측량및지형공간정보산업기사(2019. 4. 27.) 시험일자 : 2019년 4월 27일
1과목 : 응용측량
1. 노선측량의 도로기점에서 곡선시점까지의 거리가 1312.5m, 접선길이가 176.4m, 곡선길이가 320m라면 도로기점에서 곡선종점까지의 거리는?
- ① 1488.9m
- ② 1560.7m
- ③ 1591.5m
- ④ 1632.5m
등록된 댓글이 없습니다.
2. 그림과 같이 두 직선의 교점에 장애물이 있어 C, D 측점에서 방향각(α, β, Υ)을 관측하였다. 교각(I)는? (단, α=228°30‘, β=82°00’, Υ=136°30')

- ① 54°30‘
- ② 88°00‘
- ③ 92°00‘
- ④ 146°30‘
등록된 댓글이 없습니다.
3. 편각법에 의한 단곡선의 설치에 있어서 그림과 같이 호의 길이 10m를 현의 길이 10m로 간주하는 경우, δ1과 δ2의 차이는 얼마인가? (단, 단곡선의 반지름(R)은 120m이다.)

- ① 약 1“
- ② 약 5“
- ③ 약 10“
- ④ 약 15“
등록된 댓글이 없습니다.
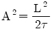
4. 클로소이드 공식 사이의 관계가 틀린 것은? (단, R:곡률반지름, L:완화곡선길이, τ:접선각, A:매개변수);
- ① RㆍL=A2
- ②

- ③

- ④

등록된 댓글이 없습니다.
5. 완화곡선에 대한 설명으로 옳지 않은 것은?
- ① 모든 클로소이드는 닮은꼴이며 클로소이드 요소는 길이의 단위를 가진 것과 단위가 없는 것이 있다.
- ② 클로소이드의 형식은 S형, 복합형, 기본형 등이 있다.
- ③ 완화곡선의 반지름은 시점에서 무한대, 종점에서 원곡선의 반지름으로 된다.
- ④ 완화곡선의 접선은 시점에서 원호에, 종점에서 직선에 접한다.
등록된 댓글이 없습니다.
6. 터널측량에서 지표면상의 좌표와 터널 안의 좌표를 같게 하기 위한 측량은?
- ① 터널 내ㆍ외 연결측량
- ② 터널 내 좌표측량
- ③ 지하수준측량
- ④ 지상측량
등록된 댓글이 없습니다.
7. 하천의 유량관측 방법에 대한 설명으로 틀린 것은?
- ① 수로내에 둑을 설치하고, 사방댐의 월류량 공식을 이용하여 유량을 구할 수 있다.
- ② 수위유량곡선을 만들어서 필요한 수위에 대한 유량을 그래프 상에서 구할 수 있다.
- ③ 직류부로서 흐름이 일정하고, 하상경사가 일정한 곳을 택해 관측하는 것이 좋다.
- ④ 수위의 변화에 의해 하천 횡단면 형상이 급변하는 곳을 택하여 관측하는 것이 좋다.
등록된 댓글이 없습니다.
8. 터널의 시점(A)과 종점(B)을 결정하기 위하여 폐합다각측량을 한 결과 두 점의 좌표가 표와 같다. A에서 굴착하여야 할 터널 중심선의 방위각은?

- ① 53°7‘48“
- ② 143°7‘48“
- ③ 233°7‘48“
- ④ 323°7‘48“
등록된 댓글이 없습니다.
9. 단곡선에서 곡선반지름이 100m, 곡선길이가 117.809m일 때 교각은?
- ① 1°10‘41“
- ② 11°46‘51“
- ③ 67°29‘58“
- ④ 70°41‘7“
등록된 댓글이 없습니다.
10. 종ㆍ횡단 고저측량에 의하여 얻어진 각측점의 단면적에 의하여 작성되는 유토곡선의 성질에 대한 설명으로 옳지 않은 것은?
- ① 유토곡선의 하향 구간은 성토구간이고 상향구간은 절토구간이다.
- ② 곡선의 저점은 절토에서 성토로, 정점은 성토에서 절토로 바뀌는 점이다.
- ③ 곡선과 평행선(기선)이 교차하는 점에서는 절토량과 성토량이 거의 같다.
- ④ 절토와 성토의 평균운반거리는 유토곡선 토량의 1/2점간의 거리로 한다.
등록된 댓글이 없습니다.
11. 그림과 같은 도형의 면적은?

- ① 235.3m2
- ② 238.6m2
- ③ 255.3m2
- ④ 258.3m2
등록된 댓글이 없습니다.
12. 하천의 평균유속 측정법 중 2점법에 대한 설명으로 옳은 것은?
- ① 수면과 수저의 유속을 측정 후 평균한다.
- ② 수명으로부터 수심의 40%, 60% 지점의 유속을 측정 후 평균한다.
- ③ 수명으로부터 수심의 20%, 80% 지점의 유속을 측정 후 평균한다.
- ④ 수명으로부터 수심의 10%, 90% 지점의 유속을 측정 후 평균한다.
등록된 댓글이 없습니다.
13. 수위표(양수표)에 대한 설명으로 틀린 것은?
- ① 수위표의 영위는 최저수위보다 하위에 있어야 한다.
- ② 수위표 눈금의 최고위는 최대 홍수위보다 높아야 한다.
- ③ 수위표의 표고는 그 하천 하류부의 가장 낮은 곳을 높이의 기준으로 정한다.
- ④ 홍수 후에는 부근 수준점과 연결하여 그 표고를 확인해야 한다.
등록된 댓글이 없습니다.
14. 곡선에 둘러싸인 부분의 면적을 계산할 때 이용되는 방법으로 적합하지 않은 것은?
- ① 모눈종이(grid)법
- ② 구적기에 의한 방법
- ③ 좌표에 의한 계산법
- ④ 횡선(strip)법
등록된 댓글이 없습니다.
15. 거리관측의 정확도를 1/M로 관측하여 토지의 면적을 계산하였다면 면적의 정확도는 약 얼마인가?
- ① 1/√M
- ② 1/M
- ③ 2/M
- ④ 1/M2
등록된 댓글이 없습니다.
16. 그림과 같은 경우에 심프슨 제1법칙에 의한 면적을 구하는 식으로 옳은 것은?

- ①

- ②

- ③

- ④

등록된 댓글이 없습니다.
17. 각과 위치에 의한 경관도의 정량화에서 시설물의 한 점을 시준할 때 시준선과 시설물 축선이 이루는 각(α)은 크기에 따라 입체감에 변화를 주는데 다음 중 입체감있게 계획이 잘된 경관을 얻을 수 있는 범위로 가장 적합한 것은?
- ① 10°<α≤30°
- ② 30°<α≤50°
- ③ 40°<α≤60°
- ④ 50°<α≤70°
등록된 댓글이 없습니다.
18. 해안선측량은 해면이 약최고고조면에 달하였을 때 육지와 해면과의 경계를 결정하기 위한 측량방법을 말하는데 다음 중 해안선측량 방법에 해당하는 것은?
- ① 천부지층탐사
- ② GPS측량
- ③ 수중촬영
- ④ 해저면영상조사
등록된 댓글이 없습니다.
19. 그림은 택지조성지역의 표고값을 표시하고 있다. 이 지역의 토공량(v)과 토공량의 균형을 맞추기 위한 계획고(h)는? (단, 표고의 단위는 m이고, 분할된 각 면적은 동일하다.)

- ① V=6225m3, h=4.15m
- ② V=10365m3, h=4.15m
- ③ V=6225m3, h=6.91m
- ④ V=10365m3, h=6.91m
등록된 댓글이 없습니다.
20. 측면주사음량탐지기(Side Scan Sonar)를 이용한 해저면영상조사에서 탐지할 수 없는 것은?
- ① 수중의 암초
- ② 노출암
- ③ 해저케이블
- ④ 바다에 침몰한 선박
등록된 댓글이 없습니다.
2과목 : 사진측량 및 원격탐사
21. 원격탐사 시스템에서 시스템 자체특성이나 지구자전 및 곡률에 의해 나타나는 내부기하오차로 센서특징과 천문력 자료의 분석을 통해 때때로 보정될 수 있는 영상 내 기하왜곡이 아닌 것은?
- ① 지구자전효과에 의한 흼현상
- ② 탐재체의 고도와 자세 변화
- ③ 스캐닝 시스템에 의한 접선반향 축척 왜곡
- ④ 스캐닝 시스템에 의한 지상해상도 셀 크기의 변화
등록된 댓글이 없습니다.
22. 항공사진측량에 의하여 제작된 수치지도의 위치정확도에 영향을 주는 요소와 가장 거리가 먼 것은?
- ① 사진의 축척
- ② 도화기의 정확도
- ③ 지도 레이어의 개수
- ④ 지상기준점의 정확도
등록된 댓글이 없습니다.
23. 항공사진을 이용한 지형도 제작 단계를 크기 3단계로 구분할 때 작업 순서로 옳은 것은?
- ① 촬영→기준점측량→세부도화
- ② 세부도화→촬영→기준점측량
- ③ 세부도화→기준점측량→촬영
- ④ 촬영→세부도화→기준점측량
등록된 댓글이 없습니다.
24. 사진좌표계를 결정하는데 필요하지 않은 사항은?
- ① 사진지표
- ② 좌표변환식
- ③ 주점의 좌표
- ④ 연직점의 좌표
등록된 댓글이 없습니다.
25. 영상지도 제작에 사용되는 가장 적합한 영상은?
- ① 경사 영상
- ② 파노라믹 영상
- ③ 정사 영상
- ④ 지상 영상
등록된 댓글이 없습니다.
26. 레이저 스캐너와 GPS/INS로 구성되어 수치표고모델(DEM)을 제작하기에 용이한 측량시스템은?
- ① LIDAR
- ② RADAR
- ③ SAR
- ④ SLAR
등록된 댓글이 없습니다.
27. 시차차에 관한 설명 중 옳지 않은 것은?
- ① 시차차의 크기는 촬영고도에 반비례한다.
- ② 시차차의 크기는 초점거리에 비례한다.
- ③ 시차차의 크기는 사진축척의 분모수에 반비례한다.
- ④ 시차차의 크기는 촬영기선장에 비례한다.
등록된 댓글이 없습니다.
28. 원격탐사 시스템에서 90°의 총 시야각과 10000m의 고도를 가진 스캐닝 시스템의 지상 관측폭은?
- ① 10000m
- ② 20000m
- ③ 30000m
- ④ 40000m
등록된 댓글이 없습니다.
29. 절대(대지)표정과 관계가 있는 것은?
- ① 표고결정, 시차측정
- ② 축척결정, 위치결정
- ③ 표정점 측량, 내부표정
- ④ 시차측량, 방위결정
등록된 댓글이 없습니다.
30. 다음 중 우리나라가 운영하고 있는 인공위성은?
- ① IKONOS
- ② KOMPSAT
- ③ KVR
- ④ LANDSAT
등록된 댓글이 없습니다.
31. 평지를 촬영고도 1500m로 촬영한 연직사진이 있다. 이 밀착사진상에 있는 건물 상단과 하단 간의 시차차를 관측한 결과 1mm였다면 이 건물의 높이는? (단, 사진기의 초점거리는 15cm, 사진의 크기는 23cm×23cm, 종중복도 60%이다.)
- ① 10m
- ② 12.3m
- ③ 15m
- ④ 16.3m
등록된 댓글이 없습니다.
32. 사진측량용 카메라의 렌즈와 일반 카메라의 렌즈를 비교한 것으로 옳지 않은 것은?
- ① 사진측량용 카메라 렌즈의 초점거리가 짧다.
- ② 사진측량용 카메라 렌즈의 수차(distortion)가 작다.
- ③ 사진측량용 카메라 렌즈의 해상력과 선명도가 좋다.
- ④ 사진측량용 카메라 렌즈의 화각이 크다.
등록된 댓글이 없습니다.
33. 초점거리 150mm, 사진크기 23cm×23cm의 항공사진기로 종중복도 70%, 횡중복도 40%로 촬영하면 기선고도비는?
- ① 0.46
- ② 0.61
- ③ 0.92
- ④ 1.07
등록된 댓글이 없습니다.
34. 축척 1:20000의 항공사진으로 면적 1000km2의 지역을 종중복도 60%, 횡중복도 30%로 촬영하려고 할 경우 필요한 사진매수는? (단, 사진의 크기는 23cm×23cm로 매수의 안전을 30%로 가정한다.)
- ① 170매
- ② 190매
- ③ 220매
- ④ 250매
등록된 댓글이 없습니다.
35. 각각의 입체모형을 단위로 접합점과 기준점을 이용하여 여러 입체모형의 좌표들을 조정법에 의한 절대좌표로 환산하는 방법은?
- ① Aeropolygon법
- ② Independent Model법
- ③ Bundle Adjustment법
- ④ Block Adjustment법
등록된 댓글이 없습니다.
36. 원격탐사에 대한 설명으로 옳지 않은 것은?
- ① 자료수집장비로는 수동적 센서와 능동적 센서가 있으며 Laser 거리관측기는 수동적 센서로 분류된다.
- ② 원격탐사 자료는 물체의 반사 또는 방사의 스펙트럴 특성에 의존한다.
- ③ 자료의 양은 대단히 많으며 불필요한 자료가 포함되어 있을 수 있다.
- ④ 탐측된 자료가 즉시 이용될 수 있으며 재해 및 환경문제 해결에 편리하다.
등록된 댓글이 없습니다.
37. 해석적 내부표정에서의 주된 작업내용은?
- ① 3차원 가상 좌표를 계산하는 작업
- ② 표고결정 및 경사를 결정하는 작업
- ③ 1개의 통일된 블록좌표계로 변환하는 작업
- ④ 관측된 상좌표로부터 사진좌표로 변화하는 작업
등록된 댓글이 없습니다.
38. 항공사진의 촬영에 대한 설명으로 옳지 않은 것은?
- ① 같은 사진기를 이용하여 촬영할 경우, 촬영고도와 촬영면적은 반비례한다.
- ② 같은 사진기를 이용하여 촬영할 경우, 촬영고도와 촬영축척은 반비례한다.
- ③ 같은 사진기를 이용하여 촬영할 경우, 촬영고도와 촬영되는 폭은 비례한다.
- ④ 같은 사진기를 이용하여 촬영할 경우, 촬영고도를 2배로 하면 사진매수는 1/4로 줄어든다.
등록된 댓글이 없습니다.
39. 원격탐사 자료처리 중 기하학적 보정에 해당되는 것은?
- ① 영상대조비 개선
- ② 영상의 밝기 조절
- ③ 화소의 노이즈 제거
- ④ 지표기복에 의한 왜곡 제거
등록된 댓글이 없습니다.
40. 다음 중 항공사진을 재촬영하여야 할 경우가 아닌 것은?
- ① 인접한 사진의 축척이 현저한 차이가 있을 때
- ② 인접코스간의 종복도가 표고의 최고점에서 3% 정도일 때
- ③ 항공기의 고도가 계획 촬영고도의 3%정도 벗어날 때
- ④ 구름이 사진에 나타날 때
등록된 댓글이 없습니다.
3과목 : GIS 및 GPS
41. 객체지향 용어인 다형성(polymorphism)에 대한 설명으로 틀린 것은?
- ① 여러 개의 형태를 가진다는 의미의 그리스어에서 유래되었따.
- ② 동일한 이름의 함수를 여러 개 만드는 기업인 오버로딩(overloading)도 다형성의 형태이다.
- ③ 동일한 객체내의 또 다른 인터페이스를 통해서 사용자가 원하는 매소드와 프로퍼티에 접근하는 것을 뜻한다.
- ④ 여러 개의 서로 다른 클래스가 동일한 이름의 인터페이스를 지원하는 것도 다형성이다.
등록된 댓글이 없습니다.
42. A점에 대한 GMSS 관측결과로 타원체고가 123.456m, 지오이드고가 +23.456m이었다면 지오이드면에서 A점까지의 높이는?
- ① 76.544m
- ② 100.000m
- ③ 146.912m
- ④ 170.368m
등록된 댓글이 없습니다.
43. 지리정보시스템(GIS)의 기능과 가장 거리가 먼 것은?
- ① 공간자료의 정보화
- ② 자료의 시공간적 분석
- ③ 의사결정 지원
- ④ 공간정보의 보안 강화
등록된 댓글이 없습니다.
44. 태양폭풍 영향으로 GNSS 위성신호의 전파에 교란을 발생시키는 대기충은?
- ① 전리층
- ② 대류권
- ③ 열군
- ④ 권계면
등록된 댓글이 없습니다.
45. 쿼드 트리(quadtree)는 한 공간을 몇 개의 자식노드로 분할하는가?
- ① 2
- ② 4
- ③ 8
- ④ 16
등록된 댓글이 없습니다.
46. 지리정보시스템(GIS)과 관련된 용어의 설명으로 옳지 않은 것은?
- ① 위치정보는 지물 및 대상물의 위치에 대한 정보로서 위치는 절대위치(실제공간)와 상대위치(모형공간)가 있다.
- ② 도형정보는 지형ㆍ지물 또는 대상물의 위치에 대한 자료로서, 지도 또는 그림으로 표현되는 경우가 많다.
- ③ 영상정보는 항공사진, 인공위성영상, 비디오 및 각종 영상의 수치 처리에 의해 취득된 정보이다.
- ④ 속성정보는 대상물의 자연, 인문, 사회, 행정, 경제, 환경적 특성을 도형으로 나타내는 지도정보로서 지형공간적 분석은 불가능한 단점이 있다.
등록된 댓글이 없습니다.
47. 위성의 배치에 따른 정확도의 영향을 DOP에 대한 설명으로 틀린 것은?
- ① PDOP:위치 정밀도 저하율
- ② HDOP:수평위치 정밀도 저하율
- ③ VDOP:수직위치 정밀도 저하율
- ④ TDOP:기하학적 정밀도 저하율
등록된 댓글이 없습니다.
48. 지리정보시스템(GIS)의 공간데이터 중 래스터자료 형태로 짝지어진 것은?
- ① GPD측량결과, 항공사진
- ② 항공사진, 위성영상
- ③ 수치지도, 항공사진
- ④ 수치지도, 위성영상
등록된 댓글이 없습니다.
49. 2개 이상의 실측값을 이용하여 그 사이에 있는 임의의 위치에 있는 지점의 값을 추정하는 방법으로, 표고점을 이용한 등고선의 구축이나 몇 개 지점의 온도자료를 이용한 대상지 전체 온도 지도 작성 등에 활용되는 공간정보 분석 방법은?
- ① 보간법
- ② 버퍼링
- ③ 중력모델
- ④ 일반화
등록된 댓글이 없습니다.
50. 국가 위성기준점을 활용하여 실시간으로 높은 정확도의 3차원 위치를 결정할 수 있는 측량방법은?
- ① Static GPS측량
- ② DGPS측량
- ③ VRS측량
- ④ VLBI측량
등록된 댓글이 없습니다.
51. 지리정보시스템(GIS)의 구축 시 실 세계의 참값과 구축된 시스템의 값을 비교ㆍ분석하기 위하여 시스템에서 추출한 속성값과 현장검사에 의한 속성의 참값을 행렬로 나타낸 것으로 데이터의 속성에 대한 정확도를 평가하는데 매우 효과적인 것은?
- ① 오차행렬(error matrix)
- ② 카파행렬(kappa matrix)
- ③ 표본행렬(sample matrix)
- ④ 검증행렬(verifying matrix)
등록된 댓글이 없습니다.
52. 다음 정보 중 메타데이터의 항목이 아닌 것은?
- ① 자료의 정확도
- ② 토지의 식생정보
- ③ 사용된 지도투영법
- ④ 지도의 지리적 범위
등록된 댓글이 없습니다.
53. 지형공간정보체계의 자료구조 중 벡터형 자료구조의 특징이 아닌 것은?
- ① 복잡한 지형의 묘사가 원활하다.
- ② 그래픽의 정확도가 높다.
- ③ 그래픽과 관련된 속성정보의 추출 및 일반화, 갱신 등이 용이하다.
- ④ 데이터베이스 구조가 단순하다.
등록된 댓글이 없습니다.
54. 아래의 관측값의 경중평균중심은 얼마인가? (단, 좌표=x, y)

- ① (2.2, 3.2)
- ② (2.4, 3.2)
- ③ (1.6, 1.8)
- ④ (1.3, 1.6)
등록된 댓글이 없습니다.
55. 지리정보시스템(GIS)의 자료입력용 하드웨어가 아닌 것은?
- ① 스캐너
- ② 플로터
- ③ 디지타이저
- ④ 해석도화기
등록된 댓글이 없습니다.
56. 디지타이저를 이용한 수치지도의 입력과정에서 발생 가능한 오차의 유형으로 거리가 먼 것은?
- ① 기계적 오류로 인해 실선이 파선으로 디지타이징 되는 변질오차
- ② 온도나 습도 변화로 인한 종이지도의 신축으로 발생하는 위치오차
- ③ 입력자의 실수로 인해 발생하는 Overshooting이나 Undershooting
- ④ 작업중 디지타이저 상의 종이지도를 탈부착할 경우 발생하는 위치오차
등록된 댓글이 없습니다.
57. 지리정보시스템(GIS)에서 사용되는 관계형 데이터베이스 모형의 특징에 해당되지 않는 것은?
- ① 정보를 추출하기 위한 질의의 형태에 제한이 없다.
- ② 모형 구성이 단순하고 이해가 빠르다.
- ③ 테이블의 구성이 자유롭다.
- ④ 테이블의 수가 상대적으로 적어 저장용량을 상대적으로 적게 차지한다.
등록된 댓글이 없습니다.
58. 공공시설물이나 대규모의 공장, 관로망 등에 대한 지도 및 도면 등 제반정보를 수치입력하여 시설물에 대한 효율적인 운영관리를 하는 종합적인 관리체계를 무엇이라 하는가?
- ① CAD/CAM
- ② AM(Automatic Mapping)
- ③ FM(Facility Management)
- ④ SIS(Surveying Information System)
등록된 댓글이 없습니다.
59. 동일한 경계를 갖는 두 개의 다각형을 중첩하였을 때 입력오차 등에 의하여 완전중첩되지 않고 속성이 결여된 다각형이 발생하는 경우가 있다. 이를 무엇이라 하는가?
- ① Margin
- ② Undershoot
- ③ Sliver
- ④ Overshoot
등록된 댓글이 없습니다.
60. 각 기관에서 생산한 수치지도를 어느 곳에 집중하여, 인터넷으로 검색ㆍ구입할 수 이쓴 곳을 무어이라고 하는가?
- ① 공간자료 정보센터(spatial data clearinghouse)
- ② 공간자료 데이터베이스(spatial database)
- ③ 공간 기준계(spatial reference system)
- ④ 데이터베이스 관리시스템(database management system)
등록된 댓글이 없습니다.
4과목 : 측량학
61. 갑, 을, 병 3사람이 기선측량을 한 결과 다음과 같은 결과를 얻었다면 최확값은?

- ① 100.521m
- ② 100.524m
- ③ 100.526m
- ④ 100.531m
등록된 댓글이 없습니다.
62. 광파거리측량기(EDM)을 사용하여 두 점간의 거리를 관측한 결과 1234.56m이었다. 관측시의 대기굴절률이 1.000310이었다면 기상보정후의 거리는? (단, 기계에서 채용한 표준대기굴절률은 1.000325이다.)
- ① 1234.54m
- ② 1234.56m
- ③ 1234.58m
- ④ 1234.60m
등록된 댓글이 없습니다.
63. 평면직각좌표가 (x1, y1)인 P1을 기준으로 관측한 P2의 극좌표(S, T)가 다음과 같을 때 P2의 평면직각좌표는? (단, x축은 북, y축은 동, T는 x축으로부터 우회로 측정한 각이다.)

- ① x2=-39.8m, y2=556.2m
- ② x2=-194.7m, y2=789.5m
- ③ x2=-274.3m, y2=1901.9m
- ④ x2=-429.2m, y2=2135.2m
등록된 댓글이 없습니다.
64. 1회 관측에서 ±3mm의 우연오차가 발생하였을 때 20회 관측시 우연오차는?
- ① ±6.7mm
- ② ±13.4mm
- ③ ±34.6mm
- ④ ±60.0mm
등록된 댓글이 없습니다.
65. 축척 1:3000의 지형도를 만들기 위해 같은 도면크기의 축척 1:500의 지형도를 이용한다면 1:3000 지형도의 1도면에 필요한 1:500 지형도는?
- ① 36매
- ② 25매
- ③ 12매
- ④ 6매
등록된 댓글이 없습니다.
66. 지반고 145.25m의 A지점에 토털스테이션을 기계고 1.25m 높이로 세워 B지점을 시준하여 사거리 172.30m, 타겟높이 1.65m, 연직각 -20°11‘을 얻었다면 B지점의 지반고는?
- ① 71.33m
- ② 85.40m
- ③ 217.97m
- ④ 221.67m
등록된 댓글이 없습니다.
67. 기설치된 삼각점을 이용하여 삼각측량을 할 경우 작업순서로 가장 적합한 것은?

- ① 가→다→나→바→마→라
- ② 가→나→다→마→바→라
- ③ 가→나→바→마→다→라
- ④ 가→다→나→마→바→라
등록된 댓글이 없습니다.
68. 삼각측량에서 그림과 같은 사변형망의 각조건식 수는?

- ① 1개
- ② 2개
- ③ 3개
- ④ 4개
등록된 댓글이 없습니다.
69. 어느 폐합 트래버스의 전체 관측선의 길이가 1200m일 때 폐압비는 1/6000으로 한다면 축척 1:500의 도면에서 허용되는 최대오차는?
- ① ±0.2mm
- ② ±0.4mm
- ③ ±0.8mm
- ④ ±1.0mm
등록된 댓글이 없습니다.
70. 방위가 N32°38'05"인 츠선인 역방위각은?
- ① 32°38‘05“
- ② 57°21‘55
- ③ 147°21'55“
- ④ 212°38' 05“
등록된 댓글이 없습니다.
71. 삼각수준측량에서 지구가 구면이기 때문에 생기는 오차의 보정량은? (단, D:수평거리, R:지구 반지름)
- ①

- ②

- ③

- ④

등록된 댓글이 없습니다.
72. 축척 1:2500 지형도에서 표고 105m와 348m사이에 주고선 간격의 등고선의 수는?
- ① 50개
- ② 49개
- ③ 25개
- ④ 24개
등록된 댓글이 없습니다.
73. 각 측량의 기계적 오차 중 망원경의 정ㆍ반위치에서 측정값을 평균해도 소거되지 않는 오차는?
- ① 연직축 오차
- ② 시준축 오차
- ③ 수평축 오차
- ④ 편심 오차
등록된 댓글이 없습니다.
74. 오차 방향과 크기를 산출하여 소거할 수 있는 오차는?
- ① 우연오차
- ② 착오
- ③ 개인오차
- ④ 정오차
등록된 댓글이 없습니다.
75. 무단으로 측량성과 또는 측량기록을 복제한 자에 대한 벌칙 기준으로 옳은 것은?
- ① 3년 이하의 징역 또는 3천만원 이하의 벌금
- ② 2년 이하의 징역 또는 2천만원 이하의 벌금
- ③ 1년 이하의 징역 또는 1천만원 이하의 벌금
- ④ 300만원 이하의 과태요
등록된 댓글이 없습니다.
76. 측량기기의 성능검사 주로 옳은 것은?
- ① 레벨:3년
- ② 트랜싯 1년
- ③ 거리측정기:4년
- ④ 토털스테이션:2년
등록된 댓글이 없습니다.
77. 공공측량에 관한 공공측량 작업계획서를 작성하여야 하는 자는?
- ① 측량협회
- ② 측량업자
- ③ 공공측량시행자
- ④ 국토지리정보원장
등록된 댓글이 없습니다.
78. 모든 측량의 기초가 되는 공간정보를 제공하기 위하여 국토교통부장관이 실시하는 측량은?
- ① 국가측량
- ② 기본측량
- ③ 기초측량
- ④ 공공측량
등록된 댓글이 없습니다.
79. 측량기준점에 대한 설명 중 옳지 않은 것은?
- ① 측량기준점은 국가기준점, 공공기준점, 지적기준점으로 구분된다.
- ② 국토교통부장관은 필요하다고 인정하는 경우에는 직접 측량기준점표지의 현황을 조사할 수 있다.
- ③ 측량기준점표지의 형상, 규격, 관리방법 등에 필요한 사항은 대통령령으로 정한다.
- ④ 측량기준점을 정한 자는 측량기준점표지를 설치하고 관리하여야 한다.
등록된 댓글이 없습니다.
80. 기본측량의 측량성과 고시에 포함되어야 하는 사항이 아닌 것은?
- ① 측량의 종류
- ② 측량성과의 보관장소
- ③ 설치한 측량기준점의 수
- ④ 사용측량기기의 종류 및 성능
등록된 댓글이 없습니다.