초음파비파괴검사산업기사(2016. 8. 21.) 시험일자 : 2016년 8월 21일
1과목 : 비파괴검사 개론
1. 결함검출을 위한 비파괴검사에 대해 기술한 것으로 옳은 것은?
- ① 초음파탐상검사는 내부결함의 종류나 형상의 판별 성능이 우수하지만 라미네이션이나 경사가 있는 균열의 검출은 곤란하다.
- ② 와전류탐상검사는 표면과 표면직하의 결함을 검출할 수 있으며 강자성체에만 적용할 수 있다.
- ③ 침투탐상검사는 표면의 개구결함에만 적용가능하고 비금속 재료에도 적용할수 있다.
- ④ 자분탐상검사는 시험체의 탐상이 비접촉인 동시에 고속으로 하기 때문에 봉의 자동탐상에 적용 가능하다.
등록된 댓글이 없습니다.
2. 다음 중 비파괴 검사법에 대한 설명으로 틀린 것은?
- ① 내부 결함의 검출에 적당한 방법은 방사선 투과시험과 초음파탐상시험이다.
- ② 초음파탐상시험에서는 초음파의 진행방향에 평행한 방향의 결함을 검출하기 쉽다.
- ③ 표층부 결함의 검출에는 자분탐상시험과 와전류탐상시험이 적당하다.
- ④ 용접부의 기공을 검출하기에 가장 좋은 시험법은 방사선투과시험이다.
등록된 댓글이 없습니다.
3. 극간법으로 자분탐상할 때의 내용으로 틀린 것은?
- ① 모든 방향의 결함을 검출하기 위해서는 90도 방향으로 바꾸어 2회 이상 탐상한다.
- ② 자력선은 폐곡선이므로 자극간의 간격에 관계없이 자계의 분포는 일정하다.
- ③ 철심의 단면적이 클수록 휴대하기가 불편하다.
- ④ 자석의 자화능력은 철심의 재료와 전류의 크기에 따라 달라진다.
등록된 댓글이 없습니다.
4. 시험체와 시험체 주위의 압력차를 이용하여 수행하는 비파괴검사법은?
- ① 누설검사
- ② X선 회절법
- ③ 중성자투과검사
- ④ 와전류탐상검사
등록된 댓글이 없습니다.
5. 보수검사에서 볼 수 있는 결함이 아닌 것은?
- ① 피로 균열
- ② 응력부식 균열
- ③ 캐비테이션 부식
- ④ 라멜라티어(테어)
등록된 댓글이 없습니다.
6. 냉간가공 후의 성질변화에 대한 설명으로 틀린 것은?
- ① 가공하면 경화한다.
- ② 가공하면 밀도가 감소한다.
- ③ 가공하면 항복강도가 감소한다.
- ④ 가공에 의하여 전기저항은 증가한다.
등록된 댓글이 없습니다.
7. 배위수가 12, 충진율이 74%, FCC구조를 이루고 있는 금속원소는?
- ① Cd
- ② Ba
- ③ Ag
- ④ Co
등록된 댓글이 없습니다.
8. Fe-C 평형상태도에서 나타나지 않는 반응은?
- ① 포정반응
- ② 공정반응
- ③ 편정반응
- ④ 공석반응
등록된 댓글이 없습니다.
9. 다음 중 실루민(silumin) 합금이란?
- ① Ag - Sn 계
- ② Cu - Fe 계
- ③ Mn - Mg 계
- ④ Al - Si 계
등록된 댓글이 없습니다.
10. 순철에 대한 설명 중 틀린 것은?
- ① α-철은 BBC의 원자배열을 가지며, 910℃ 이하에서 안정하다.
- ② γ-철은 FCC의 원자배열을 가지며, 910~1400℃에서 안정하다.
- ③ δ-철은 BCC의 원자배열을 가지며, 1400~1539℃에서 안정하다.
- ④ γ-철에서 δ-철로 변화할 때 급격히 수축하며, 4개의 동소 변태가 있다.
등록된 댓글이 없습니다.
11. 스프링강은 급격한 진동을 완화하고 에너지를 축척하는 기계요소로 사용된다. 탄성 한도를 높이고 피로 강도를 높이기 위하여 어떤 조직이어야 하는가?
- ① 소르바이트 조직
- ② 마텐자이트 조직
- ③ 페라이트 조직
- ④ 시멘타이트 조직
등록된 댓글이 없습니다.
12. Cu - Be 합금(베릴륨 동)에 대한 설명으로 틀린 것은?
- ① 동합금 중 강도와 경도가 최대이다.
- ② Be의 첨가량은 약 10~15%정도이다.
- ③ 석출경화성 합금으로 용체화처리가 필요하다.
- ④ 전도율이 좋으므로 고도전성 재료로 활용한다.
등록된 댓글이 없습니다.
13. 구상흑연주철에 대한 설명으로 틀린 것은?
- ① 용해로 중의 용해과정에서 탈황된다.
- ② 불스 아이(bull's eye) 조직을 갖는다.
- ③ 흑연구상화제로 Mg을 많이 사용한다.
- ④ 구상화 처리 후 용융상태로 방치하면 흑연 구상화 효과가 상승된다.
등록된 댓글이 없습니다.
14. 초소성 재료의 성형기술 중 PSF(super plastic forming)/(diffusion bonding) 방법을 옳게 성명한 것은?
- ① 가스압력으로 성형 후 고체상태에서 용접하고 확산 접합하는 초성형 기술이다.
- ② 판상의 알루미늄 및 티타늄계 초소형 재료를 가스 압력으로 형상을 양각 음각화 하는 가스 성형법이다.
- ③ 재료를 오목한 형상의 틀에 단조법으로 밀어 넣어 양각화 하는 것과 유사한 초성형 기술이다.
- ④ 용해된 금속을 제트형식으로 급회전하는 롤러나 냉금에 분사시켜 리본 형태로 제조되는 성형법이다.
등록된 댓글이 없습니다.
15. 어떤 응력 아래에서 파단에 이르기까지 수백%이상의 큰 연신율을 나타내는 재료는?
- ① 초탄성 합금
- ② 초소성 합금
- ③ 초전도 재료
- ④ 형상기억 합금
등록된 댓글이 없습니다.
16. 다음 용접이음부 실제 형상 중 맞대기 이음은?
- ①

- ②

- ③

- ④

등록된 댓글이 없습니다.
17. TIG용접에 사용되는 적극의 조건으로 틀린 것은?
- ① 고용융점의 금속
- ② 열전도성이 좋은 금속
- ③ 전기 저항률이 많은 금속
- ④ 전자 방출이 잘되는 금속
등록된 댓글이 없습니다.
18. 다음 보기와 같은 특성을 갖는 교류아크 용접기로 가장 접합한 것은?

- ① 탭 전환형
- ② 가동 철심형
- ③ 가동 코일형
- ④ 가포화 리액터형
등록된 댓글이 없습니다.
19. 피복 아크 용접봉 선택 시 고려할 사항으로 가장 거리가 먼 것은?
- ① 용접성
- ② 자동성
- ③ 작업성
- ④ 경제성
등록된 댓글이 없습니다.
20. AW 200인 교류 아크 용접기의 무부하 전압이 70V이고, 부하전압이 25V일 때 용접기의 효율은 약 몇 %인가? (단, 아크 용접기의 내부 손실은 4kW이다.)
- ① 55.5
- ② 68.4
- ③ 78.4
- ④ 88.8
등록된 댓글이 없습니다.
2과목 : 초음파탐상검사 원리 및 규격
21. 탐촉자에 대한 다음 설명으로 옳은 것은?
- ① 경사각 탐촉자는 쐐기의 온도가 변해도 굴절각이 변하지 않도록 제작되어 있다.
- ② 탐촉자의 댐퍼는 분해능을 좋게 하는 기능도 한다.
- ③ 경사각 탐촉자의 진동자는 횡파만을 발생시킨다.
- ④ 가변각 탐촉자는 횡파만을 발생시킬 수 있다.
등록된 댓글이 없습니다.
22. 진동자의 크기가 동일할 경우, 주파수를 증가시켰을 때 예상되는 결과는?
- ① 파장이 커진다
- ② 빔의 분산각이 커진다
- ③ 분해능이 저하한다
- ④ 근거리 음장이 증가한다.
등록된 댓글이 없습니다.
23. 초음파탐상시험에서 결함의 검출이 어떤 영역에서 정량적 평가가 가장 좋은가?
- ① 불감대
- ② 근거리 음장
- ③ 원거리 음장
- ④ 고주파수대
등록된 댓글이 없습니다.
24. 다음 중 투과법으로 초음파탐상시험을 할 때 송신 및 수신용 탐촉자의 선정으로 가장 좋은 조합은?
- ① 송신 : 티탄산바륨, 수신 : 황산리튬
- ② 송신 : 황산리튬, 수신 : 티탄산바륨
- ③ 송신 : 수정, 수신 : 황산리튬
- ④ 송신 : 황산리튬, 수신 : 수정
등록된 댓글이 없습니다.
25. 다음 중 초음파 탐촉자의 내부 구성요소에 해당되지 않는 것은?
- ① 진동자
- ② 쐐기(Wedge)
- ③ 흡음자
- ④ 범퍼(Bumper)
등록된 댓글이 없습니다.
26. 수침법에서 물에 침윤제(Wetting agent)를 첨가하는 가장 주된 이유는?
- ① 탐촉자의 부식방지를 위하여
- ② 초음파 빔의 강도를 높이기 위하여
- ③ 물에 기포가 형성되는 것을 방지하기 위하여
- ④ 불연속부 에코와 저면에코의 구별을 쉽게 하기 위하여
등록된 댓글이 없습니다.
27. 수정을 사용하여 진동자를 만들 때 종파의 발생을 목적으로 결정면을 자른 것을 무엇이라 하는가?
- ① x-cut 결정
- ② y-cut 결정
- ③ z-cut 결정
- ④ 결정방향에 상관없음
등록된 댓글이 없습니다.
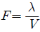
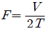
28. 기본공진 주파수[F]의 결정식은? (단, V : 속도, T : 두께, λ : 파장, K는 상수이다.)
- ①

- ②

- ③

- ④ F=λV
등록된 댓글이 없습니다.
29. 산란감쇠계수 0.006(dB/mm)인 500mm 강재를 수식탐상하여 저면에코가 40%로 확인되었다면 감쇠를 보정한 실제의 저면 에코높이는 약 얼마인가? (단, 반사손실을 무시한다.)
- ① 20%
- ② 40%
- ③ 80%
- ④ 100%
등록된 댓글이 없습니다.
30. 수동이나 자동으로 탐상면을 따라 움직이는 탐촉자의 이동을 무엇이라 하는가?
- ① 주사
- ② 감쇠
- ③ 각도변형
- ④ 공진
등록된 댓글이 없습니다.
31. 건축용 강판 및 평강의 초음파탐상시험에 따른 등급분류와 판정기준(KS D 0040)에서 규정한 결함분류 중 틀린 것은?
- ① 수직탐촉자 : 50%< F ≤100% : 표시기호 △
- ② 수직탐촉자 : B1 ≤50% : 표시기호 X
- ③ 2진동자 수직탐촉자 : DM선을 초과한 것 : 표시기호 X
- ④ 2진동자 수직탐촉자 : DL선 초과 DM선 이하
등록된 댓글이 없습니다.
32. 강용접부의 초음파탐상 시험방법(KS B 0896)에서 경사각탐촉자의 접근한계길이를 정하고 있다. 진동자의 공칭치수가 10x10mm, 공칭 굴절각이 45˚ 일 때 접근 한계길이는 몇 mm인가?
- ① 15
- ② 18
- ③ 20
- ④ 25
등록된 댓글이 없습니다.
33. 초음파탐상장치의 성능 측정방법(KS B 0534)에서 분해능 시험편으로 사용하지 않는 것은?
- ① RB-RA
- ② RB-RB
- ③ RB-RC
- ④ RB-RE
등록된 댓글이 없습니다.
34. 강용접부의 초음파탐상 시험방법(KS B 0896)에 의한 원둘레이음 용접부 곡률 반지름 50~150mm를 검사하기 위한 대비시험편으로 옳은 것은?
- ① RB-A2
- ② RB-A5
- ③ RB-A6
- ④ RB-A9
등록된 댓글이 없습니다.
35. 보일러 및 압력용기의 재료에 대한 초음파탐상검사(ASME Sec.V Art5)에 의해 주조품을 수직빔으로 시험하는 경우 주조품의 전면과 후면간의 각이 몇 도를 초과하면 추가로 경사각빔 시험을 수행해야 하는가?
- ① 5˚
- ② 10˚
- ③ 15˚
- ④ 20˚
등록된 댓글이 없습니다.
36. 보일러 및 압력용기에 대한 표준초음파탐상검사 (ASME Sec.V Art23 SA-388)에 의거 오스테나이트계 스테인리스강의 단강품을 검사하고자 한다. 장비의 주파수는 어떻게 규정하고 있는가?
- ① 0.4MHz 이하의 주파수에서 시험할 수 있는 성능을 갖추어야 한다.
- ② 2.25MHz 이하의 주파수에서 시험할 수 있는 성능을 갖추어야 한다.
- ③ 4MHz 이상의 주파수에서 시험할 수 있는 성능을 갖추어야 한다.
- ④ 5MHz 이상의 주파수에서 시험할 수 있는 성능을 갖추어야 한다.
등록된 댓글이 없습니다.
37. 강용접부의 초음파탐상 시험방법(KS B 0896)에서 규정하는 경사각탐상에서 에코높이 구분선에 의한 Ⅱ영역이 의미하는 것은?
- ① L선 이하
- ② L선 초과 M선 이하
- ③ M선 초과 H선 이하
- ④ H선 초과
등록된 댓글이 없습니다.
38. 압력용기용 강판의 초음파탐상 검사방법(KS B 0233)에서 X 주사결함의 분류 중 중간에 해당하는 것은?
- ① DL선을 넘고 DM선 이하
- ② DM선을 넘고 DH선 이하
- ③ DH선을 넘는 것
- ④ DC선을 넘고 DL선 이하
등록된 댓글이 없습니다.
39. 강용접부의 초음파탐상 시험방법(KS B 0896)에 따른 초음파 탐상기의 필요한 기능으로 틀린 것은?
- ① 탐상기는 1 탐촉자법, 2 탐촉자법 중 어느 것이나 사용할 수 있는 것으로 한다.
- ② 탐상기는 적어도 2MHz 및 5MHz의 주파수로 동작하는 것으로 한다
- ③ 게인 조정기는 1스텝 2dB 이하에서, 합계 조정량은 40dB 이상 가진 것으로 한다.
- ④ 게이트 범위는 10~250mm(횡파)의 범위에서 경보 레벨은 표시기의 세로축 눈금 위 20~80%의 범위에서 임의로 설정 할 수 있어야 한다.
등록된 댓글이 없습니다.
40. 보일러 및 압력용기에 대한 표준초음파탐상검사(ASME Sec.V Art23 SA388)에 따라 저면반사법으로 수직탐상 중에 재교정을 실시하였더니 게인(gain)레벨이 15% 증가하였다. 어떤 조치를 취하여야 하는가?
- ① 재교정 전에 실시한 부분은 재검사 한다.
- ② 재교정전에 실시한 부분 중 홈으로 기록된 부분만 재평가 한다.
- ③ 기준보다 높은 레벨이므로 재교정 전에 실시한 부분은 재검사하지 않는다.
- ④ 감독관과 협의한다.
등록된 댓글이 없습니다.
3과목 : 초음파탐상검사 시험
41. 펄스반사식 초음파 탐상기를 사용하여 시간축의 측정범위조정, 시간축 직전성의 점검, 수직탐촉자의 분해능 점검, 경사각탐촉자의 입사점 및 굴절각 측정 등에 사용되는 표준시험편은?
- ① STB-A1
- ② STB-A2
- ③ STB-G
- ④ STB-N1
등록된 댓글이 없습니다.
42. 물질 내의 음파속도와 밀도의 곱은 초음파에너지의 투과량과 반사량의 결정에 중요하게 작용하는데, 이를 무엇이라하는가?
- ① 음향임피던스
- ② 분산각
- ③ 감쇠
- ④ 음압
등록된 댓글이 없습니다.
43. 전자주사형 초음파탐상기에 사용되는 배열형(Array) 탐촉자의 주된 특징에 대한 설명으로 틀린 것은?
- ① 고속 자동탐상에 적합하다.
- ② 거리 및 분해능이 우수하다.
- ③ 복합재료 등에서의 미소결함 검출에 적합하다.
- ④ 음향집속은 음향렌즈에 의한다.
등록된 댓글이 없습니다.
44. 전자음향탐촉자(electro-magnetic acoustic transducer : EMAT)에 관한 설명으로 틀린 것은?
- ① 비접촉식 탐촉자로 접촉매질은 필요 없으나 시험체와의 거리에 따라 감도가 달라진다.
- ② 압전 진동자를 이용하는 탐촉자에 비하여 음향변환효율이 뛰어나 탐상감도가 높다.
- ③ 금속표면에 발생된 와전류와 자계와의 사이에 일어나는 상호작용으로 초음파를 송신 또는 수신한다.
- ④ 코일과 자석을 다양하게 조합함으로써 여러종류의 초음파 모드를 발생시킬 수 있다.
등록된 댓글이 없습니다.
45. 경사각탐상에서 스위프지연 조정장치의 사용 목적은?
- ① 음극선관 스크린에 얻어지는 진폭의 조정
- ② 음극선관 영상의 파형 조정
- ③ 음극선관 영상의 영점 조정
- ④ 음극선관 스크린의 감도 여유값 조정
등록된 댓글이 없습니다.
46. 어떤 강재를 주파수 5MHz에서 2.25MHz로 바꾸어 탐상하였다. 이 경우 음속 및 파장은 어떻게 되는가?
- ① 파장은 변화하지 않고 음속은 늦어진다.
- ② 파장은 길어지나 음속은 변하지 않는다.
- ③ 파장은 변화하지 않고 음속은 빨라진다.
- ④ 파장은 짧아지나 음속은 변하지 않는다.
등록된 댓글이 없습니다.
47. 진동자 설계 시 다음 중 최대의 감도를 갖는 경우는?
- ① 펄스폭이 크고 댐핑상수가 작아야 한다.
- ② 펄스폭이 작고 댐핑상수가 커야 한다.
- ③ Q값과 대역폭이 작아야 한다.
- ④ Q값은 작고 대역폭은 커야 한다.
등록된 댓글이 없습니다.
48. 초음파 탐상장치의 시간축을 100mm로 거리 보정하고 DAC 회로를 이용하여 거리진폭특성곡선을 그렸다. 다른 것은 조정하지 않고 200mm로 거리 보정하면 거리진폭특성곡선은 어떻게 되는가?
- ① 거리 보정한 것보다 기울기가 커진다.
- ② 거리 보정한 것보다 기울기가 작아진다.
- ③ 거리 보정한 것에 비해 기울기의 변화가 없다.
- ④ 거리 보정한 것보다 기울기가 커졌다 작아졌다 한다.
등록된 댓글이 없습니다.
49. 비접촉식 방법 중 EMAT법의 설명으로 옳은 것은?
- ① 레이저를 시험체에 부딪혀 초음파를 발생시킨다.
- ② 진동자의 전면에 1/4파장 두께의 음향접합층을 붙인다.
- ③ 전자력에 의해 초음파를 발생시키고 센서코일로 수신한다.
- ④ 와전류를 발생시키는 것과 같은 검출코일과 수신코일이 있다.
등록된 댓글이 없습니다.
50. DGS선도에 관한 다음 설명 중 틀린 것은?
- ① DGS선도는 거리, 증폭 및 크기를 나타내는 머리글자들의 조합이다.
- ② DGS선도는 횡축을 증폭, 종축을 결함의 크기로 한 거리를 나타낸 선도이다.
- ③ DGS선도는 결함을 STB-G와 같은 원형평면결함으로 환산하여 평가할 때 이용한다.
- ④ DGS선도는 다른 용어로 AVG선도라고도 한다.
등록된 댓글이 없습니다.
51. 초음파탐상검사를 할 때 분해능의 설명으로 옳은 것은?
- ① 불연속의 크기를 결정하는 능력
- ② 반사파의 에코를 증폭시키는 능력
- ③ 함께 인접해 있는 두 반사파의 에코를 식별하는 능력
- ④ 부드러운 물질의 단면 중심에 불연속을 검출하는 능력
등록된 댓글이 없습니다.
52. 탐상면의 표면거칠기에 영향을 가장 많이 받는 초음파탐상 검사법은?
- ① 수침법
- ② EMAT법
- ③ 레이저-초음파법
- ④ 직접접촉법
등록된 댓글이 없습니다.
53. 용접부 검사에 대한 초음파탐상시험의 내용에 대한 설명으로 옳은 것은?
- ① 용접부 검사에 수직탐상법은 사용하지 않는다.
- ② 용접부 검사를 위한 경사각 탐상에서는 반드시 탐촉자를 한 개만 사용한다.
- ③ 용접부 검사에는 탬덤주사를 사용할 수 없다.
- ④ 용접부 검사에는 여러 가지 주사방법을 병행하여 가능한한 결함 검출이 누락되지 않도록 한다.
등록된 댓글이 없습니다.
54. 초음파탐상검사 방법의 선정 시 고려하지 않아도 되는 것은?
- ① 검사품의 용도
- ② 검사품의 색채
- ③ 적용하는 규격
- ④ 결함의 특성
등록된 댓글이 없습니다.
55. 감도조정에 관한 다음 설명 중 옳은 것은?
- ① 저면에코 방식에 의한 감도조정은 감쇠가 적은 시험체에만 적용할 수 있다.
- ② 저면에코 방식에 의한 감도조정은 시험체의 탐상면과 저면이 평행하지 않으면 적용할 수 없다.
- ③ 저면에코 방식에 의한 감도조정은 감쇠가 현저한 시험체일 때 결함을 과소평가할 우려가 있다.
- ④ 저면에코 방식에 의한 감도조정은 감도조정용의 STB 또는 RB가 반드시 필요하다.
등록된 댓글이 없습니다.
56. 다음 그림은 탐촉자의 무엇을 측정하는 것인가?

- ① 거리
- ② 감도
- ③ 입사점
- ④ 분해능
등록된 댓글이 없습니다.
57. 다음 중 용접부의 초음파탐상시험 시 결함의 종류 판별에 가장 영향이 먼 인자는?
- ① 결함의 형상
- ② 결함의 위치
- ③ 반사파의 크기
- ④ 시험체의 밀도
등록된 댓글이 없습니다.
58. STB-A1의 반경 100mm의 사분원 중심에 경사각 탐촉자의 입사점을 맞추고 이 때 발생된 1차 저면 지시파와 2차 저면 지시파를 CRT눈금판의 눈금 2와 4에 맞추어 놓았다면 이때 전체의 스크린은 몇 mm로 교정되는가? (단, CRT 눈금판은 전체가 10등분으로 되어 있다.)
- ① 200mm
- ② 400mm
- ③ 500mm
- ④ 800mm
등록된 댓글이 없습니다.
59. 두께 2인치인 알루미늄 시험편을 수침법으로 검사하는 개략적인 그림과 스크린 상에 지시치가 나타난 도형을 이용하여 지시 A와 B사이의 거리를 옳게 나타낸 것은?

- ① 시험편 전면에서 저면 사이의 거리
- ② 시험편 전면에서 불연속 사이의 거리
- ③ 탐촉자에서 시험편 저면 사이의 거리
- ④ 탐촉자에서 시험편 전면 사이의 물거리
등록된 댓글이 없습니다.
60. 두 개의 탐촉자를 이용한 송·수신(pitch-catch)법으로 결함을 탐지하는 방법 중에서 그림과 같이 탐촉자를 배열하여 검사하는 방법은?

- ① 텐덤탐상법
- ② V반사탐상법
- ③ K반사탐상법
- ④ 표면파탐상법
등록된 댓글이 없습니다.