초음파비파괴검사기사(2019. 3. 3.) 시험일자 : 2019년 3월 3일
1과목 : 비파괴검사 개론
1. 시험체에 있는 도체에 전류가 흐르도록 한 후, 시험체중의 전위분포를 계측하는 비파괴검사방법은?
- ① 전기저항법
 - ② 화학분석 검사법
 - ③ 방사선투과 검사법
 - ④ 음파-초음파 검사법
 
등록된 댓글이 없습니다.
2. 다음은 와전류탐상시험에서 표피효과의 기준이 되는 침투깊이에 대해 기술한 것이다. 올바른 것은?
- ① 시험체의 투자율이 낮을수록 침투깊이는 얕다.
 - ② 시험체의 도전율이 높을수록 침투깊이는 깊다.
 - ③ 시험주파수가 낮을수록 침투깊이는 얕다.
 - ④ 탄소강과 알루미늄 중 탄소강이 침투깊이가 얕다.
 
등록된 댓글이 없습니다.
3. 자분 분산매가 가져야 할 특성에 대한 설명 중 옳은 것은?
- ① 휘발성이 크고, 점도는 낮아야 한다.
 - ② 점도가 낮고, 장기간 변질이 없어야 한다.
 - ③ 인화점이 낮고, 인체에 유해하지 않아야 한다.
 - ④ 적심성은 나쁘며, 결함에서 활발한 화학반응이 일어나야 한다.
 
등록된 댓글이 없습니다.
4. X선투과시험과 비교한 γ선 투과시험의 장점에 대한 설명으로 틀린 것은?
- ① 운반하기 쉽고, 협소한 장소에 접근하기 쉽다.
 - ② 동일한 에너지 범위일 경우 X선 장비보다 가격이 저렴하다.
 - ③ γ선은 동위원소의 핵에서 방출되는 전자파이므로 외부전원이 필요치 않다.
 - ④ 에너지가 높으므로 두꺼운 검사체에 사용할 수 있고, 선명한 투과사진을 얻을 수 있다.
 
등록된 댓글이 없습니다.
5. 1cm 직경의 구리 봉을 2cm 직경의 코일로 검사하는 경우의 충전의 충전(진)율은?
- ① 0.25 (25%)
 - ② 0.5% (50%)
 - ③ 2.0 (200%)
 - ④ 4.0 (400%)
 
등록된 댓글이 없습니다.
6. 2원계 상태도에서 포정 반응으로 옳은 것은?
- ① (액상)→(고상A)+(고상B)
 - ② (액상A)+(액상B)→(고상)
 - ③ (고상A)→(고상B)+(고상C)
 - ④ (고상A)+(액상)→(고상B)
 
등록된 댓글이 없습니다.
7. 고강도 알루미늄 합금인 두랄루민의 주요 구성 원소는?
- ① Al-Cu-Mn-Mg
 - ② Al-Ni-Co-Mg
 - ③ Al-Ca-Si-Mg
 - ④ Al-Zn-Si-Mg
 
등록된 댓글이 없습니다.
8. 피로한도에 대한 설명으로 옳은 것은?
- ① 지름이 크면 피로한도는 커진다.
 - ② 노치가 있는 시험편의 피로한도는 크다.
 - ③ 표면이 거친 것이 고운 것보다 피로한도가 작다.
 - ④ 산, 알칼리, 물에서 부시된 시험편의 피로한도는 부식 전보다 크다.
 
ㅇㅇ2024. 2. 4. 12:56삭제
피로한도에 영향을 주는 인자
건설기계의 각 구조물 및 기계 구조물에 대한 피로한도는 구조물의 치수 표면 다듬질정도, 노치등에 따라서 편차가 크며, 피로한도를 높게 하여 장비의 수명을 길게 하기 위해서는 이러한 인자를 최소화 하여야 한다.
 
피로한도에 양향을 주는 인자의 종류 및 특성
1) 치수효과: 부재의 치수가 커지면 피로한도가 낮아진다
2) 부식효과: 부재의 부식에 의하여 피로한도가 낮아진다.
3) 압입효과: 강압끼어 맞춤에 의해 피로한도가 낮아진다.
4) 표면효과: 부재의 표면 다듬질이 거칠면 피로한도가 낮아진다.
5) 노치효과: 단면치수나 형상이 갑자기 변하는곳에 응력이 집중되고 피로한도가 낮아진다.
ㅇㅇ2024. 2. 4. 12:56삭제
피로한도에 영향을 주는 인자
건설기계의 각 구조물 및 기계 구조물에 대한 피로한도는 구조물의 치수 표면 다듬질정도, 노치등에 따라서 편차가 크며, 피로한도를 높게 하여 장비의 수명을 길게 하기 위해서는 이러한 인자를 최소화 하여야 한다.
 
피로한도에 양향을 주는 인자의 종류 및 특성
1) 치수효과: 부재의 치수가 커지면 피로한도가 낮아진다
2) 부식효과: 부재의 부식에 의하여 피로한도가 낮아진다.
3) 압입효과: 강압끼어 맞춤에 의해 피로한도가 낮아진다.
4) 표면효과: 부재의 표면 다듬질이 거칠면 피로한도가 낮아진다.
5) 노치효과: 단면치수나 형상이 갑자기 변하는곳에 응력이 집중되고 피로한도가 낮아진다.
9. 탄소의 함량이 가장 낮은 것에서 높은 순서로 나열한 것은? (단, 오른쪽으로 갈수록 탄소의 함량이 높다.)
- ① 전해철<연강<주철<경강
 - ② 전해철<연강<경강<주철
 - ③ 연강<전해철<경강<주철
 - ④ 연강<전해철<주철<경강
 
등록된 댓글이 없습니다.
10. 로크웰경도시험의 시험하중에 해당되지 않는 것은?
- ① 588.4N
 - ② 980.7N
 - ③ 1471N
 - ④ 1962N
 
등록된 댓글이 없습니다.
11. Cu-Zn계 상태도에서 α상의 격자구조는?
- ① 조밀육방격자
 - ② 체심입방격자
 - ③ 사방조밀격자
 - ④ 면심입방격자
 
등록된 댓글이 없습니다.
12. 다음 중 쾌삭강에서 쾌삭성을 향상시키는 원소와 가장 거리가 먼 것은?
- ① S
 - ② Se
 - ③ Cr
 - ④ Pb
 
ㅇㅇ2024. 2. 4. 13:05삭제
쾌삭강은 다듬질면이 양호하고 절삭저항이 작은점 등의 장점을 갖고 있다. 일반적으로 사용되고 있는 쾌삭강은 보통의 강과 같은 정도의 강도를 가지며 공구 수명은 베이스강의 2배이다.
쾌삭강에는 강의 조직속에 유황 또는 인의 함유량을 보통의 것보다도 증대한 것과 납을 함유한 것, 제강의 탈인공정에서의 탈산 생성물의 종류와 비율을 조정한 탈인조정 쾌삭강 등이 있다.
또한 주요 첨가원소명에 따라 셀레늄쾌삭강, 텔루륨쾌삭강, 칼슘쾌삭강, 비스무스쾌삭강, 지르코늄쾌삭강 등으로도 구분한다.
이중 황(S) 쾌삭강과 납(Pb) 쾌삭강이 많이 쓰이며, 특히 납 쾌삭강은 황 쾌삭강보다 가공성이 뛰어나 심가공이나 초정밀 부품의 소재로 사용돼왔다. 하지만 납 쾌삭강은 인체에 유해한 납 성분을 포함하고 있어 가공 과정에서 인체에 유입될 경우 몸속에 축적돼 심각한 부작용을 유발하고, 심지어는 생명을 위협하기도 한다.
이러한 납 성분의 유해성으로 인해 일부 일본 자동차사들은 2006년 이후 납 쾌삭강을 사용하지 않고 있으며, 신일본제철과 고베제강은 2008년부터 납 쾌삭강 생산을 중단했다.
때문에 최근에는 납의 환경공해 때문에 포스코는 친환경 제품에 대한 니즈를 충족시킬 수 있는 ´비스무스(Bi) 쾌삭강´을 세계 최초로 개발해 양산에 들어갔다.
비스무스 쾌삭강은 납 쾌삭강의 유해성을 완전히 배제하면서 가공성은 납 쾌삭강과 동일한 친환경적인 제품이다. 납 대신 사용된 비스무스는 위장약·음료·화장품 등을 만드는 데 쓰이는 성분으로 인체에 무해하다.
ㅇㅇ2024. 2. 4. 13:04삭제
일반적으로 재료는 강할수록 단단해지므로 절삭하기 어려워진다. 이 때문에 강한 재료일수록 절단·절삭해 목적에 맞는 형상으로 다듬질하기가 곤란하다.
이러한 결점을 보완하기 위해 성분 속에 황, 인 등의 양을 늘려 절삭성을 개량한 강을 쾌삭강이라고 한다. 즉, 고강도이면서 깎거나 자르기 쉬운 강철이란 뜻으로 원형 형태의 가늘고 긴 철강재인 선재제품의 한 종류다.
쾌삭강은 자동차 변속기 부품, TV본체와 디스플레이 장치를 고정시키는 조립용 부품, 볼트, 너트, 스크류, 유니버셜 조인트 발전기 등에 사용된다.
쾌삭강은 다듬질면이 양호하고 절삭저항이 작은점 등의 장점을 갖고 있다. 일반적으로 사용되고 있는 쾌삭강은 보통의 강과 같은 정도의 강도를 가지며 공구 수명은 베이스강의 2배이다.
쾌삭강에는 강의 조직속에 유황 또는 인의 함유량을 보통의 것보다도 증대한 것과 납을 함유한 것, 제강의 탈인공정에서의 탈산 생성물의 종류와 비율을 조정한 탈인조정 쾌삭강 등이 있다.
또한 주요 첨가원소명에 따라 셀레늄쾌삭강, 텔루륨쾌삭강, 칼슘쾌삭강, 비스무스쾌삭강, 지르코늄쾌삭강 등으로도 구분한다.
이중 황(S) 쾌삭강과 납(Pb) 쾌삭강이 많이 쓰이며, 특히 납 쾌삭강은 황 쾌삭강보다 가공성이 뛰어나 심가공이나 초정밀 부품의 소재로 사용돼왔다. 하지만 납 쾌삭강은 인체에 유해한 납 성분을 포함하고 있어 가공 과정에서 인체에 유입될 경우 몸속에 축적돼 심각한 부작용을 유발하고, 심지어는 생명을 위협하기도 한다.
이러한 납 성분의 유해성으로 인해 일부 일본 자동차사들은 2006년 이후 납 쾌삭강을 사용하지 않고 있으며, 신일본제철과 고베제강은 2008년부터 납 쾌삭강 생산을 중단했다.
때문에 최근에는 납의 환경공해 때문에 포스코는 친환경 제품에 대한 니즈를 충족시킬 수 있는 ´비스무스(Bi) 쾌삭강´을 세계 최초로 개발해 양산에 들어갔다.
비스무스 쾌삭강은 납 쾌삭강의 유해성을 완전히 배제하면서 가공성은 납 쾌삭강과 동일한 친환경적인 제품이다. 납 대신 사용된 비스무스는 
13. 실루민은 어느 계통의 합금인가?
- ① Al-Si계 합금
 - ② Fe-Si계 합금
 - ③ Cu-Si계 합금
 - ④ Ti-Si계 합금
 
등록된 댓글이 없습니다.
14. 은백색을 띠며 비중이 1.74로 실용금속 중 가장 가볍고 HCP 격자구조를 가지는 금속은?
- ① Cd
 - ② Cu
 - ③ Mg
 - ④ Zn
 
등록된 댓글이 없습니다.
15. 비금속 개재물 검사 분류 항목 중 그룹 B에 해당하는 것은?
- ① 황화물 종류
 - ② 규산염 종류
 - ③ 단일 구형 종류
 - ④ 알루민산염 종류
 
등록된 댓글이 없습니다.
16. 탄속상의 피복 아크 용접에서 기공 발생의 원인이 아닌 것은?
- ① 용접 분위기 내 수소의 과잉
 - ② 충분히 건조한 저수소계의 용접봉 사용
 - ③ 모재에 유황 함유량 과대와 용접부의 급랭
 - ④ 과대 전류를 사용하고 용접속도가 빠를 때
 
등록된 댓글이 없습니다.
17. 일반적인 플럭스 코어드 아크 용접의 특징으로 옳은 것은?
- ① 비드 외관이 거칠다.
 - ② 양호한 용착금속을 얻을 수 있다.
 - ③ 아크가 불안정하고 스패터가 많다.
 - ④ 용제에 탈산제, 아크 안정제 등이 포함되어 있지 않다.
 
등록된 댓글이 없습니다.
18. 다음 중 연납 땜과 경납 땜을 구분하는 온도는?
- ① 350℃
 - ② 400℃
 - ③ 450℃
 - ④ 500℃
 
등록된 댓글이 없습니다.
19. 피복 아크 용접시 발생되는 보호 가스의 성분 중 가장 많이 발생하는 가스는?
- ① CO
 - ② CO2
 - ③ H2
 - ④ H2O
 
등록된 댓글이 없습니다.
20. 아크 용접에서 용접일열 30000J/cm, 용접전압이 40V, 용접전류 125A일 때 용접속도는 몇 cm/min인가?
- ① 10
 - ② 20
 - ③ 30
 - ④ 40
 
등록된 댓글이 없습니다.
2과목 : 초음파탐상검사 원리
21. 직접접촉 수직탐촉자의 두께 측정방법이 아닌 것은?
- ① 일탐법
 - ② 다중에코법
 - ③ 분할형탐촉자
 - ④ 속도교정
 
등록된 댓글이 없습니다.
22. 수직탐상에서 결함이 근거리 음장 내에 있는 경우, 결함의 최대 에코높이가 얻어진 위치는 결함이 빔 중심에 위치하지 않는 경우도 있다. 이 경우의 대책으로 옳은 것은?
- ① 주파수를 높여 원거리음장에 있도록 한다.
 - ② 진동자의 직경을 작은 것으로 하여 원거리음장에 있도록 한다.
 - ③ 진동자의 직경을 큰 것으로 하여 원거리음장에 있도록 한다.
 - ④ 근거리음장에서의 탐상은 정확히 검출할 수 있으므로 빔중심에 위치하지 않는 경우는 없다.
 
등록된 댓글이 없습니다.
23. 초음파 두께 측정에 있어서 오차가 발생할 경우의 설명으로 가장 거리가 먼 것은?
- ① 음파의 진행속도가 시험하는 금속에 정해진 상수값에 비해 편차가 클 때
 - ② 보정용 탐촉자와 측정용 탐촉자가 서로 다를 때
 - ③ 보정시의 접촉매질과 측정 시의 접촉매질이 서로 다를 때
 - ④ 보정용 대비시편과 검사체의 재질이 서로 다를 때
 
등록된 댓글이 없습니다.
24. 직경 12mm, 2.5MHz인 탐촉자의 음속이 6km/s인 재질내에서 이 탐촉자의 근거리 음장은?
- ① 15.0mm
 - ② 1.5mm
 - ③ 12.5mm
 - ④ 1.25mm
 
등록된 댓글이 없습니다.
25. 알루미늄과 물의 경계면에서 초음파의 반사각은?
- ① 입사각의 2배이다.
 - ② 입사각의 4배에 가깝다.
 - ③ 입사각과 같다.
 - ④ 입사각의 1/2에 가깝다.
 
등록된 댓글이 없습니다.
26. 종파(Longitudinal Wave)에 대한 설명으로 틀린 것은?
- ① 압축파 또는 L파이다.
 - ② 입자의 진동양식이 파의 진행 방향과 평행하다.
 - ③ 액체나 기체에서는 전파하지 못한다.
 - ④ 횡파속도의 약 2배이다.
 
등록된 댓글이 없습니다.
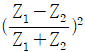
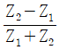
27. 탄소강(음향 임피던스 Z1)의 한 쪽에 스테인리스강(음향임피던스 Z2)을 클래딩(cladding)하였다. 탄소강측으로부터 2MHz로 수직탐상했을 때 경계면에서의 음압반사율은?
- ① 

 - ② 

 - ③ 

 - ④ 

 
등록된 댓글이 없습니다.
28. 결정립에 대한 초음파의 산란감쇠에서 파장(λ)와 결정입자(Ds)의 비가 λ/Ds≒1일 때의 산란은?
- ① Rayleigh 산란
 - ② Stochastic 산란
 - ③ 확산 산란
 - ④ 회절 산란
 
등록된 댓글이 없습니다.
29. 결함의 크기를 측정하는 방법 중 기준선(Threshold Value)법과 dB drop법을 비교하였을 때 장단점으로 틀린 것은?
- ① dB drop법은 전이손실이나 감쇠의 영향을 크게 받지 않는다.
 - ② dB drop법은 탐상자의 개인차로 짧은 결함이 길게 나타날 수 있다.
 - ③ Threshold Value법은 에코높이의 영향을 받지 않는다.
 - ④ Threshold Value법은 Reference Level로 피로에 의한 오류가 적다.
 
등록된 댓글이 없습니다.
30. 경사각탐상용 감도 조정 시험편으로는 STB-A2와 RB-4가 사용된다. STB-A2와 비교하여 RB-4의 특징이 아닌 것은?
- ① 후판에 적용된다.
 - ② 표면파의 방해가 없다.
 - ③ 사각탐상 이외에는 사용할 수 없다.
 - ④ 경험이 적은 검사원도 용이하게 탐상할 수 있다.
 
등록된 댓글이 없습니다.
31. 결함으로부터 최대에코를 검출한 후 최대에코의 높이가 좌우로 50% 낮아지는 탐촉자의 이동거리를 결함 길이로 평가하는 방법은?
- ① 6dB drop method
 - ② DAC드롭법(DAC drop)
 - ③ 최대진폭법(Maximum Amplitude drop)
 - ④ 비교측정법(Reference Method)
 
등록된 댓글이 없습니다.
32. 수직탐촉자를 사용할 경우 원거리 음장에서 빔 분산이 가장 적은 탐촉자는?
- ① 1.0 MHz - 직경 3/8인치 진동자
 - ② 5.0 MHz - 직경 1인치 진동자
 - ③ 2.25 MHz - 직경 1인치 진동자
 - ④ 5.0 MHz - 직경 3/8인치 진동자
 
등록된 댓글이 없습니다.
33. 동일 탐촉자로 표면에서 일정한 거리에 있는 3개의 결함을 탐상하니 초음파 탐상기의 CRT스크린 상에 각각 80% FSH(Full Screen Height), 50% FSH, 20% FSH 였다. 이 결함들의 면적비는? (단, 비례는 80% : 50% : 20% FSH 순 이다.)
- ① 1.8 : 1.5 : 1.2
 - ② 4.5 : 3.6 : 2.2
 - ③ 8 : 5 : 2
 - ④ 5 : 3 : 1
 
등록된 댓글이 없습니다.
34. 초음파탐상검사에서 큰 결함영역의 크기를 측정하는 경우의 옳은 설명은?
- ① dB drop법은 자동탐상에 이용하기 쉽다.
 - ② dB drop법은 전달손실의 영향을 받기 쉽다.
 - ③ dB drop법은 감쇠의 영향을 받기 쉽다.
 - ④ dB drop법은 결함 에코높이의 영향을 받기 쉽다.
 
등록된 댓글이 없습니다.
35. 다음 ()안에 알맞은 말은?

- ① 수축공
 - ② 열간균열
 - ③ 냉간균열
 - ④ 용융불량
 
등록된 댓글이 없습니다.
36. 동일한 두께의 2개 강판을 수직 탐상하였다. 하나는 저면반사가 많이 나타났지만 다른 하나는 몇 회만 나타났다. 다음 중 저면 에코가 적게 나타난 재료로 옳은 것은?
- ① 음속이 느린 재료
 - ② 결정립이 작은 재료
 - ③ 감쇠가 큰 재료
 - ④ 라미네이션이 있는 재료
 
등록된 댓글이 없습니다.
37. 초음파가 다른 매질의 경계에 어떤 각도로 입사할 때 제 2매질 내 음파의 진행방향을 정하는 굴절각은 무엇에 의해서 결정되는가?
- ① 초음파의 진동수
 - ② 초음파의 파장
 - ③ 초음파의 강도
 - ④ 초음파의 음속
 
등록된 댓글이 없습니다.
38. 초음파탐상검사에서 표면파로 검출할 수 있는 결함의 위치는?
- ① 표면 밑 1파장 정도의 깊이
 - ② 표면 밑 3파장 정도의 깊이
 - ③ 표면 밑 5파장 정도의 깊이
 - ④ 표면 밑 7파장 정도의 깊이
 
등록된 댓글이 없습니다.
39. 근거리 음장에서 신호의 진폭에 변화를 일으키는 이유는?
- ① 파의 간섭
 - ② 탐촉자의 내부 감쇠성질
 - ③ 접촉매질에서 생기는 부적당한 연결
 - ④ 진동자와 검사체와의 간섭
 
등록된 댓글이 없습니다.
40. 초음파탐상검사 시 원거리음장에서 빔분산각에 영향을 주는 주된 인자는?
- ① 탐상방법
 - ② 탐촉자의 밀착성
 - ③ 주파수 및 진동자의 크기
 - ④ 펄스의 길이 및 세기
 
등록된 댓글이 없습니다.
3과목 : 초음파탐상검사 시험
41. 탐촉자의 진동자 크기보다 작거나 동일한 크기의 기공과 융합불량이 같은 거리에 있다면 일반적으로 스크린상의 에코 높이는 어떻게 표시되는가? (단, 음파는 결함에 수직방향으로 입사된다.)
- ① 기공의 에코가 융합불량 에코보다 높다.
 - ② 융합불량의 에코가 기공 에코보다 높다.
 - ③ 기공 에코와 융합불량 에코가 똑같이 나타난다.
 - ④ 융합불량 에코는 나타나지만 기공 에코는 나타나지 않는다.
 
등록된 댓글이 없습니다.
42. 초음파 탐상검사에서 탐상방향을 선정하는 경우 기본적으로 고려해야할 사항으로 틀린 것은?
- ① 발생이 우려되는 결함의 위치 및 방향을 예측한다.
 - ② 결함에 초음파가 반사되는 면이 수직이 되는 면을 탐상면으로 한다.
 - ③ 검사 대상 부위 전체가 포함되도록 주사범위를 결정한다.
 - ④ 횡파사각 탐촉자를 사용하는 경우 굴절각이 40°이상 70° 이하의 범위에서 결함을 수직에 가까운 방향으로부터 겨냥할 수 있는 굴절각을 선정한다.
 
등록된 댓글이 없습니다.
43. 2진동자 탐촉자에 관한 설명으로 옳은 것은?
- ① 진동자가 송신용과 수신용 2개로 분리되어 있기 때문에 불감대가 길다.
 - ② 2개 진동자의 빔 각도가 경사져 있기 때문에 특정의 탐상영역(교축점 부근)이외에서는 결함의 검출감도가 낮게 된다.
 - ③ 탐상면에 수직한 결함의 검출에 가장 적합하다.
 - ④ 저면에코 높이를 결함에코 높이의 평가기준으로 사용한다.
 
등록된 댓글이 없습니다.
44. 매질 1에서 입사각이 15°로 초음파가 경사입사할 때 매질 2에서의 굴절각은 얼마인가? (단, 매질 1의 음향임피던스는 6kg/m2s, 밀도는 3g/cm3, 매질 2의 음향임피던스는 8kg/m2s, 밀도는 4g/cm3이다.)
- ① 14°
 - ② 15°
 - ③ 16°
 - ④ 17°
 
bergie2024. 2. 24. 13:42삭제
음향임피던스 = 속도 x 밀도
속도 구한 뒤 스넬의 법칙 적용하여 계산
ㅇㅇ2024. 2. 5. 13:46삭제
음파속도는 매질의 밀도에 비례하고
매질의 저항(임피던스)에 반비례한다
45. 초음파 탐상검사에서 결함의 크기를 측정할 때 정확성을 기하기 위해 고려하여야 할 사항으로 틀린 것은?
- ① 결함의 특성
 - ② 시험체의 곡률
 - ③ 시험체의 용도
 - ④ 탐촉자 접근 한계성
 
등록된 댓글이 없습니다.
46. 초음파탐상기의 중요한 3가지 기본 성능으로 옳은 것은?
- ① 증폭의 직선성, 빔, 폭, 최대감도
 - ② 증폭의 직선성, 분해능, 시간축의 직선성
 - ③ 증폭의 직선성, 분해능, 집속범위
 - ④ 주파수, 굴절각, 불감대
 
등록된 댓글이 없습니다.
47. 같은 크기의 결함이 시험체내에 있는 경우 초음파탐상시험으로 가장 발견되기 쉬운 결함은?
- ① 구형의 결함
 - ② 다른 원소의 개재물
 - ③ 초음파의 진행 방향에 평행으로 있는 결함
 - ④ 초음파의 진행 방향에 직각으로 넓게 있는 결함
 
등록된 댓글이 없습니다.
48. 시험체를 탐촉자 5Z20N을 사용하여 초음파검사를 하였더니 임상에코가 많이 나타나서 검사가 불가능하였다. 검사를 진행하기 위하여 교체하기에 가장 적절한 탐촉자는?
- ① 10Q10N
 - ② 5Q20N
 - ③ 2Z20N
 - ④ 5Z10N
 
등록된 댓글이 없습니다.
49. 강 용접부 내부 융합부에 존재하는 불연속을 검출하는데 가장 일반적인 초음파탐상검사는?
- ① 판파를 이용한 수침법으로 시험
 - ② 판파를 이용한 수직접촉법으로 시험
 - ③ 횡파를 이용한 전목수침법으로 시험
 - ④ 횡파를 이용한 경사각탐상법으로 시험
 
등록된 댓글이 없습니다.
50. 아래 그림에 나타낸 STB-A3 시험편의 ㉠위치와 ㉡위치의 측정한 치수(mm)를 순서대로 나타낸 것은?

- ① 35, 40
 - ② 45.5, 50
 - ③ 48, 65.5
 - ④ 100, 100
 
등록된 댓글이 없습니다.
51. 펄스반사식 초음파탐상법에서 평판 맞대기 용접부 내부에 원형 기공이 1개 존재한다면 경사각탐촉자의 주사방법에 따른 에코의 변화로 옳은 것은?
- ① 전자주사 시 에코의 높이가 거의 변하지 않는다.
 - ② 목돌림주사 시 에코의 높이가 거의 변하지 않는다.
 - ③ 전후조사 시 에코의 높이가 거의 변하지 않는다.
 - ④ 좌우주사 시 에코의 높이가 거의 변하지 않는다.
 
등록된 댓글이 없습니다.
52. 탐촉자 2개로 송ㆍ수신(Pitch-catch)하여 결함을 탐상하는 방법으로 아래 그림과 같이 탐촉자를 배열하여 검사하는 방법은?

- ① 탠덤탐상법
 - ② V반사탐상법
 - ③ K반사탐상법
 - ④ 표면파탐상법
 
등록된 댓글이 없습니다.
53. 수침 공진법을 이용하여 초음파탐상검사를 할 때 설명으로 옳은 것은?
- ① 시편의 공진을 감지하여 두께를 결정한다.
 - ② 수중 진로의 공진 진폭 변화를 감지하여 두께를 결정한다.
 - ③ 시편을 통과한 공진 초음파의 감쇠현상을 감지하여 두께를 결정한다.
 - ④ 수중 진로의 음향 임피던스 변화를 감지하여 두께를 결정한다.
 
등록된 댓글이 없습니다.
54. 수침법에서 초음파가 14°의 각도로 강재에 입사되었다면 강재 내에서 횡파의 굴절각은? (단, 강의 횡파속도는 3200m/sec이고 물의 횡파속도는 1500m/sec이다.)
- ① 2.5°
 - ② 1.5°
 - ③ 6.5°
 - ④ 8.5°
 
등록된 댓글이 없습니다.
55. X형 개선의 용접부에 발생하는 결함 중 내부용입불량은 방향성 때문에 검출하기 어려운 결함으로 검출하기에 가장 적절한 방법은?
- ① 수침법
 - ② 탠덤탐상법
 - ③ 표면파법
 - ④ 정사각탐상법
 
등록된 댓글이 없습니다.
56. 경사각탐상을 할 때 용접 덧붙임을 제거한 상태에서 용접부의 가로터짐(횡균열) 등의 결함을 검출하기 위하여 용접부 및 열 영향부 위에 놓고 초음파 빔을 용접선 방향으로 돌려 용접선 방향으로 이동시키는 주사법은?
- ① 경사평행주사
 - ② 탠덤 주사
 - ③ 진자 주사
 - ④ 목돌림 주사
 
등록된 댓글이 없습니다.
57. 초음파탐상검사를 할 때 시험주차수를 선정할 때 고려사항으로 옳은 것은?
- ① 주파수를 낮추는 것이 결함검출 능력을 높이는데 유효하다.
 - ② 결정립이 조대한 재료를 검사할 경우 높은 주파수를 선택한다.
 - ③ 면 모양의 결함탐상 시 필요 이상으로 높은 수파수의 적용은 피하는 것이 좋다.
 - ④ 결함의 위치결정의 정밀도를 높이기 위해 낮은 주파수를 사용한다.
 
등록된 댓글이 없습니다.
58. STB-A1 표준시험편으로 초음파 탐촉자의 굴절각을 측정한 결과 45°이었다. 이 탐촉자로 알루미늄에 대한 굴절각을 측정하면 약 얼마인가?
- ① 43°
 - ② 45°
 - ③ 48°
 - ④ 50°
 
등록된 댓글이 없습니다.
59. 재질이 다른 동일 두께의 판재 2장을 각각 수직탐상 하였다. 전자는 저면 에코의 반사 횟수가 매우 많은데 비해 후자는 몇 회 정도만 보였다. 후자와 같은 재료는 어느 것에 해당되는가?
- ① 감쇠가 큰 재료이다.
 - ② 결정입자가 미세한 재료이다.
 - ③ 전자는 주강품이고, 후자는 단강품이다.
 - ④ 전자는 결함이 존재하나 후자는 결함이 존재하지 않는다.
 
등록된 댓글이 없습니다.
60. 표준시험편인 STB-A1의 용도를 설명한 것으로 틀린 것은?
- ① 경사각탐촉자의 측정범위의 조정
 - ② 경사각탐촉자의 입사점 측정
 - ③ 경사각탐촉자의 굴절각 측정
 - ④ 경사각탐촉자의 원거리 분해능 측정
 
등록된 댓글이 없습니다.
4과목 : 초음파탐상검사 규격
61. 보일러 및 압력용기에 대한 표준초음파탐상검사(ASME Sec.V, Art.23 SB-548)에서 권장하는 탐촉자에 대한 설명과 가장 거리가 먼 것은?
- ① 평면 비집속형이다.
 - ② 정격주파수에서 종파를 발신하고 수신하는 압전수정을 내장한 것이다.
 - ③ 초기 주사에 사용하는 탐촉자 내의 수정 또는 수정 집합체의 총 유효면적은 2.5cm2이하여야 한다.
 - ④ 불연속부 치수를 평가하기 위해 사용하는 원형 탐촉자의 유효지름은 19mm를 초과하지 않아야 한다.
 
등록된 댓글이 없습니다.
62. 강 용접부의 초음파 탐상 시험방법(KS B 0896)에서 탐촉자의 이동 거리에 추정한 흠의 겉보기 길이를 나타내는 것은?
- ① 경함의 공칭 길이
 - ② 접촉자 흡 거리
 - ③ 흠의 지시 길이
 - ④ DAC 흠 길이
 
등록된 댓글이 없습니다.
63. 강 용접부의 초음파 탐상 시험방법(KS B 0896)에 따른 다음 표를 이용하여 제시된 결함지시 등급은?

- ① 1류
 - ② 2류
 - ③ 3류
 - ④ 4류
 
등록된 댓글이 없습니다.
64. 아크용접 강관의 초음파탐상검사 방법(KS D 0252)에서 자동참상에 의한 탐상방법의 설명으로 틀린 것은?
- ① 접촉매질은 통상 물로 한다.
 - ② 탐상은 원칙적으로 용접선의 양쪽에서 한다.
 - ③ 탐상은 수침법 또는 직접 접촉법으로 한다.
 - ④ 탐촉자와 용접부의 거리는 통상 5스킵 이상으로 한다.
 
등록된 댓글이 없습니다.
65. 강 용접부의 초음파 탐상 시험방법(KS B 0896)에서 접촉자 흠 거리가 나타내는 의미는?
- ① 경사각 탐촉자의 입사점에서 흠까지의 탐상면 위에서의 거리
 - ② 경사각 탐촉자의 입사점에서 흠까지의 탐상면 우측에서의 거리
 - ③ 경사각 탐촉자의 입사점에서 흠까지의 탐상면 좌측에서의 거리
 - ④ 경사각 탐촉자의 입사점에서 흠까지 초음파가 시험체 내를 진행한 거리
 
등록된 댓글이 없습니다.
66. 보일러 및 압력용기에 대한 표준초음파탐상검사(ASME Sec.V, Art.4)에서 아날로그 장치의 직선성 점검은 얼마의 기간을 초과하지 않는 범위에서 하여야 하는가?
- ① 2주일
 - ② 3개월
 - ③ 1년
 - ④ 3년
 
등록된 댓글이 없습니다.
67. 보일러 및 압력용기에 대한 표준초음파탐상검사(ASME Sec.V, Art.4)에 의한 용접부 탐상 시 교정 확인 중 감도 설정이 그 진폭의 2dB 또는 몇 % 이상 변할 때 감도를 수정하고 재시험을 해야 하는가?
- ① 10%
 - ② 20%
 - ③ 15%
 - ④ 25%
 
등록된 댓글이 없습니다.
68. 강 용접부의 초음파 탐상 시험방법(KS B 0896)에 따른 음향 이방성 검정을 위한 횡파 음속비 측정에 사용할 수 있는 탐촉자는?
- ① 횡파 전자 초음파 탐촉자
 - ② 45°경사각 탐촉자
 - ③ 60°경사각 탐촉자
 - ④ 70°경사각 탐촉자
 
등록된 댓글이 없습니다.
69. 압력용기용 강판의 초읍파 탐상검사(KS D 0233)에서 수직법에 의한 펄스반사법으로 탐상하고자 할 때 단일 진동자 수직 탐촉자로 검사할 대상이 아닌 강판의 두께는?
- ① 10mm
 - ② 20mm
 - ③ 30mm
 - ④ 60mm
 
등록된 댓글이 없습니다.
70. 압력용기 제작기준 규격 강제 부록(ASME Code Sev.Ⅷ Div.1 App.12)에 따라 초음파탐상 결과를 판정하고자 할 때 결함의 길이에 관계없이 불합격 처리되는 결함은?
- ① 융합불량
 - ② 기공
 - ③ 슬래그
 - ④ 블로우홀
 
등록된 댓글이 없습니다.
71. 보일러 및 압력용기에 대한 표준초음파탐상검사(ASME Sec.V, Art.23 SB-548)에 따른 표준방법 중 진동자 수정체의 실제 지름이 10mm일 때 주사 간격(mm)은?
- ① 12
 - ② 17
 - ③ 22
 - ④ 27
 
등록된 댓글이 없습니다.
72. 탄소강 및 저합금강 단강품의 초음파탐상시험방법(KS D 0248)에 따른 탐상방식에 관한 설명으로 옳지 않은 것은?
- ① 흠의 평가를 흠 에코 높이로 평가하는 경우, 밑면 에코 방식으로 탐상하였다.
 - ② 흠의 평가를 흠 에코 높이로 평가하는 경우, 시험편 방식으로 탐상하였다.
 - ③ 흠의 평가를 밑면 에코의 저하량으로 평가하는 경우, 밑면 에코 방식으로 탐상하였다.
 - ④ 흠의 평가를 밑면 에코의 저하량으로 평가하는 경우, 시험편 방식으로 탐상하였다.
 
등록된 댓글이 없습니다.
73. 아크용접 강관의 초음파탐상검사 방법(KS D 0252)에서 각 흠 N-10 및 N-12.5 호칭방법에 대한 설명으로 옳은 것은?
- ① 두께 10mm 이하의 강관에는 적용하지 않는다.
 - ② 두께 12mm 이하의 강관에는 적용하지 않는다.
 - ③ 나비는 1.5mm 이하로 한다.
 - ④ 두께 15mm 이하의 강관에 적용하지 않는다.
 
등록된 댓글이 없습니다.
74. 보일러 및 압력용기에 대한 표준초음파탐상검사(ASME Sec.V, Art.4)에 따른 탐상장비의 요건에 대한 설명으로 옳은 것은?
- ① 장비는 적어도 6~15MHz 사이의 주파수에서 작동할 수 있어야 한다.
 - ② 장비는 2.0dB 이하의 단계로 조절할 수 있는 게인 조절기를 갖추어야 한다.
 - ③ 장비가 댐핑조절기를 갖추고 있다면 검사감도의 저하 시 댐핑조절기를 사용한다.
 - ④ 리젝트 조절기는 검사의 선형성에 영향을 주므로 항상 "on"위치에 놓아야 한다.
 
등록된 댓글이 없습니다.
75. 초음파 탐상시험용 표준시험편(kS B 0831)에 의해 A3형계 STB 표준시험편으로 점검할 때 합격여부 판정 기준에 포함되지 않는 것은?
- ① 굴절각 눈금
 - ② 입사점 측정위치
 - ③ R 100면의 에코 높이
 - ④ ø4×4mm 구멍의 에코 높이
 
등록된 댓글이 없습니다.
76. 초음파 펄스 반사법에 의한 두께 측정방법(KS B 0536)에 다른 다점측정법에서 하나의 측정점을 기준으로 할 때 원의 지름은 얼마인가?
- ① 30mm
 - ② 40mm
 - ③ 50mm
 - ④ 60mm
 
등록된 댓글이 없습니다.
77. 금속재료의 펄스반사법에 따른 초음파탐상 시험방법 통칙(KS B 0817)에서 탐상도형의 기본 기호에 대한 내용으로 틀린 것은?
- ① T : 송신펄스
 - ② S : 표면에코
 - ③ B : 흠집에코
 - ④ W : 측면에코
 
새한2025. 2. 17. 19:06삭제
해설 오류입니다 
해설 답을 4번으로 했는데 채점 정답인 3번이 맞습니다
78. 보일러 및 압력용기에 대한 표준초음파탐상검사(ASME Sec.V, Art.5)에 따른 교정시험편의 요건을 설명한 것으로 옳은 것은?
- ① 주조품 교정시험편은 검사할 주조품 두께의 ±15% 이어야 한다.
 - ② 볼트용 재료 교정시험편은 경사각빔 검사에 사용되어야 한다.
 - ③ 볼트용 재료 교정시험편은 볼트, 스터드 볼트 등의 재료에 사용할 수 있다.
 - ④ 관제품 교정시험편의 교정 반사체는 횡방향(길이방향) 노치이어야 한다.
 
등록된 댓글이 없습니다.
79. 다음 중 ()안에 들어갈 용어가 적절히 나열된 것은?

- ① ㉠ 평행 ㉡ 원형
 - ② ㉠ 직교 ㉡ 원형
 - ③ ㉠ 평행 ㉡ 장방형
 - ④ ㉠ 직교 ㉡ 장방형
 
등록된 댓글이 없습니다.
80. 보일러 및 압력용기에 대한 표준초음파탐상검사(ASME Sec.V, Art.23 SB-548)에서 알루미늄 합금판을 수침법으로 검사할 때 탐촉자와 시험체 사이의 거리허용변동 범위는?
- ① ±25.4mm
 - ② ±8.5mm
 - ③ ±6.4mm
 - ④ ±3.2mm
 
등록된 댓글이 없습니다.