9급 지방직 공무원 기계설계(2018. 5. 19.) 시험일자 : 2018년 5월 19일
1. 1줄 겹치기 리벳이음을 한 두께 10mm인 판재가 있다. 리벳 구멍지름 20mm, 리벳이음 피치 50mm일 때, 인장력을 받고 있는 판재의 효율[%]은?
- ① 20
- ② 40
- ③ 60
- ④ 80
등록된 댓글이 없습니다.
2. 롤러체인을 이용하여 동력을 전달하고자 한다. 구동 스프로킷 휠의 잇수 20개, 롤러체인의 피치 12.5mm, 롤러체인 평균속도가 3m/s일 때 구동 스프로킷 휠의 회전속도[rpm]는?
- ① 720
- ② 840
- ③ 960
- ④ 1,200
등록된 댓글이 없습니다.
3. 그림과 같이 아이볼트(eye bolt)에 축방향 하중(P) 2kN이 작용할 때, 하중을 지지하기 위한 아이볼트의 최소 골지름(d)[mm]은? (단, 아이볼트의 허용인장응력은 80N/mm2이며, 아이볼트는 골지름 단면에서 파괴된다고 가정한다)

- ①

- ②

- ③

- ④

등록된 댓글이 없습니다.
4. 치수와 공차에 대한 설명으로 옳지 않은 것은?
- ① 허용한계치수는 기준치수로부터 벗어남이 허용되는 대소의 극한치수로, 최대 허용치수와 최소 허용치수를 의미한다.
- ② 기준치수는 호칭치수라고도 하며, 허용한계치수의 기준이 되는 치수이다.
- ③ 위치수 허용차는 최소 허용치수에서 기준치수를 뺀 값이다.
- ④ 치수공차는 최대 허용치수와 최소 허용치수의 차이이다.
등록된 댓글이 없습니다.
5. 기본 동적 부하용량 64kN인 볼베어링에 동등가하중 8kN이 작용하고 있다. 이 볼베어링을 롤러베어링으로 교체할 때, 롤러베어링의 정격수명[회전]은? (단, 교체한 롤러베어링에는 볼베어링과 같은 동등가하중이 작용하며, 롤러베어링의 기본 동적 부하용량은 볼베어링과 같다)
- ① 23×106
- ② 210×106
- ③ 23/10×106
- ④ 210/3×106
등록된 댓글이 없습니다.
6. S-N 곡선(Stress versus Number of cycles curve)과 내구한도에 대한 설명으로 옳지 않은 것은?
- ① 실제 부품 설계를 할 때는 하중의 종류, 표면효과, 사용온도 등을 고려한 수정 내구한도를 사용한다.
- ② 내구한도는 어느 한계값 이하의 응력에서 무수히 많은 반복을 하여도 피로파괴가 일어나지 않는 재료의 한계응력값을 의미한다.
- ③ 철강과 같이 체심입방구조(BCC)를 갖는 금속은 일반적으로 명확한 내구한도를 갖는다.
- ④ S-N 곡선에서는 양진 반복응력의 진폭을 가로축에 표시한다.
등록된 댓글이 없습니다.
7. 나사에 대한 설명으로 옳지 않은 것은?
- ① 미터나사는 나사산각이 60°인 미터계 삼각나사이며, 미터가는나사는 자립성이 우수하여 풀림 방지용으로 사용한다.
- ② 일반적으로 삼각나사는 체결용 기계요소이고, 사각나사는 회전운동을 직선운동으로 바꾸는 운동용 기계요소이다.
- ③ 3/8-16 UNC는 유니파이 보통나사로 수나사의 호칭지름이 3/8인치이고 1인치당 나사산수가 16개임을 의미한다.
- ④ 사각나사는 다른 나사에 비해 나사효율이 낮으나 가공이 쉽다.
등록된 댓글이 없습니다.
8. 그림과 같이 유니버설 조인트 2개 사이에 중간축을 삽입하여 회전을 전달하고 있다. 한 쪽의 교차각 α1과 다른 쪽의 교차각 α2가 같을 때, 각속도비()에 대한 설명으로 옳은 것은? (단, α1과 α2는 30° 이하이고, 그림의 모든 축은 동일 평면 상에 있다.)

- ①

- ②

- ③

- ④ 원동축의 회전각 증가에 따라 은 증가했다가 감소한다.

등록된 댓글이 없습니다.
9. 소선 지름 8mm인 코일스프링이 축방향 하중 100N을 받아 20mm의 처짐이 발생하였다. 코일스프링의 스프링지수가 4, 전단탄성계수가 8GPa일 때, 이 스프링의 유효감김수는? (단, 처짐은 코일의 비틀림모멘트에 의해서만 발생하는 것으로 가정한다)
- ① 20
- ② 25
- ③ 30
- ④ 35
등록된 댓글이 없습니다.
10. 피치면이 원추(cone) 형태이면서, 같은 평면 상의 평행하지 않은 두 축을 연결하기 위해 사용하는 기어는?
- ① 베벨 기어
- ② 헬리컬 기어
- ③ 스퍼 기어
- ④ 나사 기어
등록된 댓글이 없습니다.
11. 미끄럼베어링에 요구되는 재료 특성으로 옳지 않은 것은?
- ① 내식성이 커야 한다.
- ② 열전도율이 높아야 한다.
- ③ 마찰계수가 작아야 한다.
- ④ 마모가 적고 피로강도가 낮아야 한다.
등록된 댓글이 없습니다.
12. 마찰이 없는 양단지지형 겹판스프링에 하중이 작용하여 최대 처짐 δmax가 발생하였다. 이 겹판스프링에서 판의 두께만 2배로 증가시킬 때 최대 처짐은?
- ① 1/2δmax
- ② 1/4δmax
- ③ 1/8δmax
- ④ 1/16δmax
등록된 댓글이 없습니다.
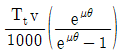
13. 평벨트 전동장치에서 벨트 속도 v[m/s], 긴장측 장력 Tt[N], 마찰계수 μ, 벨트 접촉각 θ[rad]가 주어졌을 때, 최대 전달동력[kW]은? (단, 벨트의 원심력은 무시한다)
- ①

- ②

- ③

- ④

등록된 댓글이 없습니다.
14. 브레이크에 대한 설명으로 옳지 않은 것은?
- ① 밴드 브레이크는 레버 조작력이 동일해도 드럼 회전방향에 따라 제동력이 달라진다.
- ② 복식 블록 브레이크를 축에 대칭으로 설치하면 축에는 굽힘 모멘트가 작용하지 않는다.
- ③ 블록 브레이크의 냉각이 원활하지 못한 경우에는 브레이크 용량(brake capacity)을 작게 해야 한다.
- ④ 내부확장식 브레이크에서 브레이크 블록을 확장하는 힘이 동일하면 두 접촉면에 작용하는 수직력의 크기가 동일하다.
등록된 댓글이 없습니다.
15. 그림과 같이 축지름 20mm, 회전속도 100rpm인 전동축이 동력 5kW를 전달하고 있다. 이 전동축에 폭(b)과 높이(h)는 서로 같고 길이(ℓ) 50mm, 허용전단응력 100MPa, 허용압축응력 200MPa인 보통형 평행키가 사용될 때 보통형 평행키의 최소 폭(b)[mm]은? (단, 평행키의 허용전단응력과 허용압축응력을 모두 고려하고, 는 3으로 계산하라)

- ① 5
- ② 10
- ③ 20
- ④ 30
등록된 댓글이 없습니다.
16. 두께 6mm, 바깥지름 400mm인 두께가 얇은 원통형 압력용기의 최대 허용내압[MPa]은? (단, 압력용기 재료의 허용인장응력 100MPa, 이음효율 80%, 부식 여유 1mm이다)
- ① 1
- ② 2
- ③ 100/97
- ④ 200/97
등록된 댓글이 없습니다.
17. 밸브에 대한 설명으로 옳지 않은 것은?
- ① 스톱밸브(stop valve)는 밸브의 개폐가 빠르고 값이 싸다.
- ② 글로브밸브(glove valve)는 유체의 흐름이 S자 모양이 되므로 유체흐름 저항이 크다.
- ③ 게이트밸브(gate valve)는 밸브 디스크가 유체의 관로를 수평으로 막아서 개폐한다.
- ④ 콕(cock)은 구조가 간단하나 기밀성이 나쁘다.
등록된 댓글이 없습니다.
18. 다음 설명에 해당하는 지그는?

- ① 형판 지그(template jig)
- ② 평판 지그(plate jig)
- ③ 박스 지그(box jig)
- ④ 앵글판 지그(angle plate jig)
등록된 댓글이 없습니다.
19. 그림과 같이 태양기어(S), 캐리어(C), 내접기어(R), 유성피니언(P)으로 구성된 유성기어장치가 있다. 태양기어는 고정기어이며, 내접기어가 150rpm의 속도로 회전할 때, 캐리어의 회전속도[rpm]는? (단, 태양기어 잇수 30개, 유성피니언 잇수 15개, 내접기어 잇수 60개)

- ① 50
- ② 100
- ③ 150
- ④ 225
등록된 댓글이 없습니다.
20. 동력전달 요소들에 대한 설명으로 옳지 않은 것은?
- ① 웜과 웜기어는 작은 공간에서 큰 감속비를 얻을 수 있다.
- ② 마찰차는 미끄럼이 발생하기 때문에 정확한 속도비를 전달할 수 없다.
- ③ 동력을 전달하는 두 축 사이의 거리가 먼 경우에는 벨트나 체인을 사용한다.
- ④ V벨트는 평벨트에 비해 접촉 면적이 좁아 큰 장력으로 작은 동력을 전달한다.
등록된 댓글이 없습니다.