정보통신산업기사(2016. 6. 11.) 시험일자 : 2016년 6월 11일
1과목 : 디지털전자회로
1. 전원 주파수가 60[Hz]인 정류회로에서 출력이 120[Hz]인 리플 주파수를 나타내는 회로방식은 무엇인가?
- ① 3상 반파정류회로
- ② 3상 전파정류회로
- ③ 단상 반파정류회로
- ④ 단상 전파정류회로
등록된 댓글이 없습니다.
2. 정전압 전원장치에서 무부하시 직류출력전압이 150[V]이고, 부하시 직류 출력전압이 100[V]일 때 전압 변동률은?
- ① 50[%]
- ② 30[%]
- ③ 20[%]
- ④ 10[%]
등록된 댓글이 없습니다.
3. 다음 중 트랜지스터 증폭기의 바이어스 안정도를 나타내는 숫자로 가장 좋은 것은?
- ① 1
- ② 2
- ③ 3
- ④ 4
등록된 댓글이 없습니다.
4. 다음 중 열잡음(Thermal Noise)과 백색 잡음(White Noise)과의 관계에 대한 설명으로 옳은 것은?
- ① 열잡음(Thermal Noise)은 Color Noise이므로 백색 잡음(White Noise)과 완전하게 다르다.
- ② 열잡음(Thermal Noise)은 흑색 잡음이므로 백색 잡음(White Noise)과는 반대의 특성을 갖는다.
- ③ 열잡음(Thermal Noise)은 실제로 발생하는 잡음 중에서 백색 잡음(White Noise) 특성에 유사한 잡음 중 하나에 속한다.
- ④ 열잡음(Thermal Noise)과 백색 잡음(White Noise)은 완전하게 일치하는 용어이다.
등록된 댓글이 없습니다.
5. 트랜지스터 증폭기의 입력전력이 1[mW]이고, 출력전력이 2[W]일 때 증폭기의 전력이득은 약 얼마인가?
- ① 12[dB]
- ② 23[dB]
- ③ 33[dB]
- ④ 45[dB]
등록된 댓글이 없습니다.
6. 다음 중 2단 이상의 증폭기에서 잡음을 줄일 수 있는 가장 효과적인 방법은?
- ① 종단 증폭기의 이득은 첫단 증폭기에 비해 가능한 낮게 설계한다.
- ② 첫단 증폭기는 가능한 이득이 큰 증폭기로 구성한다.
- ③ 첫단 증폭기를 트랜지스터(쌍극성 트랜지스터) 증폭기로 구성한다.
- ④ 첫단 증폭기를 잡음지수(Noise Figure)가 낮은 증폭기로 구성한다.
등록된 댓글이 없습니다.
7. 다음 그리모가 같은 콜피츠 발진기의 발진 주파수(fo)는?

- ①

- ②

- ③

- ④

등록된 댓글이 없습니다.
8. 수정 발진회로에서 수정 진동자의 전기적 직렬 공진 주파수를 fs, 병렬 공진 주파수를 fp라 할 때, 가장 안정된 발진을 하기 위한 조건은? (단, fa는 발진 주파수이다.)
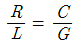
- ① fp < fa < fs
- ② fa = fs
- ③ fs < fa < fp
- ④ fa = fp
등록된 댓글이 없습니다.
9. 진폭 변조에서 변조도가 1일 때 반송파의 전력이 2[W]일 경우 상측파와 하측파의 전력은 얼마인가?
- ① 상측파 : 2[W], 하측파 : 2[W]
- ② 상측파 : 0.5[W], 하측파 : 0.5[W]
- ③ 상측파 : 2[W], 하측파 : 1[W]
- ④ 상측파 : 1[W], 하측파 : 0.5[W]
등록된 댓글이 없습니다.
10. 신호의 표본값에 따라 펄스의 진폭은 일정하고 그 위상만 변화하는 변조방식은?
- ① PCM
- ② PPM
- ③ PWM
- ④ PFM
등록된 댓글이 없습니다.
11. 다음 중 펄스부호변조(PCM)의 송신측 과정이 아닌 것은?
- ① 복호화
- ② 양자화
- ③ 표본화
- ④ 부호화
등록된 댓글이 없습니다.
12. 다음 중 펄스신호에 대한 설명으로 틀린 것은?
- ① 상승시간이란 펄스의 진폭의 10[%]에서 90[%]까지 상승하는데 걸리는 시간을 말한다.
- ② 하강시간이란 펄스의 진폭의 90[%]에서 10[%]까지 하강하는데 걸리는 시간을 말한다.
- ③ 펄스 폭이란 펄스 파형이 상승 및 하강의 진폭의 66.7[%]가 되는 구간의 시간을 말한다.
- ④ 오버슈트란 상승 파형에서 이상적 펄스파의 진폭보다 높은 부분을 말한다.
등록된 댓글이 없습니다.
13. 다음 중 클리퍼(Clipper) 회로에 대한 설명으로 옳은 것은?
- ① 입력 파형을 주어진 기준전압 레벨 이상 또는 이하로 잘라내는 회로
- ② 일정한 레벨 내에서 신호를 고정시키는 회로
- ③ 특정 시각에 발진 동작을 시키는 회로
- ④ 안정 상태와 준안정 상태를 번갈아 동작하는 회로
등록된 댓글이 없습니다.
14. 한글코드는 ASCII 코드를 기반으로 하여 몇 비트(Bit)를 하나의 문자로 표현하는가?
- ① 8비트
- ② 16비트
- ③ 32비트
- ④ 64비트
등록된 댓글이 없습니다.
15. 두 입력이 1과 0일 때, 1의 출력이 나오지 않는 게이트는?
- ① OR 게이트
- ② NOR 게이트
- ③ NAND 게이트
- ④ XOR 게이트
등록된 댓글이 없습니다.
16. 다음 논리회로도가 나타내는 플립플롭회로는 무엇인가?

- ① T 플립플롭
- ② D 플립플롭
- ③ J-K 플립플롭
- ④ S-R 플립플롭
등록된 댓글이 없습니다.
17. 다음의 진리표에 대한 논리회로 기호로 맞는 것은?

- ①

- ②

- ③

- ④

등록된 댓글이 없습니다.
18. 다음 중 X, Y 두 입력을 갖는 2진 비교기에 대한 내용으로 틀린 것은?
- ① X = Y 일 때, X ⊕

- ② X ≠ Y 일 때, X ⊕ Y
- ③ X > Y 일 때,

- ④ X < Y 일 때,

등록된 댓글이 없습니다.
19. 다음 그림과 같이 2n개(0~7)의 10진수 입력을 넣었을 때, 출력이 2진수(000~111)로 나오는 회로의 명칭은?

- ① 디코더 회로
- ② A-D 변환회로
- ③ D-A 변환회로
- ④ 인코더 회로
등록된 댓글이 없습니다.
20. 다음 중 기억된 정보를 보존하기 위하여 주기적으로 리플레시(Refresh)를 해주어야만 하는 기억소자는?
- ① Dynamic ROM
- ② Static ROM
- ③ Dynamic RAM
- ④ Static RAM
등록된 댓글이 없습니다.
2과목 : 정보통신기기
21. 다음 중 통신 제어 장치(CCU)의 기능으로 옳지 않은 것은?
- ① 송ㆍ수신 제어
- ② 전송 에러 제어
- ③ 시분할 다중 제어
- ④ 입ㆍ출력 제어
등록된 댓글이 없습니다.
22. 다음 중 정보 단말기의 기능이 아닌 것은?
- ① 송ㆍ수신 제어 기능
- ② 출력 변환 기능
- ③ 에러 제어 기능
- ④ 다중화 기능
등록된 댓글이 없습니다.
23. 다음 중 VDSL 서비스 방식에서 가입자 댁내 장비는?
- ① 다중화장비(DSLAM)
- ② 네트워크접속장치(NAS)
- ③ EMS
- ④ 모뎀(Modem)
등록된 댓글이 없습니다.
24. 다음 중 DSU(Digital Service Unit)의 특징이 아닌 것은?
- ① LAN 또는 WAN 상에서 디지털 전용회선 연결에 사용된다.
- ② 단말기가 디지털 네트워크 서비스를 이용하고자 할 때 필요하다.
- ③ 정확한 동기 유지를 위한 Clock 추출회로가 있다.
- ④ 음성급 전용망에서 디지털 신호를 전송하기 위하여 등화기와 AGC가 필요하다.
등록된 댓글이 없습니다.
25. 다음 중 다중화기의 종류에 대한 설명으로 옳지 않은 것은?
- ① 주파수 분할 다중화기(FDM)는 하나의 채널에 주파수 대역별로 전송로를 구성한다.
- ② 역다중화기(Inverse Multiplexer)는 협대역 통신으로 2,400[bps] 이하의 전송속도를 얻는다.
- ③ 비동기 시분할 다중화기는 실제로 보낼 데이터가 있는 단말장치에만 동적으로 각 채널에 타임 슬롯을 할당한다.
- ④ 광대역 다중화기는 여러 가지 다른 속도의 동기식 데이터를 묶어 광대역 전송이 가능하다.
등록된 댓글이 없습니다.
26. 다음 중 주파수 분할 다중화기(FDM)에 대한 설명으로 옳지 않은 것은?
- ① 아날로그 전송에 적합하며, 비동기 전송에 이용된다.
- ② 전송 속도가 낮은 부채널의 신호를 서로 다른 주파수 대역으로 변조하여 전송한다.
- ③ 채널간 완충지역으로 가드밴드(Guard Band)가 필요 없다.
- ④ 주파수 분할 다중화기 자체가 주파수 편이 모뎀 역할을 하므로 별도의 모뎀이 필요 없다.
등록된 댓글이 없습니다.
27. 다음 내용은 어떤 장비에 대한 설명인가?

- ① L2 스위치
- ② L3 스위치
- ③ L4 스위치
- ④ 라우터
등록된 댓글이 없습니다.
28. 다음 중 WAN(Wide Area Network)의 전송 방식이 아닌 것은?
- ① Leased Line
- ② Circuit Switched
- ③ Packed Switched
- ④ Message Switched
등록된 댓글이 없습니다.
29. 다음 중 물리계층 장비에 대한 설명으로 옳지 않은 것은?
- ① 네트워크 장비간의 실제 전기적인 전송을 담당한다.
- ② 리피터는 물리적인 신호를 다시 증폭하는 역할을 한다.
- ③ 허브는 네트워크에 다수의 단말을 연결할 때 사용된다.
- ④ 브리지는 두 개의 근거리통신망(LAN)을 서로 연결해 주는 통신망 연결 장치이다.
등록된 댓글이 없습니다.
30. UCC 등의 등장으로 인터넷상에 영상 트래픽이 증가하고 있다. 영상 트래픽은 음성이나 텍스터 트래픽에 비하여 정보량이 수100~수1,000배에 달하므로 영상 정보의 압축 기술이 대단히 중요하게 고려되고 있다. 다음의 영상 정보 압축 기술 중 가장 압축률이 높은 기술은 어느 것인가?
- ① H.264
- ② MPEG-3
- ③ MPEG-4
- ④ H.323
등록된 댓글이 없습니다.
31. 문서 팩시밀리의 종류 중 G4 등급의 특징으로 잘못된 것은?
- ① 디지털 신호 방식 및 디지털 전용망을 사용
- ② A4 원고 3~5초 내에 전송 가능
- ③ 디지털 신호방식으로 MH, MR부호화 방식으로 압축
- ④ 고능률 부호화 방식(MMR)을 적용하여 공중 데이터망을 이용
등록된 댓글이 없습니다.
32. CATV의 센터설비에서 헤드엔드의 주요 기능과 거리가 먼 것은?
- ① 프로그램의 검색 및 편집
- ② 변조
- ③ TV 신호처리
- ④ Pilot 신호발생
등록된 댓글이 없습니다.
33. 다음 조건에 해당하는 전화기의 접속률은?

- ① 25[%]
- ② 40[%]
- ③ 90[%]
- ④ 133[%]
등록된 댓글이 없습니다.
34. 다음 중 4세대 이동통신 서비스를 이용하기 위해 사용되는 단말기는?
- ① PCS 단말
- ② CDMA 단말
- ③ PSTN 단말
- ④ LTE Advanced 단말
등록된 댓글이 없습니다.
35. 다음 중 무선수신기의 주요 기능에 해당하지 않는 것은?
- ① 공간상에 존재하는 많은 고주파 신호 중 원하는 신호를 선택한다.
- ② 수신안테나로부터 수신된 미약한 고주파의 반송파 신호를 적당한 크기로 증폭한다.
- ③ 고주파 반송파 신호를 적절한 중간주파수 대역의 신호로 바꾼다.
- ④ 중간주파수 대역에서 원래의 정보신호를 복원하기 위하여 고주파 신호와 혼합한다.
등록된 댓글이 없습니다.
36. 다음 중 수신기의 전기적 성능이 아닌 것은?
- ① 감도
- ② 선택도
- ③ 변조도
- ④ 충실도
등록된 댓글이 없습니다.
37. 아주 작은 네온 전구의 집합과 같은 기능을 하는 평면형 표시 장치로 2매의 얇은 유리 기판 사이의 좁은 틈에 네온 등의 가스를 봉입하고 유리의 내면에 수평 방향과 수직 방향으로 배열된 투명전극으로 구성되어 있는 것은?
- ① OLED
- ② PDP
- ③ LCD
- ④ CRT
등록된 댓글이 없습니다.
38. 다음 뉴미디어 기기 중 문자 혹은 도형 형태의 정보를 수신자가 원할 때 제공하며 수신자는 수신장치 없이 정보를 이용할 수 있는 것은?
- ① 비디오텍스(Videotex)
- ② 팩시밀리(Facsimile)
- ③ 텔레텍스트(Teletext)
- ④ 텔레텍스(Teletex)
등록된 댓글이 없습니다.
39. 다음 중 VOD(Video On Demand) 시스템의 사용자부에 대한 설명으로 틀린 것은?
- ① 세션에 대한 물리적 관리를 진행한다.
- ② '클라이언트부'라고도 한다.
- ③ 헤드엔드와 통신이 가능한 셋탑박스가 있다.
- ④ 고객이 요청하는 시간과 콘텐츠를 상기 시스템과 실시간으로 통신하여 이용자에게 서비스를 제공한다.
등록된 댓글이 없습니다.
40. 다음 중 멀티미디어 기기의 기능으로 맞지 않는 것은?
- ① 고사양 CPU
- ② 저해상도 디스플레이
- ③ 고속지원
- ④ 다양한 서비스 형태 이용
등록된 댓글이 없습니다.
3과목 : 정보전송개론
41. 동기 TDM방식에서 n개의 신호출처가 있는 경우, 각 프레임이 포함하는 시간슬롯(time slot)의 최소 개수는?
- ① n-1개
- ② n개
- ③ n+1개
- ④ n+2개
등록된 댓글이 없습니다.
42. 다음 중 디지털 변조방식이 아닌 것은?
- ① ASK
- ② FSK
- ③ PSK
- ④ PM
등록된 댓글이 없습니다.
43. 반송 다중통신에서 초군(기초 초군)대역을 이용하는 경우 4[kHz]의 음성채널 몇 개를 정송할 수 있는가?
- ① 20개
- ② 30개
- ③ 50개
- ④ 60개
등록된 댓글이 없습니다.
44. 다음의 변조방식 중 전송과정에서 에러발생 가능성(Error Probability)이 가장 낮은 것은?
- ① ASK
- ② FSK
- ③ QAM
- ④ PSK
등록된 댓글이 없습니다.
45. 전송선로의 무왜(無歪) 조건이 성립하기 위한 R, L, C, G의 관계식으로 옳은 것은? (단, R : 저항, L : 인덕턴스, C : 커패시턴스, G : 컨덕턴스)
- ①

- ②

- ③

- ④

등록된 댓글이 없습니다.
46. 어떤 신호가 전송매체상의 A지점과 B지점 구간에서 전송되는 경우, 전력 레벨이 1/2로 감소하였다면, A-B 구간에서 발생하는 손실은 약 얼마인가?
- ① 1[dB]
- ② 2[dB]
- ③ 3[dB]
- ④ 4[dB]
등록된 댓글이 없습니다.
47. UTP 케이블을 이용하여 공장 내 통신기기를 직접 연결하고자 한다. UTP 케이블의 손실이 5[dB]일 때 케이블의 길이는? (단, UTP 케이블 감쇠 손실은 2.5[dB/km]이다.)
- ① 0.5[km]
- ② 1[km]
- ③ 1.5[km]
- ④ 2[km]
등록된 댓글이 없습니다.
48. 전송매체의 전송 주파수가 높을수록 전류가 도체표면을 따라 흐르는 현상을 무엇이라 하는가?
- ① 누화효과
- ② 유도효과
- ③ 표피효과
- ④ 절연효과
등록된 댓글이 없습니다.
49. 다음 중 비트 동기를 얻을 수 있는 방법이 아닌 것은?
- ① 1차 또는 2차 표준(망동기 기준 클럭)으로부터 동기 클럭 신호를 추출하는 방법
- ② 주 신호 채널과 분리된 보조 채널의 동기화된 신호로부터 동기 클럭 신호를 추출하는 방법
- ③ 변조된 수신 신호로부터 동기 클럭 신호를 유도하는 방법
- ④ 1개 또는 2개 이상의 SYN 문자를 정보 블록 앞에 추가로 전송하여 동기를 확보하는 방법
등록된 댓글이 없습니다.
50. 다음 중 디지털 전송방식에 대한 설명으로 옳지 않은 것은?
- ① 신호를 변화하기 않고 전송하는 방식이 Baseband 전송이다.
- ② Baseband 전송 방식은 대역폭이 좁은 반면 전송 가능한 거리가 짧다.
- ③ Baseband 전송은 반송파의 진폭 또는 주파수 등을 변환하여 전송하는 방식이다.
- ④ 동축케이블은 Broadband와 Baseband 전송에 모두 이용된다.
등록된 댓글이 없습니다.
51. CAS(Channel Associated Signaling/통화로 신호방식)방식 중 우리나라에서 사용되는 방식은?
- ① No.5
- ② No.7
- ③ R1 MFC
- ④ R2 MFC
등록된 댓글이 없습니다.
52. 다음 중 No.7 신호방식의 특징이 아닌 것은?
- ① 통화채널과 분리된 별도의 신호채널을 통해 신호가 송수신된다.
- ② 두 개의 음성대역 주파수를 혼합하여 송출한다.
- ③ 기능별로 모듈화된 계층구조를 갖는다.
- ④ 다양한 서비스 제공능력을 갖는다.
등록된 댓글이 없습니다.
53. OSI 7계층에서 암호화, 해독, 정보압축 등을 수행하는 계층은?
- ① 전송계층
- ② 세션계층
- ③ 표현계층
- ④ 응용계층
등록된 댓글이 없습니다.
54. OSI 7계층에서 정보처리를 수행하는 응용프로그램과의 인터페이스를 제공하며 파일 전송, 메시지 통신 등의 서비스를 제공하는 계층은?
- ① 응용계층
- ② 표현계층
- ③ 세션계층
- ④ 전달계층
등록된 댓글이 없습니다.
55. OSI 프로토콜 구조 중에서 데이터링크 계층이 하는 역할이 아닌 것은?
- ① 흐름제어
- ② 데이터 동기 제공
- ③ 에러의 검출 및 정정
- ④ 네트워크 어드레싱
등록된 댓글이 없습니다.
56. 다음 IP address 중 지정된 네트워크의 모든 호스트에 브로드캐스팅이 불가능한 IP address는 무엇인가?
- ① 77.255.255.255
- ② 154.3.255.255
- ③ 211.82.157.255
- ④ 80.222.230.255
등록된 댓글이 없습니다.
57. 다음 중 네트워크 토폴로지(topology, 망구성방식)에 해당하지 않는 것은?
- ① Star형
- ② Mesh형
- ③ Bus형
- ④ Node형
등록된 댓글이 없습니다.
58. IP address 체계 중 C class에서 네트워크 하나의 최대 호스트 ID수는 몇 개인가?
- ① 64개
- ② 128개
- ③ 254개
- ④ 510개
등록된 댓글이 없습니다.
59. 디지털 통신망을 구성하는 디지털 교환기 사이에 클럭주파수의 차이가 생기면 데이터의 손실이 발생할 수 있는데 이를 무엇이라 하는가?
- ① 슬립(Slip)
- ② 폴링(Polling)
- ③ 피기백(Piggyback)
- ④ 인터리빙(Interleaving)
등록된 댓글이 없습니다.
60. 다음 중 다이코드(dicode) 전송부호에 대한 설명으로 틀린 것은?
- ① 0에서 0으로 변화가 없을 때는 0전위
- ② 1에서 1로 변화가 없을 때는 (-)전위
- ③ 0에서 1로 변화가 있을 때는 (+)전위
- ④ 1에서 0으로 변화가 있을 때는 (-)전위
등록된 댓글이 없습니다.
4과목 : 전자계산기일반 및 정보설비기준
61. 10진수 284의 9의 보수, 10의 보수를 순서대로 나열한 것은?
- ① 709 710
- ② 711 712
- ③ 713 714
- ④ 715 716
등록된 댓글이 없습니다.
62. 다음 중 컴퓨터가 중간 변환 과정 없이 직접 이해할 수 있는 언어는 무엇인가?
- ① 기계어
- ② 어셈블리어
- ③ ALGOL
- ④ PL/1
등록된 댓글이 없습니다.
63. 다음 중 운영체제의 기능에 대한 설명으로 틀린 것은?
- ① 프로세스 생성과 제거, 메시지 전달 등의 기능을 수행한다
- ② 메모리 할당과 메모리 회수 등의 기능을 수행한다.
- ③ 입출력 스케줄링과 주변장치의 전반적인 관리를 수행한다.
- ④ 파일의 생성 및 삭제, 변경, 보관, 저장은 사용자가 직접 관리한다.
등록된 댓글이 없습니다.
64. 2진수 10101101.0101을 8진수로 변환한 것으로 옳은 것은?
- ① 255.22
- ② 255.23
- ③ 255.24
- ④ 3E.A1
등록된 댓글이 없습니다.
65. 마이크로프로세서의 병렬처리 방식 중 동시수행가능 명령어 등을 컴파일러로 검출하여 하나의 명령어 코드로 압축하는 동시수행기법을 무엇이라 하는가?
- ① VLIW(Ver Large Instruction Word)
- ② Super-Scalar
- ③ Pipeline
- ④ Super-Pipeline
등록된 댓글이 없습니다.
66. 주 기억장치에 지장된 명령어를 하나하나씩 인출하여 연산코드 부분을 해석한 다음 해석한 결과에 따라 적합한 신호로 변환하여 각각의 연산 장치와 메모리에 지시 신호를 내는 것은?
- ① 연산 논리 장치(ALU)
- ② 입출력 장치(I/O Unit)
- ③ 채널(Channel)
- ④ 제어 장치(Control Unit)
등록된 댓글이 없습니다.
67. 다음 중 다중프로세서(Multiprocessor) 시스템에 대한 설명으로 옳은 것은?
- ① 프로세서나 복잡한 컴퓨터들이 노드를 이루면서 동작하는 시스템
- ② 제어방식이 복합적이면서도 밀접한 관계를 유지하면서 동작하는 시스템
- ③ 병렬적이면서 동기적인 컴퓨터 시스템에서 동시에 여러 개의 태스크(Task)를 수행하는 시스템
- ④ 플린(Flynn)의 MIMD구조로 둘 이상의 프로세서를 가진 시스템
등록된 댓글이 없습니다.
68. 다음 중 교착상태(Deadlock)의 필요조건이 아닌 것은?
- ① 선점
- ② 점유(보유)와 대기
- ③ 상호배제
- ④ 환형대기
등록된 댓글이 없습니다.
69. 다음 중 프로그램 언어의 조건으로 틀린 것은?
- ① 다양한 응용 문제를 해결할 수 있어야 한다.
- ② 명령문이 통일성 있고 단순, 명료해야 한다.
- ③ 가능한 외부적인 지원은 차단하고, 많은 내부적 지원이 가능해야 한다.
- ④ 언어의 확장성이 좋으며 구조가 간단하고 분명해야 한다.
등록된 댓글이 없습니다.
70. 다음 중 표(Table) 및 배열(Array) 구조의 데이터를 처리하고자 할 경우 명령어들의 유용한 주소 지정 방식은?
- ① 간접 주소 지정
- ② 메모리 참조 주소 지정
- ③ 인덱스 주소 지정
- ④ 직접 주소 지정
등록된 댓글이 없습니다.
71. 기간통신사업자가 선로 등에 관한 측량, 전기통신설비의 설치 또는 본전 공사를 위해 필요한 경우 사유 또는 국ㆍ공유의 전기통신설비 및 토지 등을 일시 사용할 수 있게 되는데, 이때 허용되는 최대 사용기간은?
- ① 1개월
- ② 3개월
- ③ 6개월
- ④ 10개월
등록된 댓글이 없습니다.
72. 다음 중 정보통신공사업법령에 의한 정보통신공사에 해당하지 않는 것은?
- ① 아파트의 방송공동수신설비공사
- ② 물류 창고의 방범을 위한 CCTV설비 설치공사
- ③ 우체국의 수전설비 설치공사
- ④ 구청의 화상회의시스템 설비공사
등록된 댓글이 없습니다.
73. 다음 중 보편적 역무의 내용에 해당하지 않는 것은?
- ① 도선통신용 유선전화 서비스
- ② 긴급통신용 선박무선전화 서비스
- ③ 인터넷유지보수를 위한 전화 서비스
- ④ 장애인ㆍ저소득층에 대한 요금감면 전화 서비스
등록된 댓글이 없습니다.
74. 다음 중 기간통신사업자가 전기통신설비의 설치ㆍ보전을 위하여 운반구를 운행할 필요가 있을시 관계 공공기관에 협조를 요청할 수 있는 사항으로 관련 없는 것은?
- ① 차량의 운행
- ② 선박의 운행
- ③ 인력의 동원
- ④ 항공기 운행
등록된 댓글이 없습니다.
75. 선로설비의 회선 상호간ㆍ회선과 대지 간 및 회선의 심선 상호간의 절연저항은 직류 500볼트 절연저항계로 측정하는 경우 적절한 저항은 몇 [MΩ] 이상이어야 하는가?
- ① 5[MΩ]
- ② 10[MΩ]
- ③ 7[MΩ]
- ④ 2[MΩ]
등록된 댓글이 없습니다.
76. 다음 중 정보통신공사업법령에서 규정하는 정보통신기술자 중 고급 기술자의 인정범위로 옳은 것은?
- ① 기술사
- ② 기사 자격 취득 후 3년 이상 공사업무를 수행한 자
- ③ 산업기사 자격 취득 후 8년 이상 공사업무를 수행한 자
- ④ 기능사 자격 취득 후 10년 이상 공사업무를 수행한 자
등록된 댓글이 없습니다.
77. 전송망사업용설비와 수신자설비의 분계점에서 수신자에게 종합유선방송신호를 전송하기 위한 전송설비 및 선로설비에 대한 세부기술 기준은 어디에서 정하여 고시하는가?
- ① 한국유선방송협회
- ② 국립전파연구원
- ③ 산업통상자원부
- ④ 미래창조과학부
등록된 댓글이 없습니다.
78. 다음 중 전기통신사업을 위하여 사용 중인 전기통신설비를 물리적 또는 기술적 형태에 따라 바르게 분류하여 나타낸 것은?
- ① 교환설비, 전송설비, 선로설비, 단말설비, 정보처리설비, 전원설비
- ② 교환설비, 송신설비, 수신설비, 단말설비, 가공설비, 전원설비
- ③ 전송설비, 선로설비, 가공설비, 기간설비, 정보처리설비, 전원설비
- ④ 전송설비, 송신설비, 수신설비, 기간설비, 정보처리설비, 전원설비
등록된 댓글이 없습니다.
79. 다음 중 정보통신공사의 하자담보 책임기간이 다른 하나는?
- ① 터널시 통신구공사
- ② 전송설비공사
- ③ 교환기설치공사
- ④ 위성통신설비공사
등록된 댓글이 없습니다.
80. 공사를 설계하는 사람이 정보통신공사업법 및 같은 법 시행령에서 정하는 기술기준에 적합하게 설계하여야 한다면, 감리원은 무엇에 적합하도록 공사를 감리하여야 하는가?
- ① 품질기준 및 안전기준
- ② 기술기준 및 설계기준
- ③ 공사시방서 및 내역서
- ④ 설계도서 및 관련규정
등록된 댓글이 없습니다.