토목산업기사(2016. 10. 1.) 시험일자 : 2016년 10월 1일
1과목 : 응용역학
1. 그림과 같은 라멘에서 하중 4tf 를 받는 C점의 휨모멘트는?

- ① 3tf⋅m
- ② 4tf⋅m
- ③ 5tf⋅m
- ④ 6tf⋅m
등록된 댓글이 없습니다.
2. 다음 중 처짐을 구하는 방법과 가장 관계가 먼 것은?
- ① 3연모멘트법
- ② 탄성하중법
- ③ 모멘트면적법
- ④ 탄성곡선의 미분방정식 이용법
등록된 댓글이 없습니다.
3. 그림과 같은 10m의 단순보에서 최대 휨응력은?

- ① 180.19kgf/cm2
- ② 185.19kgf/cm2
- ③ 190.19kgf/cm2
- ④ 195.19kgf/cm2
등록된 댓글이 없습니다.
4. 트러스 해석 시 가정을 설명한 것 중 틀린 것은?
- ① 하중으로 인한 트러스의 변형을 고려하여 부재력을 산출한다.
- ② 하중과 반력은 모두 트러스의 격점에만 작용한다.
- ③ 부재의 도심축은 직선이며 연결핀의 중심을 지난다.
- ④ 부재들은 양단에서 마찰이 없는 핀으로 연결되어진다
등록된 댓글이 없습니다.
5. 다음 그림과 같은 봉(棒)이 천장에 매달려 B, C, D점에서 하중을 받고 있다. 전구간의 축강도 EA가 일정할 때 같은 하중 하에서 BC구간이 늘어나는 길이는?

- ①

- ②

- ③

- ④ 0
등록된 댓글이 없습니다.
6. 그림과 같이 지름 2R인 원형 단면의 단주에서 핵지름 k의 값은?

- ① R/4
- ② R/3
- ③ R/2
- ④ R
등록된 댓글이 없습니다.
7. 지름 0.2cm, 길이 1m의 강선이 100kgf 의 하중을 받을 때 늘어난 길이는 얼마인가? (단, E=2.0×106kg/cm2)
- ① 0.04cm
- ② 0.08cm
- ③ 0.12cm
- ④ 0.16cm
등록된 댓글이 없습니다.
8. 반지름이 2cm인 원형 단면의 도심을 지나는 축에 대한 단면 2차 모멘트를 구하면?(오류 신고가 접수된 문제입니다. 반드시 정답과 해설을 확인하시기 바랍니다.)
- ① π ㎝4
- ② 4π ㎝4
- ③ 16π ㎝4
- ④ 64π ㎝4
등록된 댓글이 없습니다.
9. 그림과 같은 단면에서 도심의 위치 로 옳은 것은?

- ① 2.21cm
- ② 2.64cm
- ③ 2.96cm
- ④ 3.21cm
등록된 댓글이 없습니다.
10. 연행하중이 절대최대휨모멘트가 생기는 위치에 왔을 때, 지점 A에서 하중 1tf까지의 거리 (x)는?

- ① 1m
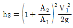
- ② 0.8m
- ③ 0.5m
- ④ 0.2m
등록된 댓글이 없습니다.
11. 그림과 같은 단순보에 발생하는 최대 처짐은?

- ①

- ②

- ③

- ④

등록된 댓글이 없습니다.
12. 폭이 20cm, 높이가 30cm인 단면의 보에 4tf 의 전단력이 작용할 때 이 단면에 일어나는 최대 전단응력은?
- ① 4kgf/cm2
- ② 6kgf/cm2
- ③ 8kgf/cm2
- ④ 10kgf/cm2
등록된 댓글이 없습니다.
13. 그림과 같은 구조물의 부정정 차수는?

- ① 2차
- ② 3차
- ③ 4차
- ④ 5차
등록된 댓글이 없습니다.
14. 다음 그림과 같이 한 점에 작용하는 세 힘의 합력의 크기는?

- ① 374.2kgf
- ② 426.4kgf
- ③ 513.7kgf
- ④ 597.4kgf
등록된 댓글이 없습니다.
15. 다음 그림의 캔틸레버보에서 A점의 휨모멘트는?

- ①

- ②

- ③

- ④

등록된 댓글이 없습니다.
16. 바리뇽(Varignon)의 정리에 대한 설명으로 옳은 것은?
- ① 여러 힘의 한 점에 대한 모멘트의 합과 합력의 그 점에 대한 모멘트는 우력모멘트로서 작용한다.
- ② 여러 힘의 한 점에 대한 모멘트 합은 합력의 그 점모멘트보다 항상 작다.
- ③ 여러 힘의 임의의 한 점에 대한 모멘트의 합은 합력의 그 점에 대한 모멘트와 같다.
- ④ 여러 힘의 한 점에 대한 모멘트를 합하면 합력의 그 점에 대한 모멘트보다 항상 크다.
등록된 댓글이 없습니다.
17. 다음과 같은 단순보에서 A점 반력(RA)으로 옳은 것은?

- ① 0.5tf(↓)
- ② 2.0tf(↓)
- ③ 0.5tf(↑)
- ④ 2.0tf(↑)
등록된 댓글이 없습니다.
18. 다음 그림의 트러스에서 DF의 부재력은?

- ① 0tf
- ② 2tf
- ③ 5tf
- ④ 10tf
등록된 댓글이 없습니다.
19. 아래의 표에서 설명하는 부정정 구조물의 해법은?

- ① 모멘트 분배법
- ② 최소일의 방법
- ③ 변위일치법
- ④ 처짐각법
등록된 댓글이 없습니다.
20. 그림(A)와 같은 장주가 10tf 의 하중에 견딜 수 있다면 (B)의 장주가 견딜 수 있는 하중의 크기는? (단, 기둥은 등질, 등단면 이다.)

- ① 10tf
- ② 20tf
- ③ 30tf
- ④ 40tf
등록된 댓글이 없습니다.
2과목 : 측량학
21. 곡선부에서 차량의 뒷바퀴가 앞바퀴보다 안쪽으로 주행하는 현상을 보완하기 위해 설치하는 것은?
- ① 길어깨(shoulder)
- ② 확폭(slack)
- ③ 편경사(cant)
- ④ 차폭(width)
등록된 댓글이 없습니다.
22. 깊이가 10m인 하천의 평균유속을 구하기 위해 유속측량을 하여 다음의 결과를 얻었다. 3점법에 의한 평균유속은? (단, Vm : 수면에서부터 수심의 m인 곳의 유속)

- ① 4.17m/s
- ② 4.25m/s
- ③ 4.75m/s
- ④ 4.83m/s
등록된 댓글이 없습니다.
23. 클로소이드 매개변수(Parameter) A가 커질 경우에 대한 설명으로 옳은 것은?
- ① 자동차의 고속 주행에 유리하다.
- ② 접선각()이 비례하여 커진다.
- ③ 곡선반지름이 작아진다.
- ④ 곡선이 급커브가 된다.
등록된 댓글이 없습니다.
24. 어느 지역의 측량 결과가 그림과 같다면 이 지역의 전체 토량은? (단, 각 구역의 크기는 같다.)

- ① 200m3
- ② 253m3
- ③ 315m3
- ④ 353m3
등록된 댓글이 없습니다.
25. 건설공사 및 도시계획 등의 일반측량에서는 변장 2.5km 이상의 삼각측량을 별도로 실시하지 않고 국가기본삼각점의 성과를 이용하는 것이 좋은 이유로 가장 거리가 먼 것은?
- ① 정확도의 확보
- ② 측량 경비의 절감
- ③ 측량 성과의 기준 통일
- ④ 측량시간의 예측 가능
등록된 댓글이 없습니다.
26. 평판측량 방법 중 기지점에 평판을 세워 미지점에 대한 방향선만을 그어 미지점의 위치를 결정할 수 있는 방법은?
- ① 전진법
- ② 방사법
- ③ 승강법
- ④ 교회법
등록된 댓글이 없습니다.
27. 지구전체를 경도 6°씩 60개의 횡대로 나누고, 위도 8°씩 20개(남위 80°~북위 80°)의 횡대로 나타내는 좌표계는?
- ① UPS 좌표계
- ② 평면직각 좌표계
- ③ UTM 좌표계
- ④ WGS 84 좌표계
등록된 댓글이 없습니다.
28. 종중복도가 60%인 단 촬영경로로 촬영한 사진의 지상 유효면적은? (단, 촬영고도 3,000m, 초점거리 150mm, 사진크기 210mm×210mm)
- ① 15.089 km2
- ② 10.584 km2
- ③ 7.056 km2
- ④ 5.889 km2
등록된 댓글이 없습니다.
29. 촬영고도 6,000m에서 촬영한 항공사진에서 주점기선 길이가 10cm이고, 굴뚝의 시차차가 1.5mm 이었다면 이 굴뚝의 높이는?
- ① 80m
- ② 90m
- ③ 100m
- ④ 110m
등록된 댓글이 없습니다.
30. 직각좌표 상에서 각 점의 (x, y)좌표가 A(-4, 0), B(-8, 6), C(9, 8), D(4, 0)인 4점으로 둘러싸인 다각형의 면적은? (단, 좌표의 단위는 m 이다.)
- ① 87m2
- ② 100m2
- ③ 174m2
- ④ 192m2
등록된 댓글이 없습니다.
31. 완화곡선에 대한 설명 중 옳지 않은 것은?
- ① 완화곡선의 접선은 시점에서 원호에 종점에서 직선에 접한다.
- ② 곡선의 반지름은 완화곡선의 시점에서 무한대, 종점에서 원곡선의 반지름으로 된다.
- ③ 완화곡선에 연한 곡선반경의 감소율은 캔트의 증가율과 같다.
- ④ 종점의 캔트는 원곡선의 캔트와 같다.
등록된 댓글이 없습니다.
32. 1 : 25000 지형도 상에서 산정에서 산자락의 어느지점까지의 수평거리를 측정하니 48mm 이었다. 산정의 표고는 492m, 측정 지점의 표고는 12m일 때 두 지점간의 경사는?
- ① 1/2.5
- ② 1/4
- ③ 1/2.9
- ④ 1/10
등록된 댓글이 없습니다.
33. 그림과 같이 0점에서 같은 정확도로 각을 관측하여 오차를 계산한 결과 x3-(x1+x2)=-36″의 식을 얻었을 때 관측값 x1, x2, x3에 대한 보정값 V1, V2,V3는?

- ① V1=-9″, V2=-9″, V3=+18″
- ② V1-12″, V2=-12″, V3=+12″
- ③ V1=+9″, V2=+9″, V3=-18″
- ④ V1=+12″, V2=+12″, V3=-12″
등록된 댓글이 없습니다.
34. 갑, 을 두 사람이 A, B 두 점간의 고저차를 구하기 위하여 서로 다른 표척으로 왕복측량한 결과가 갑은 38.994m±0.008m, 을은 39.003m±0.004m일 때, 두 점간 고저차의 최확값은?
- ① 38.995m
- ② 38.999m
- ③ 39.001m
- ④ 39.003m
등록된 댓글이 없습니다.
35. 그림과 같이 원곡선을 설치하고자 할 때 교점(P)에 장애물이 있어 ∠ACD=150°, ∠CDB=90°및 CD의 거리 400m를 관측하였다. C점으로부터 곡선 시점 A까지의 거리는? (단, 곡선의 반지름은 500m로 한다.)

- ① 404.15m
- ② 425.88m
- ③ 453.15m
- ④ 461.88m
등록된 댓글이 없습니다.
36. 수준측량에서 전시와 후시의 시준거리를 같게 함으로써 소거할 수 있는 오차는?
- ① 시준축이 기포관축과 평행하지 않기 때문에 발생하는 오차
- ② 표척을 연직방향으로 세우지 않아 발생하는 오차
- ③ 표척 눈금의 오독으로 발생하는 오차
- ④ 시차에 의해 발생하는 오차
등록된 댓글이 없습니다.
37. 등고선의 성질에 대한 설명으로 옳은 것은?
- ① 도면 내에서 등고선이 폐합되는 경우 동굴이나 절벽을 나타낸다.
- ② 동일 경사에서의 등고선 간의 간격은 높은 곳에서 좁아지고 낮은 곳에서는 넓어진다.
- ③ 등고선은 능선 또는 계곡선과 직각으로 만난다.
- ④ 높이가 다른 두 등고선은 산정이나 분지를 제외하고는 교차하지 않는다
등록된 댓글이 없습니다.
38. A점으로부터 폐합 다각측량을 실시하여 A점으로 되돌아 왔을 때 위거와 경거의 오차는 각각 20cm, 25cm이었다. 모든 측선 길이의 합이 832.12m이라 할 때 다각측량의 폐합비는?
- ① 약 1/2200
- ② 약 1/2600
- ③ 약 1/3300
- ④ 약 1/4200
등록된 댓글이 없습니다.
39. 3km의 거리를 30m의 줄자로 측정하였을 때 1회 측정의 부정오차가 ±4mm이었다면 전체 거리에 대한 부정오차는?
- ① ±13mm
- ② ±40mm
- ③ ±130mm
- ④ ±400mm
등록된 댓글이 없습니다.
40. 그림과 같은 단열삼각망의 조정각이 α1=40°, β1=60°, α2=50°, β2=30°, γ1=100°일 때, 의 길이는? (단, 기선 길이 600m 이다.)

- ① 323.4m
- ② 400.7m
- ③ 568.6m
- ④ 682.3m
등록된 댓글이 없습니다.
3과목 : 수리학
41. 정수압의 성질에 대한 설명으로 옳지 않은 것은?
- ① 정수압은 작용하는 면에 수직으로 작용한다.
- ② 정수내의 1점에 있어서 수압의 크기는 모든 방향에 대하여 동일하다.
- ③ 정수압의 크기는 수두에 비례한다.
- ④ 같은 깊이의 정수압 크기는 모든 액체에서 동일하다.
등록된 댓글이 없습니다.
42. 밑면이 7.5m×3m이고 깊이가 4m인 빈 상자의 무게가 4×105N이다. 이 상자를 물에 띄웠을 때 수면 아래로 잠기는 깊이는?
- ① 3.54m
- ② 2.32m
- ③ 1.81m
- ④ 0.75m
등록된 댓글이 없습니다.
43. Darcy의 법칙을 지하수에 적용시킬 때 다음 어느 경우가 잘 일치되는가?
- ① 층류인 경우
- ② 난류인 경우
- ③ 상류인 경우
- ④ 사류인 경우
등록된 댓글이 없습니다.
44. 에너지선에 대한 설명으로 옳은 것은?
- ① 유체의 흐름방향을 결정한다.
- ② 이상유체 흐름에서는 수평기준면과 평행한다.
- ③ 유량이 일정한 흐름에서는 동수경사선과 평행하다.
- ④ 유선상의 각 점에서의 압력수두와 위치수두의 합을 연결한 선이다.
등록된 댓글이 없습니다.
45. 개수로의 설계와 수공 구조물의 설계에 주로 적용되는 수리학적 상사법칙은?
- ① Reynolds 상사법칙
- ② Froude 상사법칙
- ③ Weber 상사법칙
- ④ Mach 상사법칙
등록된 댓글이 없습니다.
46. U자관에서 어떤 액체 15cm 높이와 수은 5cm의 높이가 평형을 이루고 있다면 이 액체의 비중은? (단, 수은의 비중은 13.6 이다.)
- ① 3.45
- ② 5.43
- ③ 5.34
- ④ 4.53
등록된 댓글이 없습니다.
47. 관수로에서 Reynolds 수가 300 일 때 추정할 수 있는 흐름의 상태는?
- ① 상류
- ② 사류
- ③ 층류
- ④ 난류
등록된 댓글이 없습니다.
48. 수로 폭 4m, 수심 1.5m인 직사각형 단면 수로에 유량 24m3/s가 흐를 때, 후르드수(Froude number)와 흐름의 상태는?
- ① 1.04, 상류
- ② 1.04, 사류
- ③ 0.74, 상류
- ④ 0.74, 사류
등록된 댓글이 없습니다.
49. 긴 관로의 유량조절 밸브를 갑자기 폐쇄시킬 때, 관로 내의 물의 질량과 운동량 때문에 정상적인 동수압보다 몇 배의 큰 압력 상승이 일어나는 현상은?
- ① 공동현상
- ② 도수현상
- ③ 수격작용
- ④ 배수현상
등록된 댓글이 없습니다.
50. 직사각형 단면 개수로의 수리학적으로 유리한 형상의 단면에서 수로 수심이 1.5m 이었다면 이 수로의 경심은?
- ① 0.75m
- ② 1.0m
- ③ 2.25m
- ④ 3.0m
등록된 댓글이 없습니다.
51. 직사각형 단면의 개수로에서 비에너지의 최소값이 Emin=1.5m 이라면 단위 폭 당의 유량은?
- ① 1.75m3/s
- ② 2.73m3/s
- ③ 3.13m3/s
- ④ 4.25m3/s
등록된 댓글이 없습니다.
52. 유량 Q, 유속 V, 단면적 A, 도심거리 hG라 할 때 충력치(M)의 값은? (단, 충력치는 비력이라고도 하며, η : 운동량 보정계수, g : 중력가속도, W : 물의 중량, ω: 물의 단위중량)
- ①

- ②

- ③

- ④

등록된 댓글이 없습니다.
53. 그림과 같은 오리피스를 통과하는 유량은? (단, 오리피스 단면적 A=0.2m2, 손실계수 C=0.78 이다.)(문제 오류로 그림파일이 없습니다. 정확한 그림 내용을 아시는분께서는 자유게시판 또는 관리자 메일로 부탁 드립니다.)
- ① 0.36m3/s
- ② 0.46m3/s
- ③ 0.56m3/s
- ④ 0.66m3/s
등록된 댓글이 없습니다.
54. 동점성계수인 v를 나타내는 단위로 옳은 것은?
- ① Poise
- ② mega
- ③ Stokes
- ④ Gal
등록된 댓글이 없습니다.
55. 관수로 내의 흐름을 지배하는 주된 힘은?
- ① 인력
- ② 중력
- ③ 자기력
- ④ 점성력
등록된 댓글이 없습니다.
56. 지하수의 흐름에 대한 Darcy의 법칙은? (단, v : 지하수의 유속, k : 투수계수, △h : 길이 △ℓ에 대한 손실수두)
- ①

- ②

- ③

- ④

등록된 댓글이 없습니다.
57. 수축단면에 관한 설명으로 옳은 것은?
- ① 오리피스의 유출수맥에서 발생한다.
- ② 상류에서 사류로 변화할 때 발생한다.
- ③ 사류에서 상류로 변화할 때 발생한다.
- ④ 수축단면에서의 유속을 오리피스의 평균유속이라 한다.
등록된 댓글이 없습니다.
58. 그림과 같이 흐름의 단면을 A1에서 A2로 급히 확대할 경우의 손실수두(hs)를 나타내는 식은?

- ①

- ②

- ③

- ④

등록된 댓글이 없습니다.
59. 안지름 15cm의 관에 10℃의 물이 유속 3.2m/s로 흐르고 있을 때 흐름의 상태는? (단, 10℃ 물의 동점성계수(v)=0.0131cm3/s)
- ① 층류
- ② 한계류
- ③ 난류
- ④ 부정류
등록된 댓글이 없습니다.
60. 지름이 변하면서 위치도 변하는 원형 관로에 1.0m3/s의 유량이 흐르고 있다. 지름이 1.0m인 구간에서는 압력이 34.3kPa(0.35kg/cm2)이라면, 그 보다 2m 더 높은 곳에 위치한 지름 0.7m인 구간의 압력은? (단 마찰 및 미소손실은 무시한다.)
- ① 11.8kPa
- ② 14.7kPa
- ③ 17.6kPa
- ④ 19.6kPa
등록된 댓글이 없습니다.
4과목 : 철근콘크리트 및 강구조
61. 뒷부벽식 옹벽을 설계할 때 뒷부벽에 대한 설명으로 옳은 것은?
- ① T형보로 설계하여야 한다.
- ② 캔틸레버보로 설계하여야 한다.
- ③ 직사각형보로 설계하여야 한다.
- ④ 3변 지지된 2방향 슬래브로 설계하여야 한다.
등록된 댓글이 없습니다.
62. 슬래브의 설계에서 직접설계법을 사용하고자 할 때 제한사항으로 틀린 것은?
- ① 각 방향으로 3경간 이상 연속되어야 한다.
- ② 슬래브판들은 단변 경간에 대한 장변 경간의 비가 2이하인 직사각형이어야 한다.
- ③ 연속한 기둥 중심선을 기준으로 기둥의 어긋남은 그 방향 경간의 10% 이하이여야 한다.
- ④ 모든 하중은 모멘트하중으로서 슬래브판 전체에 등분포되어야 하며, 활하중은 고정하중의 1/2 이상이어야 한다.
등록된 댓글이 없습니다.
63. 다음 그림에서 주철근의 배근이 잘못된 것은?
- ①

- ②

- ③

- ④

등록된 댓글이 없습니다.
64. 그림과 같은 맞대기 용접이음의 유효길이는 얼마인가?

- ① 150mm
- ② 300mm
- ③ 400mm
- ④ 600mm
등록된 댓글이 없습니다.
65. 철근콘크리트 구조물의 강도설계법에서 사용되는 강도감소계수에 대한 다음 설명 중 틀린 것은?
- ① 인장지배 단면에 대한 강도감소계수는 0.85이다.
- ② 압축지배 단면 중 나선철근으로 보강된 철근콘크리트 부재의 강도감소계수는 0.65이다.
- ③ 전단력에 대한 강도감소계수는 0.75이다.
- ④ 무근콘크리트의 휨모멘트에 대한 강도감소계수는 0.55이다.
등록된 댓글이 없습니다.
66. 다음 중 극한하중 상태에서 급격한 취성파괴 대신 연성파괴를 나타내는 보는?
- ① 과소철근보
- ② 과다철근보
- ③ 균형철근보
- ④ 과소철근보, 균형철근보
등록된 댓글이 없습니다.
67. 깊은 보(deep beam)에 대한 설명으로 옳은 것은?
- ① 순경간(ln)이 부재 깊이의 3배 이하이거나 하중이 받침부로부터 부재 깊이의 0.5배 거리 이내에 작용하는보
- ② 순경간(ln)이 부재 깊이의 4배 이하이거나 하중이 받침으로부터 부재 깊이의 2배 거리 이내에 작용하는 보
- ③ 순경간(ln)이 부재 깊이의 5배 이하이거나 하중이 받침으로부터 부재 깊이의 4배 거리 이내에 작용하는 보
- ④ 순경간(ln)이 부재 깊이의 6배 이하이거나 하중이 받침으로부터 부재 깊이의 5배 거리 이내에 작용하는 보
등록된 댓글이 없습니다.
68. 철근콘크리트의 성립요건에 대한 설명으로 틀린 것은?
- ① 철근과 콘크리트의 부착강도가 크다.
- ② 압축은 콘크리트가 인장은 철근이 부담한다.
- ③ 부착면에서 철근과 콘크리트의 변형률은 같다.
- ④ 철근의 열팽창계수는 콘크리트의 열팽창계수보다 매우 크다.
등록된 댓글이 없습니다.
69. D13철근을 U형 스터럽으로 가공하여 350mm 간격으로 부재축에 직각이 되게 설치한 전단 철근의 강도 Vs는? (단, fy=400MPa , d=600mm , D-13철근의 단면적은 127mm2)
- ① 87.1kN
- ② 125.3kN
- ③ 174.2kN
- ④ 204.7kN
등록된 댓글이 없습니다.
70. 판형에서 보강재(stiffener)의 사용목적은?
- ① 보 전체의 비틀림에 대한 강도를 크게 하기 위함이다.
- ② 복부판의 전단에 대한 강도를 높이기 위함이다.
- ③ flange angle의 간격을 넓게 하기 위함이다.
- ④ 복부판의 좌굴을 방지하기 위함이다.
등록된 댓글이 없습니다.
71. 철근콘크리트 부재의 철근의 간격제한에 대한 일반적인 설명으로 틀린 것은?
- ① 나선철근 또는 띠철근이 배근된 압축부재에서 축방향 철근의 순간격은 40mm 이상, 또한 철근 공칭 지름의 1.5배 이상으로 하여야 한다.
- ② 벽체, 또는 슬래브에서 휨 주철근의 간격은 벽체나 슬래브 두께의 3배 이하로 하여야 하고, 또한 450mm 이하로 하여야 한다.
- ③ 상단과 하단에 2단 이상으로 배근된 경우 상하 철근은 동일 연직면내에 배치되어야 하고, 이 때 상하 철근의 순간격은 25mm 이상으로 하여야 한다.
- ④ 동일 평면에서 평행한 철근 사이의 수평 순간격은 50mm 이상, 또한 철근의 공칭지름 이상으로 하여야 한다.
등록된 댓글이 없습니다.
72. 강도설계법에 의해서 전단철근을 사용하지 않고 계수하중에 의한 전단력 40kN을 지지할 수 있는 직사각형보의 최소 단면적(bω×d)은 얼마인가? (단, fck=28MPa )
- ① 102,143mm2
- ② 112,512mm2
- ③ 120,949mm2
- ④ 134,242mm2
등록된 댓글이 없습니다.
73. 그림과 같은 복철근 직사각형 보 단면이 압축부에 3-D22(As′=1,161mm2)의 철근과 인장부에 6-D32(As=4,765mm2)의 철근을 갖고 있을 때의 등가 압축응력의 깊이(a)는? (단, fck=28MPa , fy=400MPa 이다.)

- ① 151.43mm
- ② 159.25mm
- ③ 164.72mm
- ④ 178.56mm
등록된 댓글이 없습니다.
74. 강도설계법에서 휨모멘트와 축력을 동시에 받는 부재의 콘크리트 압축연단의 극한변형률은 얼마로 가정하는가?
- ① 0.001
- ② 0.002
- ③ 0.003
- ④ 0.004
등록된 댓글이 없습니다.
75. 다음 사항 중 프리스트레스트 콘크리트의 장점이 아닌 것은?
- ① 구조물의 자중이 가볍고 복원성이 우수하다.
- ② 철근콘크리트에 비하여 강성이 크고 진동이 적다.
- ③ 부재에 확실한 강도와 안전율을 갖게 할 수 있다.
- ④ 설계하중하에서는 균열이 생기지 않으므로 내구성이 크다.
등록된 댓글이 없습니다.
76. PS강재를 긴장할 때 강재의 인장응력을 다음 어느값을 초과하면 안 되는가? (단, fpu : 긴장재의 설계기준인장강도, fpy : 긴장재의 설계기준항복강도)
- ① 0.80fpu 또는 0.82fpy 중 작은 값
- ② 0.80fpu 또는 0.94fpy 중 작은 값
- ③ 0.74fpu 또는 0.82fpy 중 작은 값
- ④ 0.74fpu 또는 0.94fpy 중 작은 값
등록된 댓글이 없습니다.
77. 슬래브 중심간 거리 1.8m, 플랜지 두께 100mm T형 단면 복부 폭 350mm, 지간 10m인 대칭 T형 단면 보의 플랜지 유효폭은 얼마인가?
- ① 1.65m
- ② 1.8m
- ③ 2.2m
- ④ 2.5m
등록된 댓글이 없습니다.
78. 인장 이형철근의 정착길이는 기본정착길이(ldb)에 보정계수를 곱한다. 상부수평 철근의 보정계수(α)는?
- ① 1.3
- ② 1.0
- ③ 0.8
- ④ 0.75
등록된 댓글이 없습니다.
79. 휨부재에서 fck=28MPa, fy=400MPa일 때 인장철근 D29(공칭지름 28.6mm, 공칭단면적 642mm2)의 기본정착 길이(ldb)는 약 얼마인가?
- ① 1,200mm
- ② 1,250mm
- ③ 1,300mm
- ④ 1,350mm
등록된 댓글이 없습니다.
80. 단철근 직사각형보에서 fy=400MPa, fck=24MPa 일 때, 강도 설계법에 의한 균형철근비는?
- ① 0.0187
- ② 0.0214
- ③ 0.0260
- ④ 0.0321
등록된 댓글이 없습니다.
5과목 : 토질 및 기초
81. 흙의 분류 중에서 유기질이 가장 많은 흙은?
- ① CH
- ② CL
- ③ MH
- ④ Pt
등록된 댓글이 없습니다.
82. 어떤 점토시료의 압밀시험에서 시료의 두께가 20cm라고 할 때, 압밀도 50%에 도달할 때까지의 시간을 구하면? (단, 시료의 압밀계수는 Cv=2.3×10-3cm2/sec 이고 양면배수조건이다.)
- ① 10.24시간
- ② 5.12시간
- ③ 2.38시간
- ④ 1.19시간
등록된 댓글이 없습니다.
83. 표준관입시험(S.P.T) 결과 N치가 25이었고, 그때 채취한 교란시료로 입도시험을 한 결과 입자가 모나고, 입도 분포가 불량할 때 Dunham공식에 의해서 구한 내부 마찰각은?
- ① 약 32°
- ② 약 37°
- ③ 약 40°
- ④ 약 42°
등록된 댓글이 없습니다.
84. 사면안정 해석법 중 절편법에 대한 설명으로 옳지 않은 것은?
- ① 절편의 바닥면은 직선이라고 가정한다.
- ② 일반적으로 예상 활동파괴면을 원호라고 가정한다.
- ③ 흙 속의 간극수압이 존재하는 경우에도 적용이 가능하다.
- ④ 지층이 여러 개의 층으로 구성되어 있는 경우 적용이 불가능하다.
등록된 댓글이 없습니다.
85. 아래 그림과 같은 지반의 점토 중앙 단면에 작용하는 유효응력은?

- ① 3.06t/m2
- ② 3.27t/m2
- ③ 3.53t/m2
- ④ 3.71t/m2
등록된 댓글이 없습니다.
86. 연약지반 개량공법 중에서 일시적인 공법에 속하는 것은?
- ① Sand drain 공법
- ② 치환 공법
- ③ 약액주입 공법
- ④ 동결 공법
등록된 댓글이 없습니다.
87. 다음 토질 시험 중 도로의 포장 두께를 정하는 데 많이 사용되는 것은?
- ① 표준관입시험
- ② C.B.R 시험
- ③ 다짐시험
- ④ 삼축압축시험
등록된 댓글이 없습니다.
88. 흙의 건조밀도가 1.55g/cm3, 비중이 2.65인 흙의 간극비는?
- ① 0.59
- ② 0.64
- ③ 0.71
- ④ 0.78
등록된 댓글이 없습니다.
89. 예민비가 큰 점토란 다음 중 어떤 것을 의미하는가?
- ① 점토를 교란시켰을 때 수축비가 큰 시료
- ② 점토를 교란시켰을 때 수축비가 적은 시료
- ③ 점토를 교란시켰을 때 강도가 증가하는 시료
- ④ 점토를 교란시켰을 때 강도가 많이 감소하는 시료
등록된 댓글이 없습니다.
90. 흙속의 물이 얼어서 빙층(ice lens)이 형성되기 때문에 지표면이 떠오르는 현상은?
- ① 연화현상
- ② 동상현상
- ③ 분사현상
- ④ 다이러턴시(Dilatancy)
등록된 댓글이 없습니다.
91. 흙의 단위무게가 1.60t/m3, 점착력 0.32kg/cm2, 내부마찰각 30°일 때 이 토층을 연직으로 절취할 수 있는 깊이는 얼마인가?
- ① 13.86m
- ② 12.54m
- ③ 10.32m
- ④ 9.76m
등록된 댓글이 없습니다.
92. 3.0×3.6m인 직사각형 기초의 저면에 0.8m 및 1.0m간격으로 지름 30cm, 길이 12m인 말뚝 9개를 무리말뚝으로 배치하였다. 말뚝 1개의 허용지지력을 25ton으로 보았을 때 이 무리말뚝 기초 전체의 허용지지력을 구하면? (단, 무리말뚝의 효율(E)은 0.543이다.)
- ① 122.2ton
- ② 146.6ton
- ③ 184ton
- ④ 225ton
등록된 댓글이 없습니다.
93. 채취된 시료의 교란정도는 면적비를 계산하여 통상 면적비가 몇 % 이하이면 잉여토의 혼입이 불가능한 것으로 보고 불교란 시료로 간주하는가?
- ① 5%
- ② 7%
- ③ 10%
- ④ 15%
등록된 댓글이 없습니다.
94. 건조한 흙의 직접전단시험 결과 수직응력이 4kg/cm2일 때 전단저항은 3kg/cm2이고 점착력은0.5kg/cm2이었다. 이 흙의 내부마찰각은?
- ① 30.2°
- ② 32°
- ③ 36.8°
- ④ 41.2°
등록된 댓글이 없습니다.
95. 다음 중 흙의 전단강도를 감소시키는 요인이 아닌 것은?
- ① 간극수압의 증가
- ② 수분증가에 따른 점토의 팽창
- ③ 수축 팽창 등으로 인하여 생긴 미세한 균열
- ④ 함수비 감소에 따른 흙의 단위중량 감소
등록된 댓글이 없습니다.
96. 비중이 2.50, 함수비 40%인 어떤 포화토의 한계동수경사를 구하면?
- ① 0.75
- ② 0.55
- ③ 0.50
- ④ 0.10
등록된 댓글이 없습니다.
97. 흙을 다질 때 그 효과에 대한 설명으로 틀린 것은?
- ① 흙의 역학적 강도와 지지력이 증가한다.
- ② 압축성이 작아진다.
- ③ 흡수성이 증가한다.
- ④ 투수성이 감소한다.
등록된 댓글이 없습니다.
98. 어떤 모래층에서 수두가 3m일 때 한계동수경사가 1.0이었다. 모래층의 두께가 최소얼마를 초과하면 분사현상이 일어나지 않겠는가?
- ① 1.5m
- ② 3.0m
- ③ 4.5m
- ④ 6.0m
등록된 댓글이 없습니다.
99. 점성토 지반의 성토 및 굴착시 발생하는 Heaving 방지대책으로 틀린 것은?
- ① 지반개량을 한다.
- ② 표토를 제거하여 하중을 적게 한다.
- ③ 널말뚝의 근입장을 짧게 한다.
- ④ Trench cut 및 부분 굴착을 한다
등록된 댓글이 없습니다.
100. Sand drain 공법의 주된 목적은?
- ① 압밀침하를 촉진시키는 것이다.
- ② 투수계수를 감소시키는 것이다.
- ③ 간극수압을 증가시키는 것이다.
- ④ 지하수위를 상승시키는 것이다.
등록된 댓글이 없습니다.
6과목 : 상하수도공학
101. 하수도의 관거시설 중 역사이펀에 관한 설명으로 틀린 것은?
- ① 역사이펀실에는 수문설비 및 이토실을 설치한다.
- ② 역사이펀 관거는 일반적으로 복수로 한다.
- ③ 역사이펀의 양측에 수직으로 역사이펀실을 설치한다.
- ④ 역사이펀 관거내의 유속은 상류측 관거 내의 유속보다 작게 한다.
등록된 댓글이 없습니다.
102. 상수도의 정수처리 중 맛 냄새가 있는 경우에 이를 제거하기 위한 방법이 아닌 것은?
- ① 불소주입
- ② 오존처리
- ③ 염소처리
- ④ 입상 활성탄처리
등록된 댓글이 없습니다.
103. 강우강도 , 유역면적 2km2, 유입시간 5분, 유출계수 0.7, 하수관내 유속 1m/s일 때 관길이 600m인 하수관에 유출되는 우수량은?
- ① 27.2m3/s
- ② 54.4m3/s
- ③ 272.2m3/s
- ④ 544.4m3/s
등록된 댓글이 없습니다.
104. 배수관을 망상(그물모양)으로 배치하는 방식의 특징이 아닌 것은?
- ① 고장의 경우 단수의 우려가 적다.
- ② 관내의 물이 정체하지 않는다.
- ③ 관로해석이 편리하고 정확하다.
- ④ 수압분포가 균등하고 화재시에 유리하다.
등록된 댓글이 없습니다.
105. 수도 계획의 기본적 사항에 대한 설명으로 틀린 것은?
- ① 하수도계획의 목표년도는 원칙적으로 10년으로 한다.
- ② 하수의 배제방식에는 분류식과 합류식이 있으며, 지역특성과 방류수역의 여건 등을 고려하여 결정한다.
- ③ 하수도의 계획구역은 처리구역과 배수구역으로 구분하여 고려사항을 충분히 검토하여 결정한다.
- ④ 하수도계획은 구상, 조사, 예측, 시설계획 등의 절차로 수립한다.
등록된 댓글이 없습니다.
106. 수분 98%인 슬러지 30m3을 농축하여 수분 94%로 했을 때의 슬러지량은?
- ① 10m3
- ② 12m3
- ③ 15m3
- ④ 18m3
등록된 댓글이 없습니다.
107. 펌프를 선택할 때 고려해야 할 사항으로 가장 거리가 먼 것은?
- ① 양정
- ② 펌프의 특성
- ③ 동력
- ④ 펌프의 무게
등록된 댓글이 없습니다.
108. 급속여과법과 비교할 때, 완속여과법의 특징으로 옳은 것은?
- ① 넓은 부지가 필요하며 시공비가 많이 든다.
- ② 모래층의 오염물질을 제거하기 위한 역세척이 반드시 필요하다.
- ③ 약품사용과 동력 소비에 따른 유지관리비가 많이 든다.
- ④ 여과를 할 때 손실수두가 크다.
등록된 댓글이 없습니다.
109. 합류식에서 우천시 계획오수량은 원칙적으로 계획 시간 최대오수량의 몇 배 이상으로 하는가?
- ① 1.5배
- ② 2배
- ③ 3배
- ④ 4배
등록된 댓글이 없습니다.
110. 송수시설에서 계획송수량의 기준이 되는 것은?
- ① 계획시간 평균급수량
- ② 계획1일 최대급수량
- ③ 계획1일 평균급수량
- ④ 계획시간 최대급수량
등록된 댓글이 없습니다.
111. 하수처리장에서 하천에 방류되는 방류수가 BOD30mg/L, 유량 20,000m3/day이고, 방류되기 전 하천의 BOD와 유량이 3mg/L, 0.4m3/s일 때 방류수가 하천에 완전 혼합된다면 합류지점의 BOD 농도는?
- ① 약 13mg/L
- ② 약 23mg/L
- ③ 약 30mg/L
- ④ 약 33mg/L
등록된 댓글이 없습니다.
112. 급수용 저수지의 유효저수량을 결정하기 위한 Ripple 곡선이다. 다음 중 저수지의 수위가 가장 높아지는 때는?

- ① O
- ② L
- ③ M
- ④ N
등록된 댓글이 없습니다.
113. 그림은 사류펌프(Ns=850)의 표준특성곡선이다. 축동력을 나타내는 곡선은?

- ① Ⓐ
- ② Ⓑ
- ③ Ⓒ
- ④ Ⓓ
등록된 댓글이 없습니다.
114. 하수도 관거의 최소 흙두께(매설깊이)의 원칙적인 기준은?
- ① 1.0m
- ② 1.5m
- ③ 2.0m
- ④ 2.5m
등록된 댓글이 없습니다.
115. K2Cr2O7은 강력한 산화제로서 COD 측정에 이용된다. 수질 검사에서 K2Cr2O7의 소비량이 많다는 것이 의미하는 것은?
- ① 물의 경도가 높다.
- ② 부유물이 많다.
- ③ 대장균이 많다.
- ④ 유기물이 많다.
등록된 댓글이 없습니다.
116. 활성슬러지법에서 MLSS가 의미하는 것은?
- ① 폐수 중의 고형물
- ② 방류수 중의 부유물질
- ③ 폭기조 중의 부유물질
- ④ 침전지 상등수 중의 부유물질
등록된 댓글이 없습니다.
117. 상수도의 배수시설에 관한 설명으로 틀린 것은?
- ① 배수시설에는 배수지, 배수탑, 고가탱크 등이 있다.
- ② 배수탑과 고가탱크는 배수구역내 배수지를 설치할 적당한 높은 장소가 없을 때 설치 한다.
- ③ 배수지의 유효수심은 3~6m 정도를 표준으로 하여야한다.
- ④ 배수지의 유효용량은 배수구역의 계획1일 평균급수량의 6시간분을 표준으로 한다.
등록된 댓글이 없습니다.
118. 원수를 음용이나 공업용 등 용도에 알맞게 처리하는 과정은?
- ① 취수
- ② 정수
- ③ 도수
- ④ 배수
등록된 댓글이 없습니다.
119. 정수시설 중 응집지의 플록형성지에서 계획정수량에 대한 표준 플록형성시간(체류시간)은?
- ① 10~30분
- ② 20~40분
- ③ 30~50분
- ④ 1시간 이상
등록된 댓글이 없습니다.
120. 하천수 취수시설 중 수위변화에 대응할 수 있고 수위에 따라 좋은 수질을 선택하여 취수할 수 있으며 최소 수심 2m 이상을 유지하여야 취수가 가능한 것은?
- ① 취수관거
- ② 취수문
- ③ 집수정
- ④ 취수탑
등록된 댓글이 없습니다.