정보통신산업기사(2009. 3. 1.) 시험일자 : 2009년 3월 1일
1과목 : 디지털전자회로
1. 다음 중 정류회로의 구성 요소와 거리가 먼 것은?
- ① 전원 변압기
- ② 평활 회로
- ③ 안정화 회로
- ④ 궤환 회로
등록된 댓글이 없습니다.
2. 이미터 접지일 때 전류증폭율이 각각 hFE1. hFE2 인 두개의 트랜지스터 Q1과 Q2를 그림과 같이 접속하였을 때의 컬렉터 전류 IC 는?

- ① IC = hFE1ㆍhFE2ㆍIB
- ② IC = (hFE1 / hFE2)ㆍIB
- ③ IC = hFE2(hFE2+1)IB
- ④ IC = hFE1ㆍIB + hFE2(hFE2+1)ㆍIB
등록된 댓글이 없습니다.
3. 다음은 리플 카운터(ripple counter)이다. 초기 상태 A=0, B=0, C=0 이었다면 클럭 펄스가 12개 인가된 후의 상태는?

- ① A=0, B=0, C=1
- ② A=0, B=1, C=1
- ③ A=1, B=1, C=0
- ④ A=1, B=0, C=0
등록된 댓글이 없습니다.
4. 다음 회로의 설명 중 틀린 것은?

- ① voltage follower 이다.
- ② 입력과 출력은 역상이다.
- ③ 입력 전압과 출력 전압은 크기가 같다.
- ④ 입력 임피던스가 매우 크다.
등록된 댓글이 없습니다.
5. 다음과 같은 RC 필터회로에서 리플 함유율을 줄이려면 어느 방법이 옳은가?

- ① R, C 를 작게 한다.
- ② RL, C 를 작게 한다.
- ③ R, C 를 크게 한다.
- ④ RL, C 를 크게 한다.
등록된 댓글이 없습니다.
6. 다음과 같은 회로가 수행할 수 있는 논리 동작은? (단, 부논리이며 A, B는 입력단자이다.)

- ①

- ② Y+AB
- ③ Y=A+B
- ④

등록된 댓글이 없습니다.
7. 다음 중 트랜지스터 회로의 바이어스 안정도(S)가 가장 좋은 것은?
- ① S = 1
- ② S = π
- ③ S = 50
- ④ S = ∞
등록된 댓글이 없습니다.
8. 하틀레이(Hartley) 발진기에서 궤환(feed back) 요소는?
- ① 콘덴서
- ② 코일
- ③ 트랜스
- ④ 저항
등록된 댓글이 없습니다.
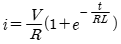
9. 그림과 같은 회로에서 스위치가 2인 위치에서 t =0 일 때 1인 위치로 옮겨지는 경우에 회로에 흐르는 전류 I를 나타낸 것은?

- ①

- ②

- ③

- ④

등록된 댓글이 없습니다.
10. 그림과 같은 clipping 회로에 정현파 전압을 가하면 출력 파형은?

- ①

- ②

- ③

- ④

등록된 댓글이 없습니다.
11. RC결합 증폭회로의 이득이 높은 주파수에서 감소되는 이유는?
- ① 증폭 소자의 특성이 변하기 때문에
- ② 부성 저항이 생기기 때문에
- ③ 결합 커패시턴스 때문에
- ④ 출력회로의 병렬 커패시턴스 때문에
등록된 댓글이 없습니다.
12. 다음 논리회로의 출력 C를 진리표 내에서 바르게 나타낸 것은?

- ① ①
- ② ②
- ③ ③
- ④ ④
등록된 댓글이 없습니다.
13. 다음 카르노 맵을 간략화한 결과는?

- ①

- ②

- ③

- ④

등록된 댓글이 없습니다.
14. 다음 중 동기식 카운터(synchronous counter)의 설명으로 옳지 않은 것은?
- ① 비동기식보다 최종 플립플롭의 변화 지연시간을 단축시킬 수있다.
- ② 입력펄스가 플립플롭의 모든 클록에 동시에 가해지는 구조이다.
- ③ 저속의 카운터가 되지만 플립플롭의 회로가 간단하다.
- ④ 모든 플립플롭이 동시에 동작한다.
등록된 댓글이 없습니다.
15. 다음 논리식은 무슨 법칙을 활용하여 전개한 것인가?

- ① 보수와 병렬의 법칙
- ② 드모르간(De Morgan)의 법칙
- ③ 교차와 병렬의 법칙
- ④ 적과 화의 분배의 법칙
등록된 댓글이 없습니다.
16. 그림의 수정진동자 등가회로에서 병렬공진주파수(fp)는?

- ①

- ②

- ③

- ④

등록된 댓글이 없습니다.
17. 다음 중 주로 고주파 증폭기에 사용되는 것은?
- ① A급
- ② B급
- ③ C급
- ④ AB급
등록된 댓글이 없습니다.
18. 그림(a)의 회로망에 그림(b)의 입력파를 인가시 출력파형으로 옳은 것은?

- ① 0[V]와 +16[V]에 클램프 된다.
- ② 0[V]와 -16[V]에 클램프 된다.
- ③ 0[V]와 +32[V]에 클램프 된다.
- ④ 0[V]와 -32[V]에 클램프 된다.
등록된 댓글이 없습니다.
19. 다음 중 부궤환에 의해서 얻을 수 있는 효과가 아닌 것은?
- ① 외부 변화에 덜 민감하므로 이득의 감도를 줄일 수 있다.
- ② 비선형 왜곡을 줄일 수 있다.
- ③ 불필요한 전기 신호에 의한 영향을 줄일 수 있다.
- ④ 궤환없는 증폭기에 비해 대역폭이 감소한다.
등록된 댓글이 없습니다.
20. 다음 중 펄스파가 상승해 가는 기간의 10[%]에서 90[%]까지 걸리는 시간을 무엇이라 하는가?
- ① 지연시간
- ② 하강시간
- ③ 축적시간
- ④ 상승시간
등록된 댓글이 없습니다.
2과목 : 정보통신기기
21. 디지털 다중화(Digital Multiplex)에서 T1 신호에 대한 설명으로 옳은 것은?
- ① 24개의 채널이 다중화되어 1.544[Mbps]의 전송속도를 갖는 다.
- ② 32개으 채널이 다중화되어 1.544[Mbps]의 전송속도를 갖는 다.
- ③ 24개의 채널이 다중화되어 2.048[Mbps]의 전송속도를 갖는 다.
- ④ 32개의 채널이 다중화되어 2.048[Mbps]의 전송속도를 갖는 다.
등록된 댓글이 없습니다.
22. 다음 중 비디오텍스에 대한 설명으로 옳은 것은?
- ① 텔레비전과 전화의 연결에 의한 정보서비스
- ② 방송형태의 정보를 제공하는 서비스
- ③ 문자다중방송 서비스
- ④ TV 귀선 시간을 이용해서 정보전송을 하는 서비스
등록된 댓글이 없습니다.
23. 다음 중 다중화 방식에서 채널 활용도가 가장 높은 것은?
- ① CDMA
- ② TDMA
- ③ FDMAA
- ④ CSMA
등록된 댓글이 없습니다.
24. 종이에 기록된 문자를 직접 광학적으로 읽어내는 광학식 문자 입력장치는?
- ① 디지타이저
- ② OCR
- ③ CAD/CAM
- ④ 그래픽 단말기
등록된 댓글이 없습니다.
25. 시분할 다중화(TDM)에서 부채널간 상호간섭을 방지하기 위한 완충 지역은?
- ① Guard time
- ② Guard band
- ③ Channel
- ④ Sub-group
등록된 댓글이 없습니다.
26. 다음 중 WiBro 시스템에서 사용되는 다중접속방식은?
- ① OTDMA
- ② OFDMA
- ③ CDMA
- ④ WCDMA
등록된 댓글이 없습니다.
27. 다음 중 CATV의 매체 특성이 아닌 것은?
- ① 다수인에 대한 동시 관찰
- ② 원거리의 일정한 감시 기능
- ③ 가시적인 영역만의 관찰
- ④ 집중적인 감시 기능
등록된 댓글이 없습니다.
28. 다음 중 정보통신 시스템의 데이터 전송계에 해당되지 않는 것은?
- ① 데이터 단말장치
- ② 신호 변화장치
- ③ 통신 회선
- ④ 입ㆍ출력 채널
등록된 댓글이 없습니다.
29. 지구관측위성의 회전궤도이며, 지구의 여러 곳의 상태를 관찰할 수 있는 궤도는?
- ① 극 궤도
- ② 적도면 궤도
- ③ 타원 궤도
- ④ 태양동기 궤도
등록된 댓글이 없습니다.
30. 다음 중 G3 팩시밀리의 특징이 아닌 것은?
- ① 부호화 방식은 MH, MR 방식이다.
- ② ITU-T의 권고안으로 T.30 이 있다.
- ③ ISDN용 디지털 전용선로에서 사용한다.
- ④ A4 원고를 약 1분 이내에 전송이 가능하다.
등록된 댓글이 없습니다.
31. 위성통신의 회선접속 방식 중 고정할당방식 또는 요구할당방식의 운용이 가능하고, 간섭 및 방해에 강하지만 넓은 대역폭이 소요되어 주파수의 이용효율이 비교적 낮은 것은?
- ① FDMA
- ② TDMA
- ③ CDMA
- ④ SDMA
등록된 댓글이 없습니다.
32. 다음 중 위성통신용 지구국의 기본구성이 아닌 것은?
- ① 안테나부
- ② 송신부
- ③ 수신부
- ④ 자세제어부
등록된 댓글이 없습니다.
33. 다음 중 통신제어장치의 기능이 아닌 것은?
- ① 에러검출
- ② 회선감시
- ③ 전송제어
- ④ 신호변환
등록된 댓글이 없습니다.
34. FAX의 기본 과정에서 공간적으로 2차원으로 분포한 원화정보를 1차원적인 신호로 변환하는 것을 송신주사라고 한다. 송신주사 방식 중 기계적 주사방식이 아닌 것은?
- ① 원통주사
- ② 원호면주사
- ③ 평면주사
- ④ 고체주사
등록된 댓글이 없습니다.
35. 다음 중 전전자 교환기의 구성에서 통화로계에 속하지 않는 것은?
- ① 가입자선 정합부
- ② 통화로망
- ③ 주변제어장치
- ④ 중계선 정합부
등록된 댓글이 없습니다.
36. 다음 중 다중화 장비의 이용 목적으로 가장 적합한 것은?
- ① 다중화 장비의 비용 절약
- ② 통신선로와 모뎀의 비용 절약
- ③ 단말기와 모뎀의 비용 절약
- ④ 통신선로와 단말기의 비용 절약
등록된 댓글이 없습니다.
37. MFC(Multi Frequency Code) 방식을 이용하는 푸시 버튼 전화기의 특징이 아닌 것은?
- ① 전자교환기에서 사용될 수 있다.
- ② 특수 서비스를 받을 수 있다.
- ③ 직류전류를 단속시켜 교환기를 동작시킨다.
- ④ 복합 주파수를 선정한다.
등록된 댓글이 없습니다.
38. SSB 변조방식이 DSB 변조방식에 비해 장점이 아닌 것은?
- ① 주파수 효율이 높다.
- ② 선택성 페이딩의 영향을 덜 받는다.
- ③ 비화성이 없다.
- ④ 소비전력이 적다.
등록된 댓글이 없습니다.
39. 다음 중 전자파의 성질이 아닌 것은?
- ① 전자파는 종파이다.
- ② 직진, 반사, 회절, 간섭 등의 현상이 있다.
- ③ 서로 다른 매질의 경계면에서 굴절한다.
- ④ 전파속도는 투자율이나 유전율이 클수록 늦어진다.
등록된 댓글이 없습니다.
40. 다음 중 EIA에서 정의한 25핀 RS-232C의 핀 번호와 기능이 틀린 것은?
- ① Pin 1(FG) : 보호용 접지
- ② Pin 2(TXD) : 데이터의 송신
- ③ Pin 3(RXD) : 데이터의 수신
- ④ Pin 5(RTS) : 출력 송신요구
등록된 댓글이 없습니다.
3과목 : 정보전송개론
41. 다음 중 콘볼루션(convolution) 부호에 해당하지 않는 것은?
- ① 위너부호
- ② 허프만부호
- ③ 비터비부호
- ④ 자기직교부호
등록된 댓글이 없습니다.
42. 스트로브(strobe)신호와 비지(busy)신호를 이용하여 전송하는 형태는?
- ① 병렬 전송
- ② 직렬 전송
- ③ 동기식 전송
- ④ 비동기식 전송
등록된 댓글이 없습니다.
43. 다음 중 디지털 신호 재생 중계기의 기본 기능이 아닌 것은?
- ① Reshaping
- ② Regeneration
- ③ Retiming
- ④ Recovery
등록된 댓글이 없습니다.
44. 다음 중 광섬유의 분산에 대한 설명으로 적합하지 않은 것은?
- ① 색분산에는 재료분산과 구조분산이 있다.
- ② 광섬유 분산 특성에는 색분산과 형태분산이 있다.
- ③ 일반적인 광섬유에서 0 분산은 1310nm 파장대에 존재한다.
- ④ 멀티모드 광섬유에서는 색분산이 문제가 되고 싱글모드 광섬유에서는 모드분산이 문제가 된다.
등록된 댓글이 없습니다.
45. 전송하고자 하는 총 비트 수가 30개 일 때 해밍 비트수는?
- ① 3비트
- ② 4비트
- ③ 5비트
- ④ 7비트
등록된 댓글이 없습니다.
46. 인접한 다른 선로와 전자기적 유도에 의해 발생하는 잡음은?
- ① 열잡음
- ② 신호감쇠
- ③ 누화잡음
- ④ 지연왜곡
등록된 댓글이 없습니다.
47. OSI 7 계층 중 데이터 링크계층에서 사용되는 데이터 단위는?
- ① 비트(bit)
- ② 프레임(frame)
- ③ 패킷(packet)
- ④ 메시지(message)
등록된 댓글이 없습니다.
48. 다음 중 FEC(전진에러정정) 방식을 적용할 수 있는 분야로 적합하지 않은 것은?
- ① 데이터가 연속적으로 전송되는 경우
- ② 서로 다른 비트 에러율을 요구하는 다수의 이용자를 수용하는 공중 반송 채널의 경우
- ③ 4800[bps] 이상의 속도로 운용되는 시분할 다중화기 사이에서 전이중방식으로 운용되는 경우
- ④ 역채널이 있는 경우
등록된 댓글이 없습니다.
49. 디지털 신호 0 또는 1에 따라 반송파의 위상을 변화시키는 변조방식은?
- ① PCM
- ② 2진 PSK
- ③ 2진 FSK
- ④ 2진 ASK
등록된 댓글이 없습니다.
50. 다음 중 UTP(Unshielded Twisted Pair) 케이블에 대한 설명으로 적합하지 않은 것은?
- ① 유연하여 설치가 쉽다.
- ② 다른 매체에 비하여 가격이 싸다.
- ③ 전송속도에 따라 일반적으로 6등급으로 분류한다.
- ④ Cat. 5 기준으로 전송속도 10 ~ 100[Mbps]에서 최대 전송 거리는 약 1000[m]이다.
등록된 댓글이 없습니다.
51. 다음 중 동기식 전송방식의 특징에 대한 설명으로 적합하지 않은 것은?
- ① 저속의 전송속도에 주로 사용한다.
- ② 글자들 사이에는 휴지시간이 없다.
- ③ 터미널에는 버퍼를 가지고 있어야 한다.
- ④ 데이터 블록의 앞쪽에 반드시 동기문자(신호)가 온다.
등록된 댓글이 없습니다.
52. 다음 중 스펙트럼 이용효율이 가장 좋은 변조방식은?
- ① 2진 FSK
- ② 2진 ASK
- ③ 4진 PSK
- ④ 16진 QAM
등록된 댓글이 없습니다.
53. 단말기와 교환기, 교환기와 교환기 상호간에 통화회선의 설정, 유지, 관리, 복구 등을 위해 필요한 정보를 주고 받는 절차 및 기준을 무엇이라 하는가?
- ① 트래픽
- ② 호 제어
- ③ 신호방식
- ④ 전송제어
등록된 댓글이 없습니다.
54. 이동 통신에서 여러 가지 전송 경로를 통해 수신되는 신호들의 합과 차에 의하여 수신 신호 레벨의 변동이 발생하는 것과 가장 관련이 깊은 것은?
- ① 페이딩
- ② 채널간섭
- ③ 지역 확산
- ④ 도플러 현상
등록된 댓글이 없습니다.
55. 다음 중 HDLC의 프레임을 구성하는 주요 요소에 속하지 않는 것은?
- ① 플래그
- ② 주소 영역
- ③ 동기체크 영역
- ④ 정보 영역
등록된 댓글이 없습니다.
56. 전송효율을 최대로 하기 위해서 프레임의 길이를 동적으로 변경시킬 수 있는 ARQ 방식은?
- ① 정지-대기 ARQ
- ② Go-back-N ARQ
- ③ Selective-repeat ARQ
- ④ Adaptive ARQ
등록된 댓글이 없습니다.
57. 다음 중 위성통신에 대한 설명으로 적합하지 않은 것은?
- ① 위성통신에 사용하는 주파수 대역은 일반적으로 SHF대역(3~30[GHz]) 이다.
- ② 상향회선과 하향회선은 서로 다른 주파수를 사용한다.
- ③ 3개의 정지궤도위성을 이용하면 극지방을 제외한 전세계 통신망을 커버할 수 있다.
- ④ 랜덤위성이나 저궤도위성을 이용하면 정지궤도위성을 이용할 때보다 전파손실이 크다.
등록된 댓글이 없습니다.
58. 다음 중 전송로의 진폭왜곡이나 위상왜곡에 의해 발생하는 부호간 간섭(ISI)의 영향을 감소시키는 장치는?
- ① 증폭기
- ② 등화기
- ③ 정합필터
- ④ 재생중계기
등록된 댓글이 없습니다.
59. 8비트 코드(데이터)에 1개의 시작 비트와 2개의 정지 비트를 추가하여 전송하면 전송 효율은 약 몇 [%] 인가?
- ① 62.5[%]
- ② 65.7[%]
- ③ 72.7[%]
- ④ 82.5[%]
등록된 댓글이 없습니다.
60. 기저대역 전송에서 전송부호가 가져야 하는 조건으로 적합하지 않은 것은?
- ① DC 성분이 포함되어야 한다.
- ② 전송 대역폭이 압축되어야 한다.
- ③ 전송 부호의 코딩 효율이 양호해야 한다.
- ④ 전송 도중에 발생하는 에러의 검출과 교정이 가능해야 한다.
등록된 댓글이 없습니다.
4과목 : 전자계산기일반 및 정보설비기준
61. 다음 중 CPU에 인터럽트가 발생할 때의 OS 동작 설명으로 옳지 않은 것은?
- ① 수행중인 프로세스나 스레드의 상태를 저장한다.
- ② 인터럽트 종류를 식별한다.
- ③ 인터럽트 서비스 루틴을 호출한다.
- ④ 인터럽트 처리 결과를 텍스트 형식의 파일로 저장한다.
등록된 댓글이 없습니다.
62. 다음 중 n개의 비트로 표시할 수 있는 데이터의 수는?
- ① n개
- ② n2개
- ③ 2n개
- ④ 2n-1개
등록된 댓글이 없습니다.
63. 다음 중 소프트웨어 수명을 연장시키는 목표와 가장 거리가 먼 것은?
- ① 정확성
- ② 유지 보수의 용이성
- ③ 재사용성
- ④ 유연성
등록된 댓글이 없습니다.
64. 다음 중 1비트 기억 장치는?
- ① 플립플롭
- ② 레지스터
- ③ 누산기
- ④ 디코더
등록된 댓글이 없습니다.
65. 다음 레지스터들 중에서 Read 하거나 Write 할 때 반드시 거쳐야 하는 레지스터는?
- ① MAR(Memory Address Register)
- ② MBR(Memory Buffer Register)
- ③ PC(Program Counter)
- ④ IR(Instruction Register)
등록된 댓글이 없습니다.
66. 다음 중 원시 프로그램을 목적 프로그램으로 바꾸어 주는 것은?
- ① 어셈블리언어
- ② 프로그램라이브러리
- ③ 연계편집프로그램
- ④ 어셈블러
등록된 댓글이 없습니다.
67. 다음 그림과 같은 트리를 후위 순회(postorder-traversal)한 결과는?

- ① +**/ABCDE
- ② AB/C*D*E+
- ③ A*B+C*D/E
- ④ A*B+CD*/E
등록된 댓글이 없습니다.
68. 프로그램카운터의 기능에 대한 설명으로 옳은 것은?
- ① 다음에 수행할 명령어의 주소를 기억하고 있음
- ② 데이터가 기억된 위치를 지시함
- ③ 기억하거나 읽은 데이터를 보관함
- ④ 수행중인 명령을 기억함
등록된 댓글이 없습니다.
69. 다음은 10진수를 표현하는 이진 코드(binary code)들이다. 이들 중 자체 보수화(self-complementary)가 불가능한 코드는?
- ① 51111 코드
- ② BCD 코드
- ③ Excess-3 코드
- ④ 2421 코드
등록된 댓글이 없습니다.
70. Binary Code 11010을 Gray Code로 변환한 값은?
- ① 11011
- ② 10111
- ③ 11101
- ④ 11110
등록된 댓글이 없습니다.
71. 재직 중에 통신에 관하여 알게 된 타인의 비밀을 누설한자에 대한 벌칙으로 적합한 것은?
- ① 1년 이하의 징역 또는 1천마원 이하의 벌금
- ② 2년 이하의 징역 또는 5천만원 이하의 벌금
- ③ 3년 이하의 징역 또는 1억원 이하의 벌금
- ④ 5년 이하의 징역 또는 2억원 이하의 벌금
등록된 댓글이 없습니다.
72. 다음 ( ) 안에 들어갈 내용으로 가장 적합한 것은?

- ① 공사업자
- ② 감리업자
- ③ 용역업자
- ④ 도금업자
등록된 댓글이 없습니다.
73. 다음 중 기간통신 역무의 종류에 속하지 않는 것은?
- ① 전송 역무
- ② 기간통신망 설치 역무
- ③ 전기통신회선설비임대 역무
- ④ 주파수를 할당받아 제공하는 역무
등록된 댓글이 없습니다.
74. 다음 중 감리원의 업무범위에 속하지 않는 것은?
- ① 공사계획 및 공정표의 검토
- ② 하수급에 대한 타당성 검토
- ③ 설계변경에 관한 사항의 검토 확인
- ④ 공사진척부분에 대한 조사 및 검사
등록된 댓글이 없습니다.
75. 정보통신공사업의 등록기준에서 개인의 경우 자본금은 얼마 이상인가?
- ① 5억만원 이상
- ② 1억원 이상
- ③ 1억5천만원 이상
- ④ 2억원 이상
등록된 댓글이 없습니다.
76. 사업자의 교환설비로부터 이용자전기통신설비의 최초 단자에 이르기까지의 사이에 구성되는 회선을 말하는 것은?
- ① 내선
- ② 국선
- ③ 통신선
- ④ 중계선
등록된 댓글이 없습니다.
77. 전기통신망에 접속되는 단말기기 및 그 부속 설비를 무엇이라 하는가?
- ① 전원설비
- ② 단말장치
- ③ 국선장치
- ④ 정보통신설비
등록된 댓글이 없습니다.
78. 다음 중 기간통신사업을 경영하고자 하는 경우의 절차로 가장 적합한 것은?(관련 규정 개정전 문제로 여기서는 기존 정답인 3번을 누르면 정답 처리됩니다. 자세한 내용은 해설을 참고하세요.)
- ① 방송통신위원회에 등록하여야 한다.
- ② 방송통신위원회에 신고하여야 한다.
- ③ 방송통신위원회의 허가를 받아야 한다.
- ④ 지식경제부장관에게 허가를 받아야 한다.
등록된 댓글이 없습니다.
79. 전기통신기본법의 목적을 달성하기 위하여 전기통신에 관한 기본적이고 종합적인 정부의 시책을 강구하여야 하는 자(기구)는?(관련 규정 개정전 문제로 여기서는 기존 정답인 2번을 누르면 정답 처리됩니다. 자세한 내용은 해설을 참고하세요.)
- ① 국무총리
- ② 방송통신위원회
- ③ 지식경제부장관
- ④ 교육과학기술부장관
등록된 댓글이 없습니다.
80. 다음 ( ) 안에 들어갈 내용으로 가장 적합한 것은?

- ① 국무총리
- ② 방송통신위원회
- ③ 지식경제부장관
- ④ 교육과학기술부장관
등록된 댓글이 없습니다.