 다수의 타임 슬롯으로 하나의 프레임이 구성되고, 각 타임 슬롯에 채널을 할당하여 다중화하는 것은?
- ① TDM
- ② CDM
- ③ FDM
- ④ CSM
등록된 댓글이 없습니다.
89. 인터넷 상의 서버와 클라이언트 사이의 멀티미디어를 송수신하기 위한 프로토콜과 웹 문서를 작성하기 위해 사용하는 언어를 순서대로 바르게 나열한 것은?
- ① URI, URL
- ② HTTP, MHS
- ③ HTTP, HTML
- ④ WWW. HTTP
등록된 댓글이 없습니다.
90. 수신측에서 수신된 데이터에 대한 확인(Acknowledgement)을 즉시 보내지 않고 전송할 데이터가 있는 경우에만, 제어 프레임을 별도로 사용하지 않고 기존의 데이터 프레임에 확인 필드를 덧붙여 전송하는 흐름제어 방식은?
- ① Stop and Wait
- ② Sliding Window
- ③ Piggyback
- ④ Polling
등록된 댓글이 없습니다.
91. 다음이 설명하고 있는 에러 검출 방식은?

- ① Cyclic Redundancy Check
- ② Hamming Code
- ③ Parity Check
- ④ Block Sum Check
등록된 댓글이 없습니다.
92. 하나의 통신채널을 이용하여 데이터의 송신과 수신이 교번식으로 가능한 통신방식은?
- ① 반이중 통신
- ② 전이중 통신
- ③ 단방향 통신
- ④ 시분할 통신
등록된 댓글이 없습니다.
93. 매체 접근 제어 방식 중 CSMA/CD와 토큰 패싱(Token passing)에 대한 설명으로 틀린 것은?
- ① CSMA/CD는 버스 또는 트리 토폴로지에서 가장 많이 사용되는 기법이다.
- ② 토큰 패싱은 토큰을 분실할 가능성이 있다.
- ③ 토큰 패싱은 노드가 증가하면 성능이 좋아진다.
- ④ CSMA/CD는 비경쟁 기법의 단점인 대기시간의 상당 부분이 제거될 수 있다.
등록된 댓글이 없습니다.
94. RTCP(Real-Time Control Protocol)의 특징으로 틀린 것은?
- ① Session의 모든 참여자에게 컨트롤 패킷을 주기적으로 전송한다.
- ② 데이터 분배에 대한 피드백을 제공하지 않는다.
- ③ 하위 프로토콜은 데이터 패킷과 컨트롤 패킷의 멀티 플렉싱을 제공한다.
- ④ 데이터 전송을 모니터링하고 최소한의 제어와 인증 기능만을 제공한다.
등록된 댓글이 없습니다.
95. 대역폭(bandwidth)에 대한 설명으로 옳은 것은?
- ① 최고 주파수를 의미한다.
- ② 최저 주파수를 의미한다.
- ③ 최고 주파수의 절반을 의미한다.
- ④ 최고 주파수와 최저 주파수 사이 간격을 의미한다.
등록된 댓글이 없습니다.
96. 데이터 통신에서 동기 전송방식에 대한 설명으로 틀린 것은?
- ① 문자 또는 비트들의 데이터 블록을 송수신 한다.
- ② 전송데이터와 제어정보를 합쳐서 레코드라 한다.
- ③ 수신기가 데이터 블록의 시작과 끝을 정확히 인식하기 위한 프레임 레벨의 동기화가 요구된다.
- ④ 문자위주와 비트위주 동기식 전송으로 구분된다.
등록된 댓글이 없습니다.
97. 데이터 전송제어 절차가 순서대로 올바르게 나열된 것은?

- ① 가→라→나→다→마
- ② 마→가→나→라→다
- ③ 가→나→다→라→마
- ④ 라→나→가→다→마
등록된 댓글이 없습니다.
98. HDLC 프레임 구조 중 헤더를 구성하는 플래그(flag)에 대한 설명으로 틀린 것은?
- ① 프레임의 최종 목적 주소를 나타낸다.
- ② 동기화에 사용된다.
- ③ 프레임의 시작과 끝을 표시한다.
- ④ 항상 01111110의 형식을 취한다.
등록된 댓글이 없습니다.
99. 송신 스테이션이 데이터 프레임을 연속적으로 전송해 나가다가 NAK를 수신하게 되면 에러가 발생한 프레임을 포함하여 그 이후에 전송된 모든 데이터 프레임을 재전송 하는 방식은?
- ① Stop-and-wait ARQ
- ② Go-back-N ARQ
- ③ Selective-Repeat ARQ
- ④ Non Selective-Repeat ARQ
등록된 댓글이 없습니다.
100. OSI 7계층 중 통신망을 통한 목적지까지 패킷 전달을 담당하는 계층은?
- ① 데이터링크 계층
- ② 네트워크 계층
- ③ 전송 계층
- ④ 표현 계층
등록된 댓글이 없습니다.